liuzhiming69的个人博客分享 http://blog.sciencenet.cn/u/liuzhiming69

博文

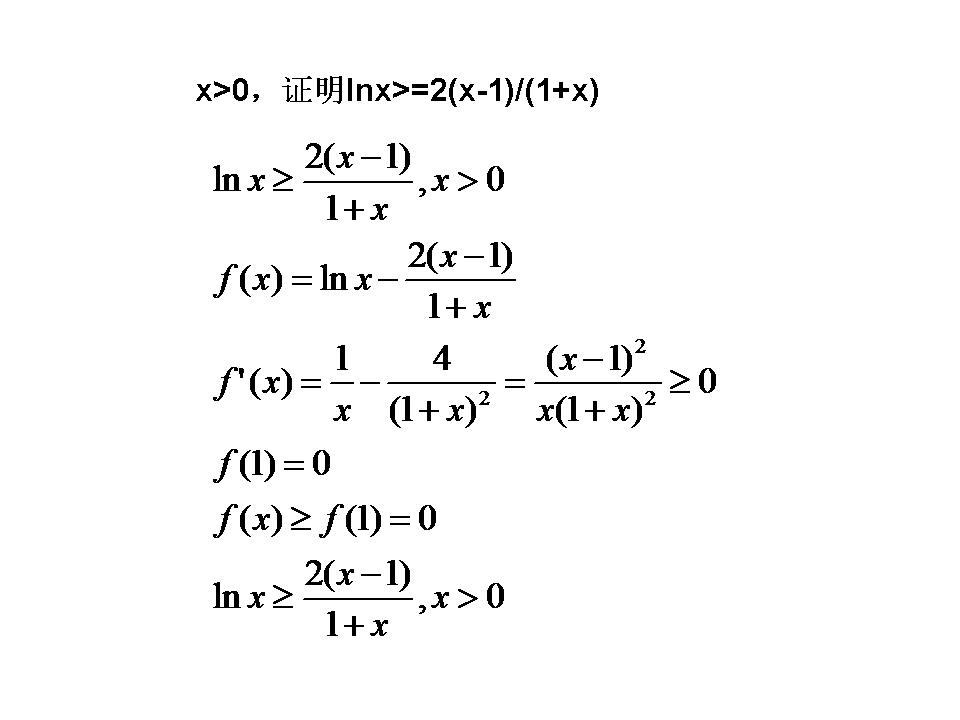
x>0,证明lnx>=2(x-1)/(1+x)

已有 371 次阅读 2026-4-23 06:20 |系统分类:科研笔记

演示文稿1.jpg



https://blog.sciencenet.cn/blog-3556836-1531655.html

上一篇:如何优雅地证明 ∑i³=(∑i)²
下一篇:为啥dxdy=rdrdθ
收藏 IP: 121.28.181.*| 热度|

0

该博文允许注册用户评论 请点击登录 评论 (1 个评论)

数据加载中...

Archiver|手机版|科学网 ( 京ICP备07017567号-12 )

GMT+8, 2026-5-30 19:44

Powered by ScienceNet.cn

Copyright © 2007- 中国科学报社

返回顶部