||
氢水浇葡萄品质提高【新疆】
1 引言
氢气(H₂)是一种可持续能源,可减少碳排放并推动绿色能源发展(Kamshybayeva 等,2024)。作为宇宙中含量最丰富的元素,氢气是一种小分子气体,无色、无味、无嗅,且易于穿透细胞膜(Russell 等,2020;Yu 等,2023;Li 等,2022a)。氢气参与大气中的氧化还原反应,其来源主要包括甲烷氧化和挥发性有机物(Zgonnik,2020)。细菌、藻类和植物可通过氢化酶与固氮酶产生氢气(Li 等,2022a),根瘤菌在固氮过程中也会释放氢气(Xu 等,2023)。尽管已有研究表明,对作物施加氢气可同时提高产量与品质,但其气态形式为实际应用带来了挑战(Russell 等,2020;Hu 等,2021)。由于氢气密度小于空气,在田间条件下难以留存,直接气态施用并不现实;此外,氢气具有高度易燃性,出于安全与储存考虑,其高浓度使用也受到限制。
一种更可行的方法是使用氢气的饱和形态,例如富氢水(HRW)。正如以往研究所示(Wu 等,2020b),富氢水可通过叶面喷施或土壤淋灌的方式直接作用于植物。富氢水的制备通常采用多种技术:一种是将镁基片剂溶解于水中,但这种方法可能会在溶液中引入残留副产物;另一种则是利用氢气发生器将氢气鼓入或泵入蒸馏水或其他灌溉介质中,制备后的溶液可稀释至目标浓度用于处理(Zulfiqar 等,2021)。
富氢水可通过降低氧化还原电位抑制活性氧(ROS),营造更利于电子供体的还原性环境,直接清除过氧化氢(H₂O₂)、超氧阴离子(O₂•⁻)等自由基;同时,它还能提高抗氧化酶活性并调控基因表达,以恢复细胞氧化还原平衡。这种作用机制将氧化还原驱动的反应与酶促防御、基因防御相结合,从而缓解氧化胁迫并增强植物抗逆性(Franceschelli 等,2016;Qazi,2022;Ding 等,2024a)。
中国新疆维吾尔自治区凭借独特的气候条件与光热资源,在葡萄种植产业发展中占据重要地位,其葡萄种植面积占全国的19%,产量占全国的24%(Cheng 等,2021)。尽管新疆因光照充足、灌溉技术先进而成为重要农业产区,但在集约化种植模式下,要维持作物长期生产力与果实品质,仍需转向更贴合生理机制的栽培策略(Wang 等,2018;Han 等,2024)。
由于这些抗氧化机制与光合稳定性密切相关,在环境条件波动时,监测光合机构的功能表现变得至关重要。在此背景下,叶绿素荧光(ChlF)测定作为一种非侵入性技术,可用于评估光系统II(PSII)的活性,为研究植物对环境变化的响应、光合机制及生长状况提供重要依据(Pashkovskiy 等,2018)。该方法通过荧光仪进行高频测量:将暗适应后的叶片暴露于短时作用光脉冲下(Rochaix,2011),产生的荧光动力学曲线可提供关键参数信息,如光系统II最大量子效率(Fv/Fm)、光系统II光化学量子产额(ΦPSII)、光化学猝灭系数(qP)、电子传递速率(ETR)及非光化学猝灭(NPQ)。这些参数是评估光合作用中光能利用效率的基础(Chen 等,2021;Mvondo-She 等,2024)。
这些生理指标不仅反映植物应对氧化胁迫的能力,也为评估旨在增强植物抗逆性的农艺干预措施效果提供了依据。当前,植物面临的生物胁迫与非生物胁迫日益加剧,因此研究人员正转向更具环境可持续性的方法,在不加重生态负担的前提下提高作物生产力与果实品质。
正常条件下,活性氧是呼吸作用、光合作用、光呼吸等基础代谢过程的副产物;但在胁迫条件下,超氧阴离子(O₂•⁻)、羟基自由基(•OH)等活性氧分子会过量产生(Yun 等,2021)。尤其在环境胁迫或衰老过程中,活性氧的过度积累会导致氧化损伤(Ali 等,2024)。为缓解这些活性分子的不利影响,植物会激活专门的酶促防御系统以保护细胞功能,其中包括过氧化物酶(POD)、超氧化物歧化酶(SOD)、过氧化氢酶(CAT)及多酚氧化酶(PPO)。这些酶可调控氧化还原稳态,对延缓衰老、维持细胞完整性至关重要(Karimi 等,2022;Guo 等,2025)。
葡萄(*Vitis vinifera*)作为一种重要的园艺经济作物,不仅对环境胁迫敏感,还与人类文明有着深厚的历史关联,因此备受关注。葡萄属于葡萄科,根据繁殖方式及栽培/野生属性可分为两个主要亚种:野生葡萄(*Vitis vinifera* ssp. *sylvestris*),目前仍生长在从西欧、北非延伸至喜马拉雅山脉附近的林地生态系统中;栽培葡萄(*Vitis vinifera* ssp. *vinifera* 或 *sativa*),起源于北美、欧洲及亚洲的河谷地区。葡萄是一种适应性较强的果灌木,可在炎热的热带、亚热带、温带气候及多种土壤类型中生长(Rodriguez-Izquierdo 等,2024)。
在全球果树作物中,葡萄的种植面积与产量仅次于柑橘,位居第二(Estrada 等,2021)。全球葡萄种植面积约为710万公顷,年产量约2839万吨;2024年中国葡萄种植面积约为75.3万公顷,位居世界第三(国际葡萄与葡萄酒组织,OIV,2025)。中国西北地区光照时间长、光照充足、昼夜温差大,是优质葡萄的重要产区(Liang 等,2014;Liu 等,2025)。
在此背景下,‘火焰无核’(‘Flame Seedless’)已成为最主要且广泛种植的鲜食葡萄品种之一。该品种因无籽、早熟、果穗紧凑、果粒大小均匀,且果皮呈鲜艳红色(总花青素含量(TAC)较高使其颜色更浓郁),深受消费者喜爱;此外,其果皮脆、果肉多汁、风味独特,也是显著优势(Lo’ay 和 El-Boray,2018;Abdel-Sattar 等,2022)。尽管具备这些优良特性,但要维持最佳生产力与果实品质,仍需深入了解其生理与生化需求。‘火焰无核’对光照强度、水分供应、温度等环境因素尤为敏感,这些因素均会显著影响其光合效率、抗氧化活性系统及防御相关基因的表达(Lecourieux 等,2017;Chen 等,2022;Pei 等,2023)。
尽管温室栽培可提供相对可控的环境,但微气候波动、高种植密度及其他栽培相关胁迫,仍可能影响光合表现、氧化还原稳态、色素稳定性及整体果实品质。因此,即便在温室条件下,能够增强植物内在生理生化抗逆性的干预措施也具有重要价值。已有研究表明,富氢水可调控抗氧化酶活性、维持活性氧稳态、稳定叶绿素与光系统II功能,并优化能量代谢(Yu 等,2023;Ferrandino 等,2023;Dinis 等,2024;Yu 等,2024;Akbar 等,2025)。此外,施用富氢水还可改善果实采前性状,如提高果实硬度、总可溶性固形物(TSS)含量、可溶性糖含量及着色度,同时降低可滴定酸度(TA)并促进次生代谢产物积累,从而缓解采后劣变(Dong 等,2023;Yao 等,2024)。
尽管已有大量研究报道了富氢水在实验室与大田条件下的有效性,但其对温室栽培‘火焰无核’葡萄的影响仍缺乏充分研究。在温室条件下评估富氢水的作用,对于明确其作为实用农艺策略、在相对可控栽培系统中提升植物生理表现与果实品质的潜力至关重要。因此,本研究旨在探究采前通过地下滴灌施用富氢水,对温室栽培‘火焰无核’葡萄抗氧化酶活性、叶绿素荧光参数及果实品质的影响。
2 材料与方法
2.1 试验材料与处理
‘火焰无核’葡萄试验于2023年6月至2024年8月在中国新疆石河子大学试验基地(北纬45°20′,东经86°03′)的温室中开展。为探究富氢水对葡萄果实品质、叶绿素荧光参数、酶促抗氧化活性及微生物群落的影响,设置以下两个处理组:
1. 富氢水处理组:根据以往研究(Li 等,2022b),富氢水浓度设定为1.0 mg/L;
2. 对照组:不添加氢气的清水。
温室土壤类型为砂质土,基本理化性质如下:pH值7.21、有机质含量13.67 g·kg⁻1、全氮含量0.38 g·kg⁻1、速效磷含量25.6 mg·kg⁻1、速效钾含量21.3 mg·kg⁻1。供试葡萄植株于2018年定植,葡萄园采用立式架栽培,架面朝向东西方向,葡萄行呈南北走向。每行葡萄两端设置水泥立柱,立柱上铺设4根镀锌铁丝,架高约1.5 m。每行种植5株葡萄,行距2.5 m,株距0.8 m。冬季修剪时,每株葡萄保留6个结果母枝。
所有葡萄植株均通过地下滴灌系统施用浓度为1 g/L的霍格兰营养液(pH值5.8,温度25℃;购自北京酷来博科技有限公司)进行灌溉与施肥。富氢水采用氢气发生器(型号HT-500,购自北京中惠普分析技术研究所)制备:将发生器产生的高纯度氢气(体积分数99.999%)以500 mL/min的流速通入50 L塑料储罐中,持续4小时;储罐需完全装满并密封,以防止氢气流失、促进氢气溶解。采用经气相色谱校准的便携式溶解氢测定仪(型号ENH-2000,购自日本大阪TRUSTLEX公司)检测,所得富氢水中溶解氢浓度约为1.0 mg/L,且氢气在水中的留存时间超过12小时。
富氢水制备完成后,通过管道输送至葡萄植株进行地下滴灌(滴灌速率4 L/h,每株葡萄配备8个滴头)(图1)。富氢水(处理组)或清水(对照组)每3天进行一次地下滴灌,每次每株葡萄灌溉10 L,滴头保持恒定流速。灌溉处理周期为2024年6月30日(花期后30天)至2024年8月10日,期间灌溉频率与灌溉量保持一致。
每个处理组设置6个生物学重复,每个重复为1株葡萄植株,植株选择标准为生长状况一致。分别在葡萄盛花后44天、54天、64天、74天(依次记为DB44、DB54、DB64、DB74)测定果实品质相关指标;在同一灌溉周期的第1天、第4天、第7天(依次记为DI1、DI4、DI7)测定叶片叶绿素荧光参数与叶绿素色素含量;试验末期(8月10日)测定果穗重量、单果重量及叶片抗氧化酶活性。

图1 富氢水(HRW)葡萄灌溉系统示意图
该系统包括主灌溉水箱与50 L次级水箱,次级水箱通过不锈钢管道与氢气发生器连接。当50 L水箱装满水后,氢气发生器将氢气泵入水箱中,生成的富氢水通过输水管网与滴头输送至葡萄植株。
灌溉系统包括主灌溉水箱、水泵及一系列不同规格的输水管,输水管连接水阀与滴头(每株葡萄幼苗配备4个滴头);富氢水制备与输送系统包括富氢水发生器、用于气体传输的不锈钢气管及50 L富氢水储罐。该系统通过地下灌溉管网将富氢水精准输送至葡萄幼苗,以实现灌溉水的优化分配与高效利用。
2.2 果皮与叶片中叶绿素色素及类胡萝卜素(Car)含量测定
色素含量测定参照Li等(2024c)的方法:将葡萄果皮研磨粉碎,新鲜叶片去除叶脉后剪碎;分别称取0.1 g样品,加入10 mL 95%乙醇,在黑暗条件下提取24小时;随后以12000×g的转速离心10分钟,取上清液用紫外分光光度计在665 nm、649 nm、470 nm波长下测定吸光度。根据吸光度值、溶液体积及样品质量,按以下公式(公式1-5)计算色素含量:


公式中参数说明
其中,A665、A649、A470分别代表提取液在665 nm、649 nm、470 nm波长下的吸光度值;V代表混合溶剂的体积(单位:mL);W代表样品的重量(单位:g)。
2.3 叶片叶绿素荧光(ChlF)参数测定
采用脉冲振幅调制荧光仪(型号IMAG-CG,德国Walz公司)对每株葡萄植株第4~6片完全展开的叶片进行叶绿素荧光参数测定。测定前,将叶片置于湿润环境中暗适应30分钟。记录的参数包括:F0(暗适应下最小荧光)、F′0(光适应下最小荧光)、Fm(暗适应下最大荧光)、F′m(光适应下最大荧光)及Ft(光照下稳态荧光)(Abdullaev等,2024)。这些参数用于后续计算(González-Salvatierra等,2024)(公式6~10):
公式中,PPFD代表叶夹传感器记录的光合光子通量密度;0.84代表光系统吸收的光比例;0.5代表光在两个光系统间的分配比例。
2.4 抗氧化酶活性及过氧化氢(H₂O₂)、超氧阴离子(O₂•⁻)含量测定
叶片中过氧化物酶(POD)、超氧化物歧化酶(SOD)、多酚氧化酶(PPO)、过氧化氢酶(CAT)等抗氧化酶的活性采用试剂盒(购自http://www.cominbio.com/index.html,产品编号分别为POD-2-Y、SOD-2-W、PPO-2-Y、CAT-2-Y)测定(Ngaffo Mekontso等,2021)。超氧阴离子(O₂•⁻)和过氧化氢(H₂O₂)含量采用试剂盒(购自http://geruisi-bio.com,产品编号分别为O₂•⁻检测试剂盒G0116W、H₂O₂检测试剂盒G0168W)测定(Ruan等,2024)。
具体操作步骤如下:从-80℃冰箱中取出‘火焰无核’葡萄叶片,立即在液氮中研磨至细粉;称取0.1 g冷冻粉末,加入1 mL提取液匀浆;将匀浆液在4℃下以8000×g转速离心10分钟;收集上清液,用于活性氧(ROS)含量和酶活性测定。采用紫外分光光度计分别在510 nm(H₂O₂)、540 nm(O₂•⁻)、560 nm(SOD)、470 nm(POD)、240 nm(CAT)、290 nm(抗坏血酸过氧化物酶APX)、525 nm(PPO)波长下测定吸光度。所有酶活性及活性氧含量的测定均严格按照试剂盒说明书操作,结果按说明书规定的单位表示。
2.5 葡萄果皮中总花青素含量(TAC)、总酚含量(TPC)及总黄酮含量(TFC)测定
总花青素、总酚、总黄酮的提取参照Xu等(2021)的方法并稍作修改,采用盐酸-甲醇溶液(体积比1:99)进行提取。将果皮样品在冰上匀浆后,于黑暗条件下超声提取30分钟,4℃下静置15小时,随后在4℃下以8000×g转速离心3分钟。样品与提取液的比例为1:40(质量体积比,w/v)。
总花青素含量采用改良的pH差值分光光度法(Da Porto和Natalino,2018)测定:将稀释后的样品(1 mL样品+9 mL缓冲液)在室温下分别与pH 1.0的氯化钾-盐酸缓冲液、pH 4.5的乙酸钠-盐酸缓冲液孵育1小时,然后在520 nm和700 nm波长下测定吸光度。结果以每千克鲜重中氰定-3-葡萄糖苷的毫克数(mg cyd-glu·kg⁻1 FW)表示(公式11、12):
公式中,MW代表氰定-3-O-葡萄糖苷的分子量(449.2);ε代表其摩尔消光系数(26900 mol⁻1);Df代表稀释倍数;W代表样品鲜重。
总黄酮含量采用比色法测定(Xie等,2015):在10 mL容量瓶中,将样品提取液和芦丁标准溶液用蒸馏水稀释至5 mL(体积比1:4);加入0.3 mL 5%亚硝酸钠溶液,振荡5分钟;再加入0.3 mL 10%三氯化铝溶液,搅拌6分钟;随后加入2 mL 1 mol/L氢氧化钠溶液和2.4 mL蒸馏水,充分混匀。以芦丁标准曲线(0~200 mg/L)计算总黄酮含量,结果以每100克鲜重中芦丁当量的毫克数(mg RE/100 g FW)表示,测定波长为510 nm。
总酚含量采用改良的福林-肖卡法(Folin–Ciocalteu法)测定(Vasco等,2008):取0.5 mL提取液、空白对照或标准溶液,与0.5 mL福林-肖卡试剂在25 mL容量瓶中混合,搅拌3分钟;加入10 mL 75 g/L碳酸钠溶液,混匀后用蒸馏水定容至25 mL;在室温下孵育1小时,采用岛津UV-160A分光光度计在750 nm波长下测定吸光度。以没食子酸标准曲线(0~240 mg/L)计算总酚含量,结果以没食子酸当量(GAE)表示。
2.6 果实品质相关指标测定
2.6.1 单果重、果穗重及产量评估
在果实成熟期(2024年8月10日),每个处理组随机选取3株葡萄植株。采用精度为0.01 g的精密天平测定果穗重量;从每穗葡萄的上、中、下三部分随机选取50粒果实测定单果重,每个处理设置3次重复。根据试验种植密度,通过“平均果穗重×单株果穗数×每亩植株数”的公式估算每亩产量(单位:吨)。
2.6.2 果实硬度与果皮颜色
采用果实硬度计(型号GY-B,中国衢州爱普仪器有限公司)测定果实硬度,每个处理至少设置3次重复(Wang等,2024)。采用美能达CR-200色差仪(日本柯尼卡美能达公司)测定果皮颜色,记录明度(L*)、红绿色度(a*)、黄蓝色度(b*)三个参数。从每个处理组随机选取30粒果实(涵盖果穗上、中、下部),在果实赤道部位进行测定。根据色度值计算红葡萄颜色指数(CIRG)(Zhou等,2024),计算公式如下(公式13~15):
公式中:
C* = 彩度,代表颜色饱和度;
h° = 色相角,代表感知到的颜色色调。
##2.6.3 总可溶性固形物(TSS)、pH值及可滴定酸度(TA)
每个处理组取15~30粒葡萄,人工压榨过滤获取果汁,用于测定可滴定酸度、总可溶性固形物和pH值。总可溶性固形物采用数字折光仪(型号PAL-1,日本爱拓公司)测定,取1 mL果汁样品,操作方法参照仪器说明书(Hu等,2025)。pH值采用数字pH计(型号PH818,越南河内仪器公司)测定,测定前用pH 4.0和pH 6.8标准溶液校准(AiHaiti等,2025)。
可滴定酸度采用0.1 mol/L氢氧化钠溶液滴定至pH 8.1终点,以酚酞为指示剂,结果以每100克鲜重果实中酒石酸当量的克数表示,计算公式如下(公式16):
公式中,VI代表提取液总体积(单位:mL);N代表氢氧化钠溶液浓度(单位:mol/L);VII代表滴定消耗氢氧化钠溶液的体积(单位:mL);VIII代表用于滴定的提取液体积(单位:mL);W代表样品重量(单位:g);f代表酸系数(酒石酸的酸系数为0.075)。
2.6.4 总可溶性糖含量
总可溶性糖含量采用改良的蒽酮比色法测定(Kanwal等,2024):称取1.0 g新鲜果实组织,加入10 mL蒸馏水煮沸60分钟,过滤至100 mL容量瓶中;残渣重复提取一次,合并滤液后用蒸馏水定容至100 mL。取0.5 mL提取液,加入1.5 mL蒸馏水、0.5 mL蒽酮试剂和5.0 mL浓硫酸,在100℃下孵育1分钟;冷却后,在630 nm波长下测定吸光度。以葡萄糖标准曲线(0~100 μg/mL)计算总可溶性糖含量。
2.7 统计分析
试验数据以“平均值±标准差(SD)”表示(n=3),采用GraphPad Prism 8.02软件(美国加利福尼亚州圣迭戈GraphPad软件公司)进行统计分析。采用多重Student’s t检验比较对照组与处理组间的差异,显著性水平设定为:*P<0.05(显著差异)、P<0.01(极显著差异)、*P<0.001(极极显著差异)。
3 结果
3.1 富氢水处理对‘火焰无核’葡萄单果重、果穗重的影响
在不同生育期,富氢水处理均对‘火焰无核’葡萄的单果鲜重、果穗重及估算产量产生影响。富氢水处理组的单果鲜重呈逐步上升趋势,在盛花后74天(DB74)达到最大值1.973 g,较对照组增加7.64%(表1)。单果重的增加也体现在果穗重上:DB74时,富氢水处理组的平均果穗重为591.67 g,对照组为551.00 g,处理组较对照组增加7.38%。同样,富氢水处理组的每亩估算产量更高:DB74时,处理组每亩产量达9.94吨,对照组为9.26吨,增幅为7.38%(表1)。综上,在整个果实发育期间,富氢水处理持续提高了‘火焰无核’葡萄的单果重、果穗重及总产量。
表1. 富氢水灌溉对‘火焰无核’葡萄单果重、果穗重及产量的影响

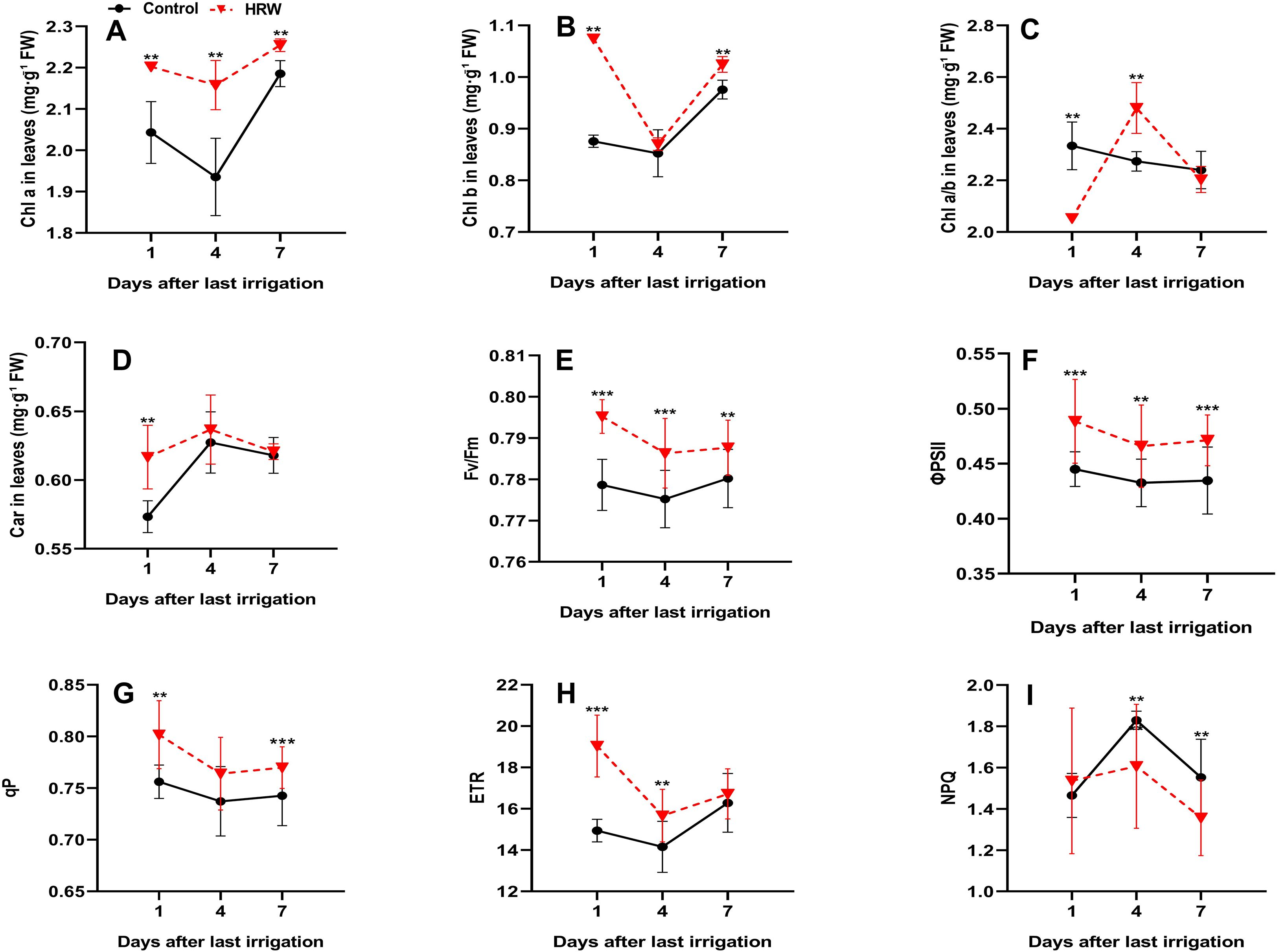
3.2 富氢水处理对‘火焰无核’葡萄叶片光合色素及叶绿素荧光参数的影响
富氢水处理显著影响叶片光合色素含量与叶绿素荧光参数,表明其可增强光系统II(PSII)功能与光合性能。如图2所示:
- 叶绿素a(Chl a):富氢水处理组叶片的叶绿素a含量在各测定时间点均显著高于对照组(P<0.05),在灌溉后第1天(DI1)、第4天(DI4)、第7天(DI7)分别较对照组增加7.80%、11.49%、3.16%(图2A)。
- 叶绿素b(Chl b):富氢水处理组在DI1和DI7时的叶绿素b含量显著高于对照组(P<0.05),增幅分别为22.69%、4.99%,但在DI4时与对照组无显著差异(图2B)。
- 叶绿素a/b比值:该比值呈波动趋势。DI1时,富氢水处理组显著低于对照组(降低12.14%);DI4时,处理组显著高于对照组(增加9.23%);DI7时,两组差异微小且不显著(图2C)。
- 类胡萝卜素(Car):DI1时,富氢水处理组的类胡萝卜素含量显著高于对照组(增加7.81%,P<0.05);两组类胡萝卜素含量均在DI4达到峰值,但此时处理组与对照组无显著差异;DI7时,类胡萝卜素含量较DI4略有下降,两组差异仅为0.49%且不显著(图2D)。
上述结果表明,富氢水可促进类胡萝卜素积累,尤其在处理早期增强光捕获能力,且类胡萝卜素含量在DI4达到峰值(尽管此时与对照组无显著差异)。
叶绿素荧光参数变化如下:
- 光系统II最大量子效率(Fv/Fm):DI1时,富氢水处理组较对照组增加2.13%(P<0.05);DI4时,两组Fv/Fm均下降,但处理组仍显著高于对照组(增加1.43%,P<0.05);DI7时,两组Fv/Fm略有上升,处理组较对照组高0.95%但差异不显著(图2E)。
- 光系统II光化学量子产额(ΦPSII):富氢水处理组的ΦPSII在各时间点均显著高于对照组(P<0.05),DI1、DI4、DI7分别增加9.76%、7.71%、8.41%(图2F)。
- 光化学猝灭系数(qP):DI1时,处理组qP较对照组增加6.02%(P<0.05);DI4时,两组qP均下降;DI7时,处理组qP小幅上升,较对照组增加3.65%(P<0.05)(图2G)。
- 电子传递速率(ETR):富氢水处理组的ETR显著高于对照组,DI1时增幅达27.41%(P<0.05);DI4时,两组ETR均下降,但处理组仍较对照组高10.68%(P<0.05);DI7时,处理组ETR略高于对照组但差异不显著(图2H)。
- 非光化学猝灭(NPQ):富氢水处理组的NPQ呈逐步下降趋势,DI1时降低0.49%(差异不显著),DI4时降低4.82%(P<0.05),DI7时降低12.59%(P<0.05)(图2I)。
图2
图A至图I展示了对照组与富氢水处理组在末次灌溉后不同天数对叶片各项参数的影响。图A为叶绿素a含量,图B为叶绿素b含量,图C为叶绿素a+b总含量,图D为类胡萝卜素含量,图E为光系统II最大量子效率(Fv/Fm),图F为光系统II光化学量子产额(ΦPSII),图G为光化学猝灭系数(qP),图H为电子传递速率(ETR),图I为非光化学猝灭(NPQ)。红色线条代表富氢水处理组,黑色线条代表对照组。图中标记了显著差异,体现了各参数随时间的变化趋势。
图2 富氢水处理对‘火焰无核’葡萄叶片叶绿素a含量(Chl a)(A)、叶绿素b含量(Chl b)(B)、叶绿素a/b比值(Chl a/b)(C)、类胡萝卜素含量(Car)(D)、光系统II最大量子效率(Fv/Fm)(E)、光系统II光化学量子产额(ΦPSII)(F)、光化学猝灭系数(qP)(G)、电子传递速率(ETR)(H)及非光化学猝灭(NPQ)(I)的影响
数据以“平均值±标准差(SD)”表示,每组3次重复。星号表示与对照组存在显著差异(Student’s t检验;*P<0.05,P<0.01,*P<0.001)。
3.3 富氢水处理对‘火焰无核’葡萄叶片酶活性及活性氧(ROS)代谢的影响
如图3所示,富氢水处理显著影响葡萄叶片中活性氧的积累。富氢水处理组叶片的过氧化氢(H₂O₂)含量为0.519 μmol·g⁻1鲜重,较对照组(0.652 μmol·g⁻1鲜重)显著降低20.5%(P<0.05)(图3A)。同样,富氢水处理组的超氧阴离子(O₂•⁻)含量也更低,平均值为170.81 nmol·g⁻1鲜重,而对照组为222.06 nmol·g⁻1鲜重,降幅达23.1%(P<0.05)(图3B)。
与之相反,富氢水处理显著提高了关键抗氧化酶的活性,包括超氧化物歧化酶(SOD)、过氧化物酶(POD)和过氧化氢酶(CAT)(P<0.05)。其中,富氢水处理组叶片的SOD平均活性达28.84 U·g⁻1鲜重,对照组为25.18 U·g⁻1鲜重(图3C);POD活性在富氢水处理组显著更高,平均值为1065.33 U·g⁻1鲜重,对照组仅为786.67 U·g⁻1鲜重(图3D);CAT活性同样显著升高,富氢水处理组平均值为2857.5 nmol·min⁻1·g⁻1鲜重,对照组为2168.2 nmol·min⁻1·g⁻1鲜重(图3E)。
值得注意的是,富氢水处理组叶片的多酚氧化酶(PPO)活性显著降低,平均值为15.00 U·g⁻1鲜重,而对照组为20.40 U·g⁻1鲜重(图3F)。
图3
图A至图F为柱状图,比较了盛花后74天对照组与富氢水处理组对植物生化参数的影响,星号表示存在显著差异。图A显示对照组过氧化氢(H₂O₂)含量更高;图B显示对照组超氧阴离子(O₂•⁻)含量更高;图C显示富氢水处理组超氧化物歧化酶(SOD)活性更高;图D显示富氢水处理组过氧化物酶(POD)活性更高;图E显示富氢水处理组过氧化氢酶(CAT)活性更高;图F显示对照组多酚氧化酶(PPO)活性更高。黑色柱代表对照组,红色柱代表富氢水处理组。
图3 富氢水处理对‘火焰无核’葡萄叶片过氧化氢(H₂O₂)含量(A)、超氧阴离子(O₂•⁻)含量(B)及超氧化物歧化酶(SOD)(C)、过氧化物酶(POD)(D)、过氧化氢酶(CAT)(E)、多酚氧化酶(PPO)(F)活性的影响
数据以“平均值±标准差(SD)”表示,每组3次重复。通过Student’s t检验判定与对照组的差异显著性(P<0.01,*P<0.001)。
3.4 富氢水处理对葡萄果皮总叶绿素(TChl)及类胡萝卜素(Car)含量的影响
在两个处理组中,随着果实成熟,葡萄果皮的总叶绿素含量均呈快速下降趋势(图4A)。与对照组相比,富氢水处理在盛花后44天(DB44)、54天(DB54)和64天(DB64)均降低了果皮总叶绿素含量,但差异均无统计学意义。
值得注意的是,在DB44和DB54两个时期,对照组的类胡萝卜素含量显著高于富氢水处理组,增幅分别为30.77%和12.55%(P<0.05);到DB64时,两组类胡萝卜素含量无显著差异;而在DB74时,富氢水处理组的类胡萝卜素含量高于对照组,增幅达34.64%(P<0.05)(图4B)。
图4
图A至图F为折线图,展示了盛花后不同天数对照组(黑色实线)与富氢水处理组(红色虚线)中各类物质的变化趋势。图A:两组果皮总叶绿素(TChl)含量均下降;图B:对照组果皮类胡萝卜素(Car)含量下降幅度更小;图C:富氢水处理组果皮总花青素含量(TAC)增幅更大;图D:两组果皮总酚含量(TPC)均下降,富氢水处理组下降幅度更小;图E:两组果皮总黄酮含量(TFC)均下降,富氢水处理组下降幅度更小;图F:富氢水处理组红葡萄颜色指数(CIRG)增幅更大。星号表示存在显著差异。
图4 富氢水处理对‘火焰无核’葡萄果皮总叶绿素含量(TChl)(A)、类胡萝卜素含量(Car)(B)、总花青素含量(单位:mg氰定-3-O-葡萄糖苷/100g鲜重)(TAC)(C)、总酚含量(单位:mg没食子酸当量/100g鲜重)(TPC)(D)、总黄酮含量(单位:mg槲皮素当量/100g鲜重)(TFC)(E)及红葡萄颜色指数(CIRG)(F)的影响
数据以“平均值±标准差(SD)”表示,每组3次重复。通过Student’s t检验判定与对照组的差异显著性(P<0.01,*P<0.001)。
3.5 富氢水处理提高葡萄果皮总花青素、总酚、总黄酮含量及红葡萄颜色指数
随着果实成熟,两个处理组葡萄果皮的总花青素含量(TAC)均呈逐渐上升趋势。在所有测定时期,富氢水处理组的总花青素含量均显著高于对照组(P<0.05),其中DB54、DB64、DB74时的含量分别为9.85、13.36和21.60 mg/100g鲜重(图4C)。
花青素、酚类化合物和黄酮类化合物均为密切相关的抗氧化次生代谢产物,其中花青素属于黄酮类化合物的一个亚类。这些物质具有共同的生物合成途径,并竞争相同的代谢前体,这表明富氢水可能对它们的协同积累产生促进作用。
为进一步明确抗氧化活性的来源,研究测定了总酚含量(TPC)和总黄酮含量(TFC)的变化。结果显示,总酚含量从DB44到DB74呈逐步下降趋势,但在DB54、DB64和DB74时,富氢水处理组的总酚含量高于对照组,分别为172.00、186.13和120.53 mg/100g鲜重;而在DB44时,富氢水处理组的总酚含量较低,为213.07 mg/100g鲜重(图4D)。
同样,除DB54外,在所有其他时期,富氢水处理组的总黄酮含量均高于对照组:DB64时为11.65 mg/100g鲜重,DB74时为7.16 mg/100g鲜重;而DB54时富氢水处理组的总黄酮含量略低,为10.60 mg/100g鲜重(图4E)。
值得注意的是,总酚和总黄酮含量在DB54前均呈下降趋势,之后略有回升,但整体到DB74仍呈下降趋势。与总酚和总黄酮含量的变化趋势相反,在果实成熟过程中,红葡萄颜色指数(CIRG)持续上升(图4F)。在所有测定时间点,富氢水处理组的红葡萄颜色指数均高于对照组,其中DB54、DB64、DB74时分别为3.62、5.49和5.717(P<0.05)。
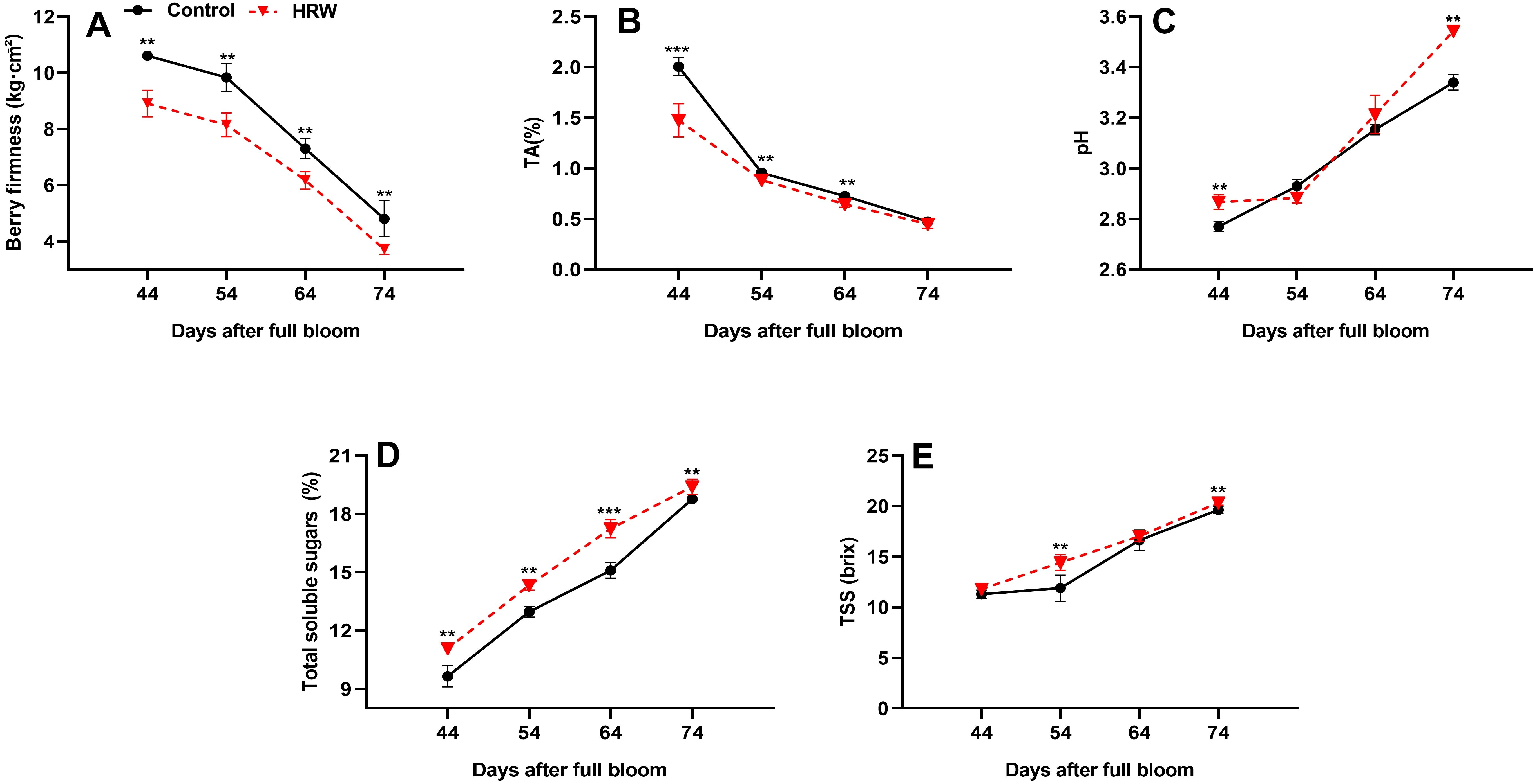
3.6 富氢水处理对葡萄果实硬度、可滴定酸度(TA)、总可溶性固形物(TSS)、可溶性糖含量及pH值的影响
与对照组相比,富氢水处理显著影响‘火焰无核’葡萄的品质指标(图5)。随着果实成熟,葡萄果实的硬度和可滴定酸度均呈逐渐下降趋势。在DB74时,果实硬度和可滴定酸度均达到最低值,其中富氢水处理组的果实硬度和可滴定酸度较对照组分别降低22.75%和5.47%(图5A、B)。
与之相反,两个处理组葡萄果实的总可溶性固形物、可溶性糖含量和pH值均随果实成熟逐渐升高。在DB54和DB74时,富氢水处理组的总可溶性固形物含量显著高于对照组(P<0.05),增幅分别为21.18%和3.65%(图5C)。
可溶性糖含量也随果实成熟持续上升,在DB44、DB54、DB64和DB74时,富氢水处理组的可溶性糖含量较对照组分别提高14.85%、10.54%、14.19%和3.41%(P<0.05),这种糖分积累体现了果实品质的提升(图5D)。
另一方面,在DB54和DB64时,两组葡萄果实的pH值无显著差异;但在DB44和DB74时,富氢水处理组的果实pH值显著高于对照组(P<0.05),增幅分别为3.49%和6.09%(图5E)。
图5
图A至图E展示了盛花后不同天数对照组与富氢水处理组葡萄果实各项品质指标的变化。图A显示果实硬度逐渐下降;图B显示可滴定酸度逐渐下降;图C显示pH值逐渐上升;图D显示可溶性糖含量逐渐上升;图E显示总可溶性固形物含量逐渐上升。每张图均包含盛花后44天、54天、64天和74天的数据点,并标注了处理组间的统计学显著差异。
图5 富氢水处理对‘火焰无核’葡萄果实硬度(A)、可滴定酸度(TA)(B)、pH值(C)、可溶性糖含量(D)及总可溶性固形物(TSS)(E)的影响
数据以“平均值±标准差(SD)”表示,每组3次独立重复。星号表示与对照组存在显著差异(Student’s t检验;P<0.01,*P<0.001)。
4 讨论
4.1 富氢水处理提高‘火焰无核’葡萄产量
叶绿素荧光参数是光合产物积累的关键决定因素,而光合速率则直接反映植物的光合能力(熊等,2020)。光合效率的提升会加速生物量积累,最终影响果实产量。本研究中,与对照组相比,富氢水处理显著提高了‘火焰无核’葡萄的单果重、果穗重及估算总产量(表1)。这一结果与以往研究报道一致,即较高的光合色素含量、优化的光合参数及良好的整体光合性能对植物最终产量具有积极影响(张等,2023b)。
此外,富氢水处理与叶片抗氧化酶活性呈正相关,这一现象表明,活性氧清除能力的增强和生理状态稳定性的提升,共同促进了光合效率的改善。综上,这些结果表明,施用富氢水可促进‘火焰无核’葡萄的果实发育和产量形成,凸显了其在温室栽培条件下提高葡萄产量的潜力。
4.2 富氢水对‘火焰无核’葡萄叶片光合色素、叶绿素荧光参数、活性氧稳态及抗氧化酶活性的影响
光合色素和叶绿素荧光参数是反映植物光合效率的重要指标。叶绿素作为将光能转化为化学能的主要色素,也是衡量植物生理和生态状态的关键标志(张等,2021;徐等,2022b)。本研究中,对照组植株在DI4时叶绿素a和叶绿素b含量均最低,而富氢水处理组在所有时间点均维持较高的叶绿素含量,尤其在DI4时表现更为明显(图2A、B)。对照组较低的叶绿素含量可能是由于土壤水分波动导致叶绿体结构受损,进而加剧光合色素降解所致。
这些结果表明,富氢水可能对叶绿素稳定性和光合效率具有积极作用,这很可能得益于其对植物抗氧化活性的增强作用,从而延缓了叶绿素的分解(El-Saadony等,2024;廖等,2025;王等,2025)。
值得注意的是,两个处理组的叶绿素a/b比值和类胡萝卜素含量在灌溉后第4天(DI4)均有所升高,且富氢水处理组的数值最高(图2C、D)。这种升高可能是一种光保护适应性反应,因为类胡萝卜素可耗散过剩光能并猝灭单线态氧,从而稳定类囊体膜(Zgonnik,2020;Abdel-Sattar等,2024;He等,2024;Rao等,2025)。较高的叶绿素a/b比值也可能表明,在土壤水分波动条件下,植物会选择性保留叶绿素a以维持光系统II(PSII)的活性(Xu等,2022b)。这些色素动态变化表明,富氢水可通过调控色素生物合成相关基因的表达,减轻叶绿素降解并增强光保护作用,从而在保护叶绿素的同时促进类胡萝卜素积累(Zhao等,2020;Wang等,2025)。
光合作用依赖于光捕获复合体吸收光能以启动光化学反应(Akhlaq等,2025)。光系统II的效率可通过叶绿素荧光参数(如ΦPSII、qP、ETR、Fv/Fm和NPQ)评估,这些参数对环境变化高度敏感,有助于了解光合机构的功能状态(Abdullaev等,2024)。在这些参数中,Fv/Fm在DI4时下降,在DI7时恢复,且富氢水处理组的数值始终高于对照组(图2E)。这一趋势表明光抑制作用减弱、光能利用效率提高,与此前在番茄中的研究结果一致(Hazrati等,2016;Akhlaq等,2025)。
同样,作为光能利用效率和光化学猝灭指标的ΦPSII与qP,在DI4时显著下降,经过第二个灌溉周期后,在DI7时部分恢复。富氢水处理组的这两个参数值始终高于对照组(图2F、G),表明富氢水可增强电子传递并提高光系统II的稳定性(Wang等,2022;Abdullaev等,2024)。ETR在DI4时也出现下降,这反映出土壤水分波动导致电子传递链受到抑制;但富氢水处理组的ETR值显著更高,表明其对光系统II的保护作用更强,电子流动更稳定。到DI7时,两组的ETR值均有所恢复,且富氢水处理组仍保持更优的表现。
与之相反,代表非光化学猝灭(即过剩激发能以热能形式耗散)的NPQ在DI4时显著升高,这体现了一种光保护机制(图2I)。在芦荟中也观察到类似现象:水分供应波动时,NPQ会升高(Wang等,2022)。通常情况下,NPQ升高与电子传递链暂时饱和导致类囊体腔中质子积累有关(Hazrati等,2016)。值得注意的是,富氢水处理组的NPQ水平较低,表明其对热能耗散的需求减少,光合活性调控更为高效。
富氢水处理组光合性能的提升,与植物激活强效抗氧化防御系统以保护叶绿体免受氧化胁迫有关。叶绿体作为光合作用的主要场所,对周围环境变化高度敏感,环境波动会干扰CO₂同化过程,导致电子传递链(ETR)过度还原并产生过量活性氧(ROS)(El-Saadony等,2024)。积累的活性氧会损伤光系统II、破坏类囊体膜并降解色素,进而降低光化学效率,这一变化可通过Fv/Fm及相关叶绿素荧光参数反映(Shah等,2021;Iwai等,2023;Rao等,2025)。植物通过由酶促和非酶促成分组成的复杂抗氧化系统,可减轻此类氧化损伤(Li等,2024b)。
已有研究表明,富氢水可通过提高抗氧化酶活性、降低活性氧水平来维持氧化还原平衡。它能直接降低超氧阴离子(O₂•⁻)含量并生成过氧化氢(H₂O₂),随后通过增强过氧化氢降解活性清除H₂O₂(Yun等,2021)。本研究中,与对照组相比,富氢水处理使葡萄叶片的活性氧水平显著降低(图3),这与荔枝(Yun等,2021)和小白菜(An等,2021)中的研究结果一致。活性氧水平的下降表明抗氧化酶系统发挥了作用——该系统是植物组织抵御氧化胁迫的主要防御机制,对保护细胞结构至关重要(Wei等,2019)。
具体而言,超氧化物歧化酶(SOD)催化O₂•⁻歧化为H₂O₂和O₂,而过氧化氢酶(CAT)和过氧化物酶(POD)进一步将H₂O₂降解为H₂O和O₂,从而防止活性氧的有害积累(Wei等,2019;Li等,2024b;Guo等,2025)。本研究中,富氢水处理显著提高了葡萄叶片中SOD、POD和CAT的活性(图2C-E)。在蟹味菇(Ali等,2024)、小白菜(An等,2021)、红肉火龙果(Ding等,2024a)和大白菜(Li等,2022a)中也观察到了类似的响应。相反,富氢水处理抑制了葡萄叶片中多酚氧化酶(PPO)的活性(图2F),这与兰州百合中的研究结果一致(Zhang等,2023a)。
富氢水对抗氧化酶活性和活性氧清除的积极作用,可能与其调控氧化胁迫相关基因的表达有关(Yang等,2024)。富氢水可提高转录因子HcMYB6的表达水平,该因子能上调抗氧化酶编码基因的表达,进而增强活性氧清除能力(Wei等,2019;Yun等,2021;Ding等,2024a、2024b)。相反,富氢水会抑制转录抑制因子HcR2R3MYB的表达(该因子与PPO活性相关),从而减少酶促褐变并保留酚类化合物(Ding等,2024a)。
除酶促防御外,类胡萝卜素(Car)、总黄酮(TFC)和总酚(TPC)等非酶促抗氧化剂也有助于清除活性氧、稳定类囊体膜并保护色素-蛋白复合体(Hasanuzzaman等,2020)。尤其是类胡萝卜素,可耗散过剩激发能并防止三线态叶绿素形成,从而减少与光抑制相关的活性氧生成(Hasanuzzaman等,2020)。综上,富氢水的这种双重调控作用——同时强化酶促和非酶促抗氧化系统——可增强叶片和果实的生理完整性、维持其品质,并支持植物在不同环境条件下的生长表现。
本研究结果表明,施用富氢水可增强植物的酶促和非酶促抗氧化响应,上调SOD、POD、CAT和PPO的表达及活性,同时增加类胡萝卜素的积累量。这些生化层面的改善,与观测到的Fv/Fm、ΦPSII、qP、ETR升高及NPQ降低相呼应,均表明光化学效率得到提升。此外,富氢水还可支持线粒体ATP合成,为灌溉周期间土壤水分自然波动条件下的光合碳代谢提供所需能量(He等,2024)。
进一步研究发现,富氢水处理组的植物维持了最优的叶绿素a/b比值(约2.2),这一比值对光系统内高效的光捕获和能量传递至关重要。这种稳定性可能与叶绿体超微结构的保护及其内在抗氧化机制的高效运作有关——后者可维持氧化还原平衡,防止该环境条件下的氧化损伤;正如此前在小麦品种中的研究报道所示,这种保护作用有助于维持持续的光合功能(Rao等,2025)。通过优化能量分配和维持氧化还原平衡,富氢水已成为提高作物抗逆性和生产力的一种极具潜力的策略(Yu等,2023)。
4.3 富氢水处理对葡萄果皮总叶绿素(TChl)和类胡萝卜素(Car)的影响
果实成熟的特征包括叶绿素降解、类胡萝卜素积累和细胞壁分解。果实从绿色向红色的转变,主要由叶绿素分解以及类胡萝卜素、总花青素(TAC)、番茄红素等色素的生物合成与积累驱动。这些化合物会使浆果和葡萄呈现红色、紫色或蓝色等色泽(Wu等,2020a;Francis和Abdulhameed,2024)。
本研究结果显示,富氢水处理组与对照组的总叶绿素含量无显著差异,且两组均随成熟过程呈现下降趋势(图4A),这与Fang等(2020)的研究结果一致——该研究发现茉莉酸可上调西兰花中的叶绿素降解。因此,叶绿素降解可能有助于增强果实着色。反映光系统II效率和光保护能力的叶绿素荧光参数(Martínez-Lüscher等,2015),与成熟过程中叶绿素分解和类胡萝卜素合成的平衡密切相关。叶绿素荧光参数的下降,通常与叶绿体结构变化及向有色体的转化同步发生;在有色体中,类胡萝卜素会积累以发挥光保护和抗氧化防御作用(Gambetta等,2021)。
研究结果表明,富氢水处理会影响‘火焰无核’葡萄类胡萝卜素的积累动态。在盛花后44天(DB44)、54天(DB54)和64天(DB64),富氢水处理组的类胡萝卜素含量低于对照组,但在DB74时超过对照组;且两组的类胡萝卜素含量均随时间总体呈下降趋势(图4B)。类胡萝卜素的积累受氧化还原平衡调控,其中活性氧在刺激其生物合成方面发挥关键作用(Ali等,2024)。抗氧化酶有助于减轻浆果组织的氧化胁迫(Rashad等,2023),其活性可通过调控作为生物合成信号的活性氧水平,间接调节类胡萝卜素的生物合成(El-Saadony等,2024)。
在试验最后一天,富氢水处理组叶片的抗氧化酶活性更高,且H₂O₂和O₂•⁻水平更低,表明其活性氧清除能力增强。果实发育早期活性氧水平降低,可能导致类胡萝卜素生物合成的刺激作用减弱,这也解释了为何早期阶段类胡萝卜素积累量较低。相反,富氢水的长期作用可能减缓了后期类胡萝卜素的降解,使得DB74时类胡萝卜素积累量更高。在其他果实(如经氢纳米气泡水(HNW)处理的番茄)中也观察到类似结果(He等,2024),表明富氢水可通过防止降解来提高类胡萝卜素含量。
4.4 富氢水处理对葡萄果皮总花青素(TAC)、总酚(TPC)、总黄酮(TFC)及红葡萄颜色指数(CIRG)的提升作用
植物体内含有低分子质量的抗氧化代谢物(如总花青素、总酚和总黄酮),这些物质在抵御和清除活性氧、吸引传粉者方面发挥着重要作用(Anić等,2024)。花青素是使果实和花朵呈现红色和蓝色的主要色素。已有研究报道,富氢水可促进植物(如萝卜)中花青素的积累(Zhang等,2018)。
本研究中,富氢水提高了葡萄果皮的总花青素含量(图4C),这可能是通过促进关键生物合成基因的表达实现的(Zhang等,2019)。氢气可通过清除过量活性氧、维持细胞氧化还原平衡来减轻氧化胁迫(Liu等,2015),从而避免活性氧对苯丙烷类和黄酮类生物合成酶(如苯丙氨酸解氨酶(PAL)、查尔酮合成酶(CHS)和咖啡酸-O-甲基转移酶(COMT))的抑制(Liu等,2022)。这种氧化还原平衡可通过维持苯丙烷途径及其他次生代谢物生物合成途径的高效运转,促进总花青素的生成,进而提高酚类、黄酮类和花青素的积累量(Liu等,2022)。
此外,氢气处理还可与一氧化氮(NO)、硫化氢(H₂S)、茉莉酸甲酯(MeJA)、乙烯等其他信号分子协同作用,精细调控次生代谢物的产生(Sana等,2025)。因此,成熟过程中总花青素含量的逐步升高,不仅与色素沉着和保护作用相关,还反映了活性氧稳态和关键生物合成基因转录激活增强所带来的代谢环境改善(Liu等,2022;Sana等,2025)。这一变化模式与桃中的研究结果一致——桃在成熟过程中也会积累总花青素(Li等,2023)。
在所有成熟阶段,富氢水处理组葡萄的总花青素含量均高于对照组,这可能是多种因素共同作用的结果:抑制多酚氧化酶活性,减少总花青素的氧化降解(Zhang等,2023a);增强对氧化胁迫的保护作用,稳定总花青素(Ortiz等,2024);调控次生代谢途径,促进花青素的生物合成与保留——这一现象在香蕉和小白菜中也有观察到(An等,2021;Siddiqui等,2022)。
总酚和总黄酮对减轻果蔬氧化胁迫、降低氧化损伤至关重要(Li等,2024a)。近期研究表明,氢气可提高多种果实(如干苹果(Alwazeer,2018)、草莓(Alwazeer和Özkan,2022))的总酚、总黄酮含量及色素含量。富氢水处理还可通过提高总酚和总黄酮含量来减轻氧化损伤,从而延长黄花菜蕾(Hu等,2021)和荔枝(Yun等,2021)的货架期。这些研究结果共同凸显了富氢水在增强作物抗氧化能力和保持果实品质方面的潜力。
译文:富氢水(HRW)对“火焰无核”葡萄生理生化特性及果实品质的影响相关研究
在本研究对“火焰无核”(Flame Seedless)葡萄藤的观测中,总酚含量(TPC)与总黄酮含量(TFC)在果实成熟过程中逐渐下降(图4D、E),这与果实组织中自然发生的氧化过程一致。已有研究报道葡萄中存在类似的下降趋势(Anić等人,2024),且过熟阶段含量的进一步降低可归因于呼吸跃变增强(Li等人,2023)。这种降低主要由多酚氧化酶(PPO)催化的酶促氧化作用驱动——该酶将酚类化合物转化为氧化衍生物,进而降低其可检测水平(Taghipour等人,2024)。此外,果实成熟期间浆果中的水分积累会促进高分子量酚类物质的水解(Jediyi等人,2019),而初级代谢活性的下降则会限制这些次生代谢物的生物合成(Li等人,2023)。随着时间推移,多酚还可能与其他化合物结合,进一步降低总酚含量(Zhao等人,2024)。环境条件(尤其是温度和光照强度)也会调节酚类物质的生物合成与降解过程(Chen等人,2025)。
值得注意的是,在整个成熟过程中,经富氢水处理(HRW)的葡萄,其总酚含量和总黄酮含量始终高于对照组,在成熟后期尤为显著。这一结果源于两方面作用:一是多酚氧化酶活性降低,二是抗氧化酶(超氧化物歧化酶SOD、过氧化物酶POD、过氧化氢酶CAT)活性提高。这些变化增强了活性氧(ROS)的清除能力,从而保护酚类化合物免受氧化损伤,延缓其降解。该趋势与此前在黄花菜蕾(Hu等人,2021)、香蕉(Siddiqui等人,2022)和小白菜(An等人,2021)中的观测结果一致——在这些研究中,富氢水均通过抑制氧化酶活性减少了酚类物质的流失。
颜色是决定葡萄品质的关键属性,直接影响消费者偏好与市场接受度。本研究中,富氢水处理的葡萄果实着色效果更优,这一点可通过色品指数(CIRG)的升高得到证实(图4F),表明其呈现出更理想的外观表型。这种着色改善与色素代谢的协同调控密切相关,具体包括叶绿素降解以及类胡萝卜素(Car)与花青素的积累。叶绿素降解是果实成熟的标志性特征,标志着果实颜色从绿色向成熟色过渡;而类胡萝卜素与花青素则分别赋予果实黄色、橙色和红色调,不仅强化整体着色效果,还能提供额外的抗氧化益处(Olivares等人,2017)。富氢水处理可同时促进类胡萝卜素积累与花青素生物合成,这些作用共同提升了果实成熟过程中的着色效果,可能为种植者提供更灵活的采收时间选择,以更好地匹配市场需求(Karimi等人,2022)。因此,观测到的果实着色改善,反映了富氢水对色素代谢与抗氧化活性的综合调控作用,凸显了其在优化葡萄外观品质与营养价值方面的作用。
4.5 富氢水对葡萄浆果硬度、可滴定酸度(TA)、pH值、总可溶性糖及可溶性固形物(TSS)的影响
果实品质由多个因素决定,包括成熟度、硬度、甜度、pH值、可溶性固形物、总可溶性糖、可滴定酸度及总抗氧化能力(TAC)。硬度是衡量果实质地与消费者接受度的关键指标,在成熟过程中,由于细胞壁分解与酶活性作用,硬度通常会下降。本研究中,在所有采样时间点(花后44天DB44、花后54天DB54、花后64天DB64、花后72天DB72),经富氢水处理的“火焰无核”葡萄,其硬度均低于对照组(图5A)。这一观测结果与此前研究一致——有研究指出,采前阶段富氢水可通过调节细胞壁成分、提高细胞壁降解酶活性,促进果实软化(Yao等人,2024)。与之相反,采后研究显示,富氢水可通过抑制细胞壁降解维持果实硬度,在秋葵中已观察到这一现象(Dong等人,2023)。这些相反的作用可能源于以下三点:(1)果实的发育阶段;(2)采后富氢水在维持细胞壁完整性方面的作用;(3)采前富氢水对乙烯生物合成的刺激及成熟相关基因的激活。此外,富氢水的抗氧化特性对氧化过程的影响可能因施用时间不同而存在差异(Yao等人,2024)。富氢水浓度也会产生影响,较高浓度会加速果实硬度下降(Li等人,2021)。这些发现凸显了富氢水在果实质地调控中的复杂作用,同时表明需进一步研究其分子机制,尤其是与发育时间、氧化调控及植物激素信号相关的机制。
有机酸是植物代谢的核心物质,对果实风味、甜度及整体品质具有重要影响(Li等人,2023)。本研究中,两种处理组的葡萄在成熟过程中,可滴定酸度均逐渐下降,且富氢水处理组的可滴定酸度显著低于对照组(图5B)。这一结果与樱桃番茄中的研究发现一致——富氢水可降低樱桃番茄的可滴定酸度(Li等人,2024a)。随着成熟过程推进,两组果实的pH值均升高,且富氢水处理组的pH值始终高于对照组(图5C)。pH值是果实品质的指标之一,可反映不同处理组间的代谢差异(Zhong等人,2023)。观测到的可滴定酸度下降与pH值升高,可能归因于成熟过程中有机酸通过呼吸代谢发生降解(Shi等人,2025)。果实成熟是一个耗能过程,依赖糖、氨基酸、有机酸等碳源(Taş等人,2021)。由于葡萄中的淀粉含量较低,成熟过程中有机酸与细胞壁成分是可溶性糖形成的主要来源(Taş等人,2021)。
在整个成熟过程中,两组果实的总可溶性糖均逐渐增加,且富氢水处理组的总可溶性糖含量始终高于对照组(图5D)。在经硝基氢呋喃(HNB)处理的草莓中,也观察到了类似的糖含量升高现象(Li等人,2024a)。这种升高可能与以下因素相关:富氢水能够调控蔗糖与淀粉代谢相关基因(Hou等人,2021);同时,富氢水对叶片生理机能具有积极影响,可提高总叶绿素(TChl)含量、叶绿素荧光(ChlF)参数及抗氧化酶活性,这些作用共同提升了光合效率与同化物生成量(El-Saadony等人,2024)。
果实成熟过程中,可滴定酸度与可溶性固形物通常呈负相关关系:酸度下降时,可溶性固形物含量升高(Subedi等人,2025)。本研究中,两种处理组的葡萄从幼果期到成熟期,可溶性固形物均稳步升高,并在花后74天(DB74)达到峰值,且富氢水处理组的可溶性固形物含量始终高于对照组(图5E)。在经富氢水处理的玉蕈(Hypsizygus marmoreus)中,也观察到了类似趋势(Ali等人,2024)。这种升高可能源于两方面:一是富氢水的抗氧化特性(He等人,2024);二是果实自然成熟过程中的生理变化,如水分流失、复杂碳水化合物分解为水溶性糖(Xiao等人,2024)。
4.6 果实品质改善的潜在机制
富氢水对光系统II(PSII)效率的维持作用(以Fv/Fm、ΦPSII、qP为衡量指标),确保了光化学能量的有效转化,最大限度减少了光抑制,支持碳水化合物持续生成,为果实生长与糖积累提供了保障(Choi等人,2016)。此外,高效的光合作用有助于维持酸糖比平衡,调节果实pH值与可滴定酸度,进而提升风味品质(Xu等人,2022a;Du等人,2024)。
光合活性增强,加之抗氧化酶(SOD、POD、CAT)活性提高,减少了活性氧积累与色素氧化降解,不仅保护了叶绿素与类胡萝卜素,还为酚类化合物、黄酮类物质及花青素的生物合成与积累提供了支持。而这些物质是决定果实颜色、营养价值及采后货架期的关键因素(Arrones等人,2022;Pérez-Labrada与Juárez-Maldonado,2024)。此外,叶绿体超微结构的稳定与能量的高效分配,促进了糖向果实中果皮的持续运输,从而提升了果实甜度与整体质地特性(Miyoshi等人,2021;Xu等人,2022a;Du等人,2024)。
综上,这些结果表明,富氢水通过促进光合作用、调节叶绿素荧光及增强抗氧化防御系统,综合改善了果实的多项品质指标,包括可溶性固形物、可溶性糖、酸度、pH值、叶绿素与类胡萝卜素稳定性、总抗氧化能力、总酚含量、总黄酮含量、硬度、浆果与果穗重量及产量(图6)。这为“火焰无核”葡萄中观测到的富氢水益处提供了全面的机制解释(Miyoshi等人,2021;Arrones等人,2022;Xu等人,2022a;Du等人,2024;Pérez-Labrada与Juárez-Maldonado,2024;Yin等人,2025)。简而言之,富氢水处理下果实品质的改善,可从机制上解释为:光合效率提升、叶绿素荧光稳定及色素组成优化。叶片与果实中叶绿素含量增加,提高了光捕获能力与碳同化效率,进而增加了用于糖积累的光合产物供给,最终使果实可溶性固形物含量升高、甜度增加。
图6 富氢水灌溉对葡萄藤的影响
富氢水(HRW)灌溉对“火焰无核”葡萄藤的生理与生化特性具有显著影响,在叶片与果实中表现尤为明显:
- 叶片(靠近藤蔓处测定指标):超氧化物歧化酶(SOD)、过氧化物酶(POD)、抗坏血酸过氧化物酶(APX)等抗氧化酶活性显著升高,叶绿素(Chl a、Chl b)含量增加;光系统II最大光化学效率(Fv/Fm)、实际光化学效率(ΦPSII)、光化学淬灭系数(qP)、电子传递速率(ETR)等光合效率指标显著改善;多酚氧化酶(PPO)、活性氧(ROS)、非光化学淬灭系数(NPQ)等胁迫相关指标降低,表明叶片生理状态得到增强。
- 果实(靠近果穗处测定指标):富氢水灌溉使果实总抗氧化能力(TAC)、总酚含量(TPC)、总黄酮含量(TFC)、可溶性固形物(TSS)、糖含量、pH值及硬度均有所提高,同时可滴定酸度(TA)降低,体现出果实在口感与营养价值方面的品质改善。
图6 富氢水处理在葡萄浆果发育中的作用机制模型
在浆果发育过程中,富氢水处理通过以下途径发挥作用:
1. 提高抗氧化酶活性,降低活性氧水平,增强葡萄叶片对氧化胁迫的抵御能力;
2. 优化叶绿素荧光参数,改善光合效率;
3. 促进浆果果皮中花青素积累,提升果实着色效果;
4. 增加果实可溶性固形物与糖含量,改善果实品质;
5. 提高浆果鲜重与葡萄产量,表明其对资源分配与果实发育具有积极影响。
综上,富氢水有望实现葡萄产量与果实品质的双重提升。
5 结论
富氢水处理对“火焰无核”葡萄具有多方面的积极影响,可改善其生理与生化特性。施用富氢水通过提高超氧化物歧化酶、过氧化物酶、过氧化氢酶等关键酶的活性,同时减少活性氧积累,显著增强了葡萄叶片的抗氧化防御系统。这一作用进而提升了光合效率——具体表现为叶绿素含量增加、叶绿素荧光参数(Fv/Fm、ΦPSII、ETR、qP)改善、非光化学淬灭系数(NPQ)降低。此外,富氢水处理还对果实品质产生了积极影响,包括促进总抗氧化能力积累、调节总酚与总黄酮含量、提高色品指数(CIRG);同时,果实可溶性固形物与可溶性糖含量增加,浆果与果穗重量提高,最终实现了预估产量的提升。这些发现表明,富氢水处理可通过缓解氧化胁迫、增强光合性能、改善果实整体品质与产量,成为提高葡萄生产效益的有效策略。未来需从分子水平开展进一步研究,以充分阐明富氢水有益作用的潜在机制。
Archiver|手机版|科学网 ( 京ICP备07017567号-12 )
GMT+8, 2025-12-22 12:43
Powered by ScienceNet.cn
Copyright © 2007- 中国科学报社