||
为了科学地解决实际问题,我们必须经常“回过头来”重新研究基本理论,因为只有依靠深刻的理论分析,才能:(1)在表面的混乱中把握规律性;(2)区分本质与非本质现象;(3)预见事变的发展方向。
—— 一位真正的大专家
用清晰的思想代替盲目的计算。
Replacing blind calculations by clear ideas.
—— 狄利克雷(Johann Peter Gustav Lejeune Dirichlet)
[打听,科普,数学] 素数(6):不用黎曼猜想的“素数计数函数”2个估计
素数计数函数: prime counting function
素数定理: prime number theorem
黎曼猜想: Riemann Hypothesis
对于正数 n,π(n) 表示“小于或等于 less than or equal to ” n 的素数的个数。
一、两个不需要“假定黎曼猜想正确”的“素数计数函数”估计

图1 π without Riemann hypothesis 23
https://mathworld.wolfram.com/images/equations/PrimeNumberTheorem/Inline46.svg

图2 π without Riemann hypothesis 24
https://mathworld.wolfram.com/images/equations/PrimeNumberTheorem/Inline49.svg
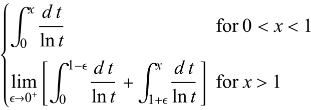
上面,Li(x),或者写为 li(x),是高斯的估计,即对数积分 Logarithmic Integral =

二、打听:这两个估计的效果
(1)已经证明了它们是正确性了吗?
(2)哪里有它们误差的数值仿真结果?
参考资料:
[1] 科普中国,2021-12-31,素数分布
https://www.kepuchina.cn/article/articleinfo?business_type=100&classify=0&ar_id=315801
素数分布是数论中研究素数性质的重要课题。素数或称质数,是指一个大于1的整数,除1和它本身外,不能被其他的正整数所整除。研究各种各样的素数分布状况,一直是数论中最重要和最有吸引力的中心问题之一。关于素数分布性质,通过数值观察、计算和初步研究发现,素数分布是以黎曼公式为中心,高斯公式为上限的正态分布,这在现在来说是经验公式,待数学家给出严格证明之后才能成为数学定理。
[2] 科普中国,2021-12-31,黎曼假设
https://www.kepuchina.cn/article/articleinfo?business_type=100&classify=0&ar_id=289304
1901年Helge von Koch指出,黎曼猜想与强条件的素数定理等价。
[3] bilibili,2022-03-14 14:11,黎曼猜想
https://www.bilibili.com/read/cv15653584/?opus_fallback=1
大素数间隙猜想
另一个猜想是大素数间隙猜想。哈拉尔德·克拉梅尔证明了:假设黎曼猜想成立,素数 p 与其后继者之间的间隙将会为。平均来说,该间隙的阶仅为O(ln(p)),而根据数值计算结果,它的增长率并不似黎曼猜想所预测的那么大。 作者:Swicochev
[4] 图灵编辑部,遇见数学,2025-06-25,牛津大学数学教授索托伊 :为什么说黎曼猜想是“危险的”?
如果RH被证实,我们对素数分布的精细结构(如相邻素数的间隔、素数在各种序列中的出现规律等)的理解将达到一个前所未有的高度;如果RH被证伪,意味着素数分布可能比基于RH预测的更加“无序”或遵循不同的深层规律,这将迫使数学家寻找新的理论框架来描述素数。
[5] 科普中国,2021-09-22,最高楼·孪生素数猜想
https://www.kepuchina.cn/article/articleinfo?business_type=100&classify=0&ar_id=77321
孪生素数猜想孪生素数猜想是一个关于素数分布的著名数学猜想,提出存在无穷多对相差为2的素数(即孪生素数)。尽管数值计算表明这类素数对不断出现,但至今没有严格的数学证明。它是希尔伯特第八问题的一部分,与黎曼猜想并列为数论中的核心难题之一。该猜想反映了人们对素数随机性与结构性的深层探索。
以前的《科学网》相关博文链接:
[1] 2026-03-09 22:12,[笔记,科普,数学] 素数(5):黎曼猜想 Riemann Hypothesis
https://blog.sciencenet.cn/blog-107667-1525092.html
[2] 2026-03-08 21:01,[笔记,科普,数学] 素数(4):素数定理,黎曼两个估计的误差
https://blog.sciencenet.cn/blog-107667-1524948.html
[3] 2026-03-07 21:01,[笔记,科普,数学] 素数(3):素数定理,高斯两个估计的误差
https://blog.sciencenet.cn/blog-107667-1524859.html
[4] 2026-03-05 21:30,[笔记,科普,数学] 素数(2):素数定理 prime number theorem 之一
https://blog.sciencenet.cn/blog-107667-1524561.html
[5] 2026-03-04 15:36,[笔记,科普,数学] 素数(1):算术基本定理 fundamental theorem of arithmetic
https://blog.sciencenet.cn/blog-107667-1524368.html
[6] 2024-11-17 22:51,[数学文化,客观派,讨论] 欧几里得对“素数有无穷多个”研究的有效性
https://blog.sciencenet.cn/blog-107667-1460458.html
[7] 2024-11-10 22:51,[数学文化,笔记] 素数有无穷多个之九类证明
https://blog.sciencenet.cn/blog-107667-1459433.html
[8] 2024-11-02 22:49,[笔记,科普,资料] 素数 prime number 入门
https://blog.sciencenet.cn/blog-107667-1458252.html
[9] 2013-07-23 11:51,孪生素数:相关介绍和链接
https://blog.sciencenet.cn/blog-107667-710546.html
[10] 2024-10-22 22:21,[打听,笔记] 推导符号公式的局限性:从数学、心理学到哲学
https://blog.sciencenet.cn/blog-107667-1456506.html
[11] 2024-05-19 22:49,[羡慕,讨论,物理] 仅推公式就能得到成果的人
https://blog.sciencenet.cn/blog-107667-1434748.html
[12] 2026-01-21 20:45,[往日(22)] 外国 Science 文献给出“人类最高成就”者的部分统计原因(相关性):宽基础、重积累
https://blog.sciencenet.cn/blog-107667-1519414.html
[13] 2026-03-06 01:24,[资源,科普,数学] 素数表(质数表,小于 200000) list of primes, prime numbers
https://blog.sciencenet.cn/blog-107667-1524570.html
感谢您的指教!
感谢您指正以上任何错误!
感谢您提供更多的相关资料!
Archiver|手机版|科学网 ( 京ICP备07017567号-12 )
GMT+8, 2026-3-11 01:04
Powered by ScienceNet.cn
Copyright © 2007- 中国科学报社