liuzhiming69的个人博客分享 http://blog.sciencenet.cn/u/liuzhiming69

博文

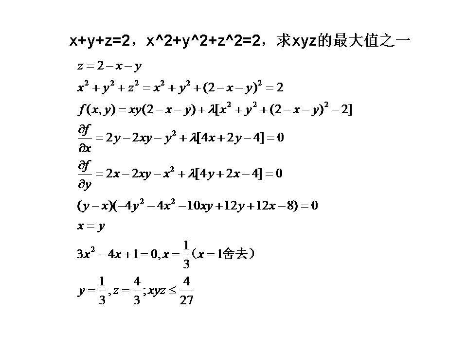
x+y+z=2,x^2+y^2+z^2=2,求xyz的最大值之一

已有 513 次阅读 2026-1-28 07:38 |系统分类:科研笔记

演示文稿1.jpg



https://blog.sciencenet.cn/blog-3556836-1520170.html

上一篇:x+y+z=2,x^2+y^2+z^2=2,求xyz的最大值
下一篇:x+y+z=2,x²+y²+z²=2,求 xyz 最大值之二
收藏 IP: 121.28.181.*| 热度|

0

该博文允许注册用户评论 请点击登录 评论 (0 个评论)

数据加载中...
扫一扫,分享此博文

Archiver|手机版|科学网 ( 京ICP备07017567号-12 )

GMT+8, 2026-4-23 11:43

Powered by ScienceNet.cn

Copyright © 2007- 中国科学报社

返回顶部