||
文章简介
武汉工程大学黄锦雄、徐雄等在Materials Reports: Solidwaste and Ecomaterials发表最新研究(Sustainable recycling of phosphogypsum and recycled concrete aggregate into base course for pavement: Mix design and durability evaluation)。探讨利用磷石膏(PG)与再生混凝土骨料(RCA)制备路面基层材料的技术方法,并通过添加功能性材料改善其综合性能,以推动固废资源在路面工程中的应用。
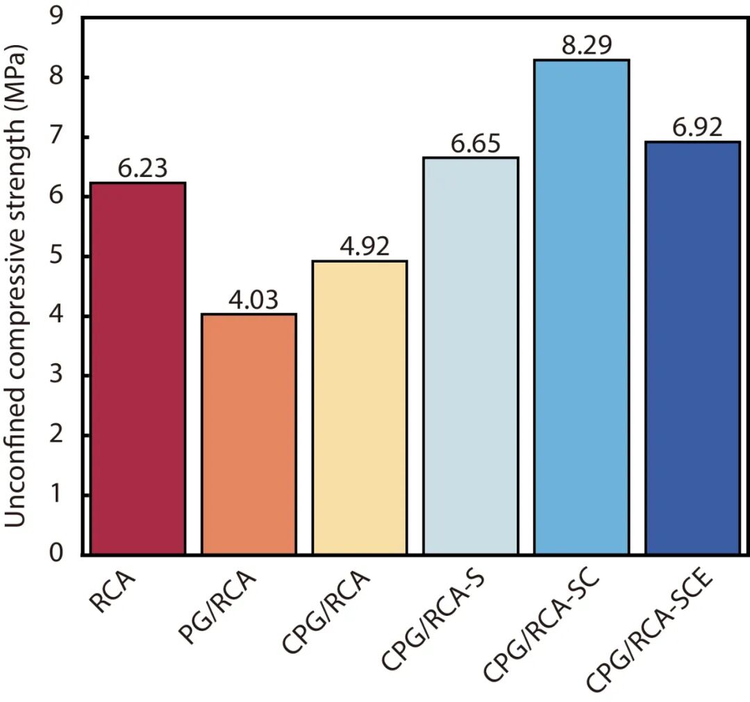
PG和RCA作为天然集料的替代品用于路面基层材料时,存在水稳定性差、耐久性不足等问题。针对这一局限,研究团队引入九水偏硅酸钠(SMN)、硬脂酸钙乳液(CSE)和丁苯橡胶乳液(ESBR)作为添加剂,对煅烧磷石膏(CPG)/RCA复合材料进行改性,并通过干湿循环、冻融循环、干缩及疲劳试验对材料性能进行评估。结果表明,添加SMN和CSE后,CPG/RCA-SC的28 d无侧限抗压强度提升至8.29 MPa;经过5次冻融循环,其残余抗压强度比达72%,高于PG/RCA的36.7%和CPG/RCA的50.6%。此外,添加剂的复合使用使材料的180 d干燥收缩应变从RCA的1172.5×10⁻6降低至CPG/RCA-SCE的570×10⁻6,疲劳性能参数k值从PG/RCA的1.083提高至CPG/RCA-SCE的418.287。
该研究表明,复合添加剂能够改善材料基体结构,提升PG/RCA基层的耐久性与水稳定性。这一方法可为工业固废的资源化利用提供技术参考,也为路面基层材料的工程应用积累了实验依据。后续研究需结合长期性能测试和现场验证,进一步推动相关技术的工程实施。

文章信息
首页展示

亮点图片

Fig. 1 The fabrication method of the specimens.

Fig. 2 Loading method and process of fatigue test: (a) sample size, (b) sample loading, (c) sample destruction.

Fig. 3 Strength variation of 7-day-cured CPG/RCA base course materials with dry-wet cycles.

Fig. 4 Effects of treatment methods on the 28-day unconfined compressive strength of CPG/RCA base course material.

Fig. 5 Effect of freeze-thaw cycle on the unconfined compressive strength of CPG/RCA base course materials after 28-day curing.

Fig. 6 Fitted fatigue curves showing the effect of treatment methods on fatigue life of CPG/RCA base course materials.
收录卷次
2026年第2卷
引用格式
J. Huang, X. Xu, K. R. Alam, et al. Sustainable recycling of phosphogypsum and recycled concrete aggregate into base course for pavement: Mix design and durability evaluation. Materials Reports: Solidwaste and Ecomaterials, 2026, 2: 9520023. https://doi.org/10.26599/MRSE.2026.9520023

扫码或点击文末“阅读全文”获取全文
https://www.sciopen.com/article/10.26599/MRSE.2026.9520023
作者简介

黄锦雄,武汉工程大学土木工程与建筑学院硕士研究生,主要研究方向为固废资源化路用与道路工程材料力学性能与耐久性等。

徐雄,博士,曾于香港理工大学从事博士后研究(2018—2020),现为武汉工程大学土木工程与建筑学院教授、硕士生导师,湖北省智慧交通研究院有限公司专家库成员,教育部学位与研究生教育发展中心论文评审专家。主要研究方向为无机固废(磷石膏、矿渣等)资源化路用、有机固废(废橡胶、废塑料等)高值化路用、沥青路面养护及沥青老化与再生技术等。主持国家自然科学基金、湖北省自然科学基金、湖北省教育厅科研项目、湖北省建设科技项目及企业委托横向项目等10余项,同时作为核心成员参与湖北省科技厅国际合作项目、重点研发计划项目等。已发表学术论文60余篇,其中中国科学院一区SCI论文18篇,热点/高被引论文1篇,入选交通运输重大科技创新成果库(论文)1项;申请专利10余件,获授权4件并转让1件。担任Journal of Cleaner Production、Construction and Building Materials、Fuel、Journal of Materials in Civil Engineering等50余本学术期刊审稿人,多次获得优秀审稿人称号;任Materials Reports: Solidwaste and Ecomaterials、《交通科学与工程》和《市政技术》等期刊青年编委。
关于MRSE

Materials Reports: Solidwaste and Ecomaterials(《材料导报:固废与生态材料》,简称MRSE),2025年正式创刊,是《材料导报》期刊社创办的第二本英文姊妹刊,聚焦于固体废弃物处理与资源化利用及生态材料。由中国矿业大学(北京)王栋民教授担任创刊主编,香港理工大学Chi Sun Poon教授、深圳大学崔宏志教授、同济大学张祖华教授担任共同主编;由清华大学出版社SciOpen平台提供出版服务,采用开放获取出版模式。
报道范围 Scope
MRSE致力于报道各种固体废弃物的原创性研究和前沿应用,传播创新理念,助力建设绿色生态社会。期刊报道范围主要涉及(但不限于):
◆ Construction and demolition wastes(建筑及拆卸废物)
◆ Mining solid wastes(矿山固体废弃物)
◆ Coal combustion wastes(燃煤废物)
◆ Solid wastes from metallurgical industries(冶金工业产生的固体废物)
◆ Industrial hazardous solid wastes(工业危险固体废物)
◆ Solid wastes from biomass and renewable energy(生物质及新能源固废)
◆ Agriculture solid wastes(农业固体废弃物)
◆ Ecomaterials (生态材料)
期刊特色 Feature
★ 单篇录用快速上线
★ 全文开放获取
★ 免收文章处理费(免APC)
★ 致力于打造一流期刊
联系信息 Contact

期刊主页



One of the Materials Reports journal series
Tel: 023-67039611 (编辑部)
E-mail: mrse@mater-rep.com(编辑部)
Archiver|手机版|科学网 ( 京ICP备07017567号-12 )
GMT+8, 2026-5-19 20:05
Powered by ScienceNet.cn
Copyright © 2007- 中国科学报社