||
[打听,科普,数学] 素数(27):素数计数函数,除了切比雪夫 Чебышёв,还有哪些可信的定理?
切比雪夫: Пафнутий Львович Чебышёв, Pafnuty Lvovich Chebyshev, 1821-05-04 ~ 1894-11-26, 73
素数: prime number
算术基本定理: fundamental theorem of arithmetic
素数计数函数: prime counting function
素数定理: prime number theorem
对数积分: logarithmic integral
唯一分解定理: unique factorization theorem
黎曼假设: Riemann Hypothesis
希尔伯特的第 8问题: Hilbert's 8th Problem

图1 切比雪夫 Пафнутий Львович Чебышёв, Pafnuty Lvovich Chebyshev, 1821-05-04 ~ 1894-11-26, 73
Pafnuty-Lvovich-Chebyshev.webp
https://cdn.britannica.com/09/13009-004-BD9EEEC1/Pafnuty-Lvovich-Chebyshev.jpg?s=1500x700&q=85
一、切比雪夫 Чебышёв 的素数计数函数估计
https://www.sciengine.com/CSB/doi/10.1360/N972017-00022
葛力明、薛博卿,2018,第 142 页局部截图:

二、两个不需要“假定黎曼猜想正确”的“素数计数函数”估计

图2 π without Riemann hypothesis 23
https://mathworld.wolfram.com/images/equations/PrimeNumberTheorem/Inline46.svg

图3 π without Riemann hypothesis 24
https://mathworld.wolfram.com/images/equations/PrimeNumberTheorem/Inline49.svg
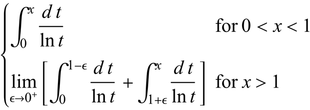
上面,Li(x),或者写为 li(x),是高斯的估计,即对数积分 Logarithmic Integral =

三、打听:素数分布,除了切比雪夫 Чебышёв,还有哪些可信的定理?
参考资料:
[1] 葛力明,薛博卿. 黎曼ζ-函数的零点都有1/2+it的形式吗?[J]. 科学通报, 2018, 63(2): 141-147.
doi: 10.1360/N972017-00022
https://www.sciengine.com/CSB/doi/10.1360/N972017-00022
以前的《科学网》相关博文链接:
[1] 2026-04-06 23:34,[打听,科普,数学] 素数(26):北美 13年、17年蝉的成因是什么?
https://blog.sciencenet.cn/blog-107667-1529169.html
[2] 2026-04-05 19:32,[打听,科普,数学] 素数(25):对黎曼假设 Riemann Hypothesis 可能不利的证据,都有哪些?
https://blog.sciencenet.cn/blog-107667-1529015.html
[3] 2026-04-04 21:18,[打听,科普,数学] 素数(24):素数分布频率与泊松 Poisson 分布、正态分布 normal 的对照
https://blog.sciencenet.cn/blog-107667-1528912.html
[4] 2026-04-03 20:40,[笔记,科普,数学] 素数(23):一些尚未解决的问题
https://blog.sciencenet.cn/blog-107667-1528823.html
[5] 2026-04-02 21:50,[笔记,科普,数学] 素数(22):布尔巴基 Bourbaki 几乎不研究素数?
https://blog.sciencenet.cn/blog-107667-1528617.html
[6] 2026-04-01 18:43,[笔记,科普,数学] 素数(21):柯尔莫哥洛夫 Колмого́ров Kolmogorov 几乎不研究素数?
https://blog.sciencenet.cn/blog-107667-1528444.html
[7] 2026-03-31 21:45,[笔记,科普,数学] 波利亚 George Pólya, György Pólya 杂记
https://blog.sciencenet.cn/blog-107667-1528271.html
[8] 2026-03-30 21:14,[笔记,科普,数学] 波利亚 George Pólya, György Pólya 名言之二(2nd)
https://blog.sciencenet.cn/blog-107667-1528093.html
[9] 2026-03-29 20:37,[笔记,科普,数学] 波利亚 George Pólya, Pólya György 名言之一
https://blog.sciencenet.cn/blog-107667-1527916.html
[10] 2026-03-28 20:36,[笔记,科普,数学] 素数(20):希尔伯特-波利亚猜想 Hilbert–Pólya conjecture
https://blog.sciencenet.cn/blog-107667-1527807.html
[11] 2026-03-27 21:04,[笔记,科普,数学] 素数(19):俄语资料的阅读摘录
https://blog.sciencenet.cn/blog-107667-1527694.html
[11] 2026-03-21 21:06,[图片,科普,数学] 希尔伯特手稿图片:谈数学公式、数学对象、数学定理
https://blog.sciencenet.cn/blog-107667-1526801.html
[12] 2026-03-20 14:20,[资料,科普,数学] 希尔伯特的第 8问题 prime number 英文版(1902年,美国数学会)
https://blog.sciencenet.cn/blog-107667-1526604.html
[13] 2026-03-19 14:45,[汇集,科普,数学] 1900年希尔伯特的 23个问题(英文版,简版)
https://blog.sciencenet.cn/blog-107667-1526445.html
[14] 2026-03-18 17:13,[笔记,科普,数学] 希尔伯特的第24问题,时代限制的遗憾
https://blog.sciencenet.cn/blog-107667-1526321.html
[15] 2026-03-17 22:43,[笔记,科普,数学] 素数(13):希尔伯特问题里的“哥德巴赫猜想 Goldbach conjecture”
https://blog.sciencenet.cn/blog-107667-1526196.html
[16] 2025-08-23 20:42,[资料,科普] 量子力学的哥本哈根诠释(13): 希尔伯特 David Hilbert 与数学
https://blog.sciencenet.cn/blog-107667-1498842.html
[17] 2025-08-22 20:33,[资料,科普] 量子力学的哥本哈根诠释(12): 庞加莱 Jules Henri Poincaré 与数学
https://blog.sciencenet.cn/blog-107667-1498748.html
[18] 2025-08-21 18:43,[资料,科普] 量子力学的哥本哈根诠释(11): 高斯 Johann Carl Friedrich Gauss 与数学
https://blog.sciencenet.cn/blog-107667-1498595.html
[19] 2025-8-20 17:57,[资料,科普] 量子力学的哥本哈根诠释(10): 柯西 Augustin-Louis Cauchy 与数学
https://blog.sciencenet.cn/blog-107667-1498479.html
[20] 2025-08-19 21:48,[资料,科普] 量子力学的哥本哈根诠释(9):希尔伯特、哥德尔、普朗克、爱因斯坦的感慨
https://blog.sciencenet.cn/blog-107667-1498354.html
[21] 2022-08-02 16:23,[求助] 希尔伯特“物理对于物理学家来说实在是太难了!”的出处
https://blog.sciencenet.cn/blog-107667-1349735.html
[22] 2016-03-01 14:07,柯西、高斯;庞加莱,希尔伯特:四位数学大牛
https://blog.sciencenet.cn/blog-107667-959695.html
[22] 2026-03-05 21:30,[笔记,科普,数学] 素数(2):素数定理 prime number theorem 之一
https://blog.sciencenet.cn/blog-107667-1524561.html
[23] 2026-03-04 15:36,[笔记,科普,数学] 素数(1):算术基本定理 fundamental theorem of arithmetic
https://blog.sciencenet.cn/blog-107667-1524368.html
[24] 2024-11-17 22:51,[数学文化,客观派,讨论] 欧几里得对“素数有无穷多个”研究的有效性
https://blog.sciencenet.cn/blog-107667-1460458.html
[25] 2024-11-10 22:51,[数学文化,笔记] 素数有无穷多个之九类证明
https://blog.sciencenet.cn/blog-107667-1459433.html
[26] 2026-03-06 01:24,[资源,科普,数学] 素数表(质数表,小于 200000) list of primes, prime numbers
https://blog.sciencenet.cn/blog-107667-1524570.html
感谢您的指教!
感谢您指正以上任何错误!
感谢您提供更多的相关资料!
Archiver|手机版|科学网 ( 京ICP备07017567号-12 )
GMT+8, 2026-5-19 06:43
Powered by ScienceNet.cn
Copyright © 2007- 中国科学报社