||
为了科学地解决实际问题,我们必须经常“回过头来”重新研究基本理论,因为只有依靠深刻的理论分析,才能:(1)在表面的混乱中把握规律性;(2)区分本质与非本质现象;(3)预见事变的发展方向。
—— 一位真正的大专家
用清晰的思想代替盲目的计算。
Replacing blind calculations by clear ideas.
—— 狄利克雷(Johann Peter Gustav Lejeune Dirichlet)
[笔记,科普,数学] 素数(3):素数定理,高斯两个估计的误差
素数计数函数: prime counting function
素数定理: prime number theorem
高斯: Johann Friedrich Carl Gauss, 1777-04-30 ~ 1855-02-23, 77

图1 高斯
https://cdn.britannica.com/27/190027-050-A9A35298/Carl-Friedrich-Gauss-engraving.jpg
一、素数定理,高斯两个估计
https://blog.sciencenet.cn/blog-107667-1524561.html

二、素数定理,高斯两个估计的误差

图2 unnamed-chunk-8-1.png

图3 primedist.webp
https://thatsmaths.com/wp-content/uploads/2014/02/primedist.jpg?w=1024

图4 81a349fc-3495-4a59-816b-5e4570210718_1035x669.jpg

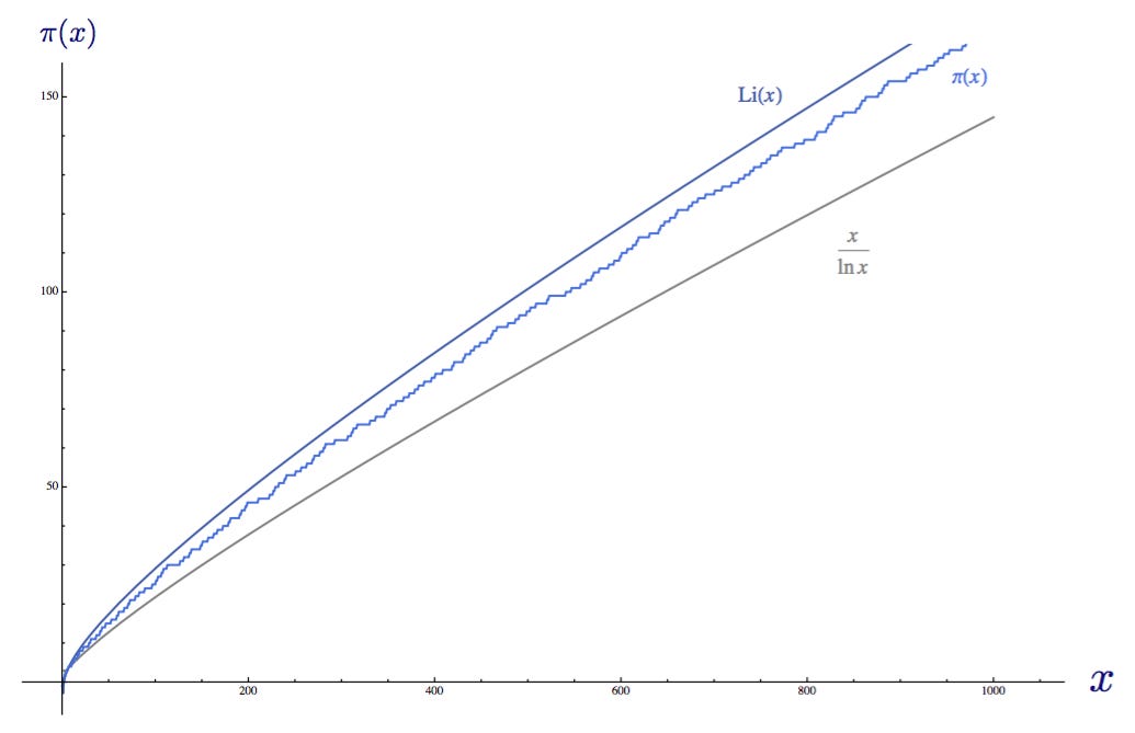
图5 高斯 Li(x)-pi(x).jpg
https://mathworld.wolfram.com/images/eps-svg/PrimeCountingFunctions_650.svg

图6 GaussEst.jpg
https://mathshistory.st-andrews.ac.uk/Diagrams/GaussEst.gif

图7 LegGaussEst.jpg
https://mathshistory.st-andrews.ac.uk/Diagrams/LegGaussEst.gif

图8 PNTBoundsPlot3-1024x1015.png
https://woosterphysicists.scotblogs.wooster.edu/files/2025/05/PNTBoundsPlot3-1024x1015.png
三、随感:大器,越来越会晚成
请看:
(1)2026-01-21 20:45,[往日(22)] 外国 Science 文献给出“人类最高成就”者的部分统计原因(相关性):宽基础、重积累
https://blog.sciencenet.cn/blog-107667-1519414.html
(2)科学家做出重要成果的年龄越来越大
2025-08-30 19:27,[资料,科普] 诺贝尔奖的滞后期越来越长,将威胁、削弱诺贝尔奖作为科学上最受人尊敬的奖项地位
https://blog.sciencenet.cn/blog-107667-1499739.html
参考资料:
[1] 科普中国,2021-12-31,素数定理
https://www.kepuchina.cn/article/articleinfo?business_type=100&classify=0&ar_id=289518
2] 科普中国,2021-12-31,素数分布
https://www.kepuchina.cn/article/articleinfo?business_type=100&classify=0&ar_id=315801
素数分布是数论中研究素数性质的重要课题。素数或称质数,是指一个大于1的整数,除1和它本身外,不能被其他的正整数所整除。研究各种各样的素数分布状况,一直是数论中最重要和最有吸引力的中心问题之一。关于素数分布性质,通过数值观察、计算和初步研究发现,素数分布是以黎曼公式为中心,高斯公式为上限的正态分布,这在现在来说是经验公式,待数学家给出严格证明之后才能成为数学定理。
[3] Weisstein, Eric W. "Prime Counting Function." From MathWorld--A Wolfram Resource
https://mathworld.wolfram.com/PrimeCountingFunction.html
以前的《科学网》相关博文链接:
[1] 2026-03-05 21:30,[笔记,科普,数学] 素数(2):素数定理 prime number theorem 之一
https://blog.sciencenet.cn/blog-107667-1524561.html
[2] 2026-03-04 15:36,[笔记,科普,数学] 素数(1):算术基本定理 fundamental theorem of arithmetic
https://blog.sciencenet.cn/blog-107667-1524368.html
[3] 2024-11-17 22:51,[数学文化,客观派,讨论] 欧几里得对“素数有无穷多个”研究的有效性
https://blog.sciencenet.cn/blog-107667-1460458.html
[4] 2024-11-10 22:51,[数学文化,笔记] 素数有无穷多个之九类证明
https://blog.sciencenet.cn/blog-107667-1459433.html
[5] 2024-11-02 22:49,[笔记,科普,资料] 素数 prime number 入门
https://blog.sciencenet.cn/blog-107667-1458252.html
[6] 2013-07-23 11:51,孪生素数:相关介绍和链接
https://blog.sciencenet.cn/blog-107667-710546.html
[7] 2024-10-22 22:21,[打听,笔记] 推导符号公式的局限性:从数学、心理学到哲学
https://blog.sciencenet.cn/blog-107667-1456506.html
[8] 2024-05-19 22:49,[羡慕,讨论,物理] 仅推公式就能得到成果的人
https://blog.sciencenet.cn/blog-107667-1434748.html
[9] 2026-01-21 20:45,[往日(22)] 外国 Science 文献给出“人类最高成就”者的部分统计原因(相关性):宽基础、重积累
https://blog.sciencenet.cn/blog-107667-1519414.html
[10] 2026-03-06 01:24,[资源,科普,数学] 素数表(质数表,小于 200000) list of primes, prime numbers
https://blog.sciencenet.cn/blog-107667-1524570.html
感谢您的指教!
感谢您指正以上任何错误!
感谢您提供更多的相关资料!
Archiver|手机版|科学网 ( 京ICP备07017567号-12 )
GMT+8, 2026-4-19 23:10
Powered by ScienceNet.cn
Copyright © 2007- 中国科学报社