liuzhiming69的个人博客分享 http://blog.sciencenet.cn/u/liuzhiming69

博文

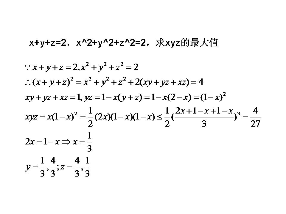
x+y+z=2,x^2+y^2+z^2=2,求xyz的最大值

已有 577 次阅读 2026-1-28 06:39 |系统分类:科研笔记

演示文稿1.jpg



https://blog.sciencenet.cn/blog-3556836-1520164.html

上一篇:超级时空相对论对数学的贡献之一
下一篇:x+y+z=2,x^2+y^2+z^2=2,求xyz的最大值之一
收藏 IP: 121.28.181.*| 热度|

1 尤明庆

该博文允许注册用户评论 请点击登录 评论 (0 个评论)

数据加载中...
扫一扫,分享此博文

Archiver|手机版|科学网 ( 京ICP备07017567号-12 )

GMT+8, 2026-4-23 13:24

Powered by ScienceNet.cn

Copyright © 2007- 中国科学报社

返回顶部