||
[笔记,科普,数学] 素数(44):黎曼ζ函数前4个非平凡零点千位数值
黎曼ζ函数: Riemann zeta function, Riemann ζ function
平凡零点: trivial zero
非平凡零点: nontrivial zero
临界带: critical strip
素数: prime number
算术基本定理: fundamental theorem of arithmetic
素数计数函数: prime counting function, π(x)
素数定理: prime number theorem
对数积分: logarithmic integral
唯一分解定理: unique factorization theorem
黎曼假设: Riemann Hypothesis
希尔伯特的第 8问题: Hilbert's 8th Problem

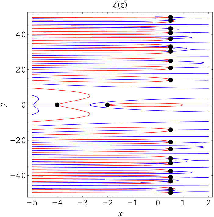
图1 Riemann Zeta Function nontrivial Zeros,前5个

图2 Riemann Zeta Function Zeros,大约前10个
https://mathworld.wolfram.com/images/eps-svg/RiemannZetaZerosContoursReIm_850.svg
前4个黎曼Zeta函数的非平凡零点:
14.134725141734693790457251983562470270784257115699243175685567460149
9634298092567649490103931715610127792029715487974367661426914698822545
8250536323944713778041338123720597054962195586586020055556672583601077
3700205410982661507542780517442591306254481978651072304938725629738321
5774203952157256748093321400349904680343462673144209203773854871413783
1735639699536542811307968053149168852906782082298049264338666734623320
0787587617920056048680543568014444246510655975686659032286865105448594
4432062407272703209427452221304874872092412385141835146054279015244783
3835425453344004487936806761697300819000731393854983736215013045167269
6838920039176285123212854220523969133425832275335164060169763527563758
9695376749203361272092599917304270756830879511844534891800863008264831
2516911271068291052375961797743181517071354531677549515382893784903647
4709727019948485532209253574357909226125247736595518016975233461213977
3160053541259267474557258778014726098308089786007125320875093959979666
60675378381214891908864977277554420656532052405
21.022039638771554992628479593896902777334340524902781754629520403587
5985860688907997136585141801514195337254736424758913838650686037313212
6211882162437574166925654471184407119403130672564622779261488733743555
2059147397132822662470789076753814440726466841906077127569834054514028
4399232225367882682361112892700575856532731588666042140009071151080090
0697200279987110175847519632216496865900574811247938691638351837234278
0734490239101038504575641215958399921001621834669113158721748057170315
7935817977249632724076992211256634415618236051804767144227146555596737
8124776500455584090864429169775704638165517749644524987674237036645657
7704837992029270664315837893238009151146858070430828784147861992007607
7604774841407827389070038957604332451278278637209093037972518237091808
0423066673834379902282515828788761761266187138296785874562376500666242
0780814517636976391374340593412797549697276850306200263121273830462939
3025654143823744333440220248004533438830728387312602306547534837868011
82789317520010690056016544152811050970637593228
25.010857580145688763213790992562821818659549672557996672496542006745
0920984416442778402382245580624407504710461490557783782998515227308011
8813393358267168958722516981043873551292849372719199462297591267547869
6628856807735070039957723114023284276873669399873219586487752250099192
4534749762085766123345997354435583675313812659977645290374484969947911
3789772206619930718997232254973227163005159161921279774087660006729149
8308127930667027350849516001984670542469491796695225514179319665391273
4145216731602337377544894146417119378489574997514110658562879690076709
8628272186495372963239258403491387143048933588946114958624239036855617
5189359878735685683089271444468756375337019130417377142535868018531867
8963753268686326607197669205329533478506707982877118674944281439725425
5165319679779912722684458969279408599507227960513612021369680647653397
6269691774251249095257214003855886494422730332216278403670865759210329
0789866156020484275192735141927597017849166084411074821559128310749314
22640278339513428773126644105168571016344289902
30.424876125859513210311897530584091320181560023715440180962146036993
3293893332779202905842939020891106309917115273954991176332266711863193
9180722595671424334115590685468136558072417349844724959319040811632315
0197023484841630221400985620739718392018133021868063298225719752250023
7468561369747124964426229779245040574906715345727886515065160832468797
0628177810457777225878919237386290011276030973568089049253006461289272
7530919447902003589389819427495511323917384271638108400499211198006924
3871887296959700029100054774270689081684625934838507707996560373392659
1631785900558390596815720730796252620549400959515892318195507003120438
5472912847073737931700052460469858203860095171051337905912538151203525
6495480686539474573064428698419890124742762009249476736375814720332208
6687601457265777407119672734350479234503516187981145579444869326121291
4417916583251901867849867644777729648215979712565041026341481014213352
4013338332668144856154491448771220118284070765164762211312808070237683
31017097022722833154052850963731871619582513781
以前的《科学网》相关博文链接:
[1] 2026-04-23 15:56,[图片,科普,数学] 素数(43):黎曼ζ函数在 Critical Line 附近的数值 Wolfram 仿真之一
https://blog.sciencenet.cn/blog-107667-1531750.html
[2] 2026-04-22 17:12,[图片,科普,数学] 素数(42):黎曼ζ函数零点与素数计数函数π(x)的 Wolfram 仿真之一 (关联:端点效应)
https://blog.sciencenet.cn/blog-107667-1531595.html
[3] 2026-04-21 16:59,[图片,科普,数学]素数(41):黎曼ζ函数 Riemann zeta function 的零点之三
https://blog.sciencenet.cn/blog-107667-1531430.html
[4] 2026-04-19 20:34,[图片,科普,数学] 素数(39):黎曼ζ函数 Riemann zeta function 的零点之二
https://blog.sciencenet.cn/blog-107667-1531058.html
[5] 2026-04-18 21:05,[图片,科普,数学] 素数(38):黎曼ζ函数 Riemann zeta function 的零点之一
https://blog.sciencenet.cn/blog-107667-1530979.html
[6] 2026-04-08 22:29,[笔记,科普,数学] 素数(28):素数计数函数 prime counting function <1027 (全网址)
https://blog.sciencenet.cn/blog-107667-1529524.html
[7] 2026-03-27 21:04,[笔记,科普,数学] 素数(19):俄语资料的阅读摘录
https://blog.sciencenet.cn/blog-107667-1527694.html
[8] 2026-04-11 16:49,[观察,科普,数学] 素数(31):黎曼 Riemann 素数计数函数“端点效应 end effects”的两个特点
—— 黎曼假设 Riemann Hypothesis、黎曼素数计数函数 Riemann Prime Counting Function,在进行数值计算时,也会遇到“端点效应 end effects”吗?这是“周期性分解”的共同问题吗?
https://blog.sciencenet.cn/blog-107667-1529947.html
感谢您的指教!
感谢您指正以上任何错误!
感谢您提供更多的相关资料!
Archiver|手机版|科学网 ( 京ICP备07017567号-12 )
GMT+8, 2026-5-17 11:45
Powered by ScienceNet.cn
Copyright © 2007- 中国科学报社