||
为了科学地解决实际问题,我们必须经常“回过头来”重新研究基本理论,因为只有依靠深刻的理论分析,才能:(1)在表面的混乱中把握规律性;(2)区分本质与非本质现象;(3)预见事变的发展方向。
—— 一位真正的大专家
用清晰的思想代替盲目的计算。
Replacing blind calculations by clear ideas.
—— 狄利克雷(Johann Peter Gustav Lejeune Dirichlet)
[笔记,科普,数学] 素数(4):素数定理,黎曼两个估计的误差
素数计数函数: prime counting function
素数定理: prime number theorem
黎曼: Georg Friedrich Bernhard Riemann, 1826-09-17 ~ 1866-07-20, 39

图1 黎曼
https://cdn.britannica.com/76/9576-050-E38B0E19/Bernhard-Riemann-lithograph-portrait-1863.jpg
对于正数 n,π(n) 表示“小于或等于 less than or equal to ” n 的素数的个数。
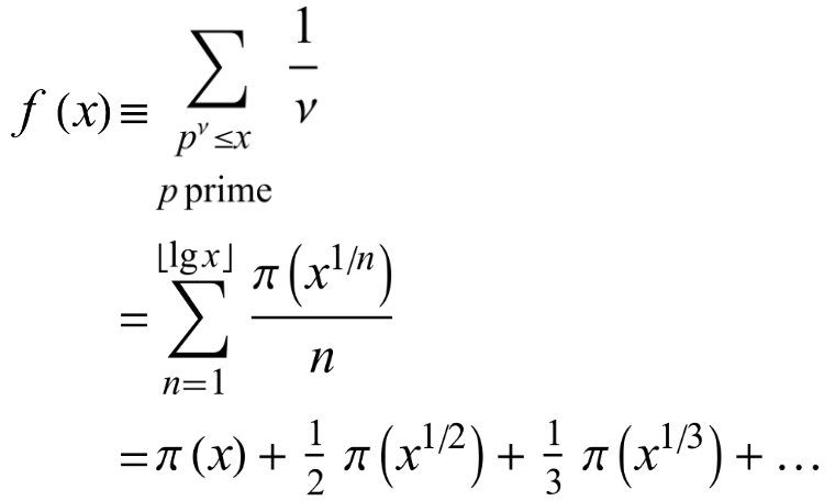
一、素数定理,黎曼的两个估计 f(x) 和 R(x)
2.1 黎曼的 f(x)

图2 黎曼的 f(x) 公式

图3 黎曼 f(x) 对照 π(x)
https://mathworld.wolfram.com/images/eps-svg/RiemannPrimeCountingFunction_1000.svg
2.2 黎曼的 R(x)

这里,μ是莫比乌斯函数( Möbius function)

以及,li(n),或者写为 Li(n), 是高斯的估计,即对数积分 Logarithmic Integral =

图4 黎曼的 R(x) 公式

图5 黎曼 R(x) 对照 π(x)
https://mathworld.wolfram.com/images/eps-svg/RiemannPrimeNumberFormula_1000.svg
二、素数定理,黎曼估计 R(x) 的误差(附有高斯的Li(x))
| Sloane | A057794 | A057752 |
| 1 | 1 | -2 |
| 2 | 1 | -5 |
| 3 | 0 | -10 |
| 4 | 2 | -17 |
| 5 | -5 | -38 |
| 6 | 29 | -130 |
| 7 | 88 | -339 |
| 8 | 97 | -754 |
| 9 | -79 | -1701 |
| 10 | -1828 | -3104 |
| 11 | -2318 | -11588 |
| 12 | -1476 | -38263 |
| 13 | -5773 | -108971 |
| 14 | -19200 | -314890 |
| 15 | 73218 | -1052619 |
| 16 | 327052 | -3214632 |
| 17 | -598255 | -7956589 |
| 18 | -3501366 | -21949555 |
| 19 | 23884333 | -99877775 |
| 20 | -4891825 | -222744644 |
| 21 | -86432204 | -597394254 |
| 22 | -127132665 | -1932355208 |
参考资料:
[1] 科普中国,2021-12-31,素数定理
https://www.kepuchina.cn/article/articleinfo?business_type=100&classify=0&ar_id=289518
[2] 科普中国,2021-12-31,素数分布
https://www.kepuchina.cn/article/articleinfo?business_type=100&classify=0&ar_id=315801
素数分布是数论中研究素数性质的重要课题。素数或称质数,是指一个大于1的整数,除1和它本身外,不能被其他的正整数所整除。研究各种各样的素数分布状况,一直是数论中最重要和最有吸引力的中心问题之一。关于素数分布性质,通过数值观察、计算和初步研究发现,素数分布是以黎曼公式为中心,高斯公式为上限的正态分布,这在现在来说是经验公式,待数学家给出严格证明之后才能成为数学定理。
以前的《科学网》相关博文链接:
[1] 2026-03-07 21:01,[笔记,科普,数学] 素数(3):素数定理,高斯两个估计的误差
https://blog.sciencenet.cn/blog-107667-1524859.html
[2] 2026-03-05 21:30,[笔记,科普,数学] 素数(2):素数定理 prime number theorem 之一
https://blog.sciencenet.cn/blog-107667-1524561.html
[3] 2026-03-04 15:36,[笔记,科普,数学] 素数(1):算术基本定理 fundamental theorem of arithmetic
https://blog.sciencenet.cn/blog-107667-1524368.html
[4] 2024-11-17 22:51,[数学文化,客观派,讨论] 欧几里得对“素数有无穷多个”研究的有效性
https://blog.sciencenet.cn/blog-107667-1460458.html
[5] 2024-11-10 22:51,[数学文化,笔记] 素数有无穷多个之九类证明
https://blog.sciencenet.cn/blog-107667-1459433.html
[6] 2024-11-02 22:49,[笔记,科普,资料] 素数 prime number 入门
https://blog.sciencenet.cn/blog-107667-1458252.html
[7] 2013-07-23 11:51,孪生素数:相关介绍和链接
https://blog.sciencenet.cn/blog-107667-710546.html
[8] 2024-10-22 22:21,[打听,笔记] 推导符号公式的局限性:从数学、心理学到哲学
https://blog.sciencenet.cn/blog-107667-1456506.html
[9] 2024-05-19 22:49,[羡慕,讨论,物理] 仅推公式就能得到成果的人
https://blog.sciencenet.cn/blog-107667-1434748.html
[10] 2026-01-21 20:45,[往日(22)] 外国 Science 文献给出“人类最高成就”者的部分统计原因(相关性):宽基础、重积累
https://blog.sciencenet.cn/blog-107667-1519414.html
[11] 2026-03-06 01:24,[资源,科普,数学] 素数表(质数表,小于 200000) list of primes, prime numbers
https://blog.sciencenet.cn/blog-107667-1524570.html
感谢您的指教!
感谢您指正以上任何错误!
感谢您提供更多的相关资料!
Archiver|手机版|科学网 ( 京ICP备07017567号-12 )
GMT+8, 2026-5-17 08:30
Powered by ScienceNet.cn
Copyright © 2007- 中国科学报社