liuzhiming69的个人博客分享 http://blog.sciencenet.cn/u/liuzhiming69

博文

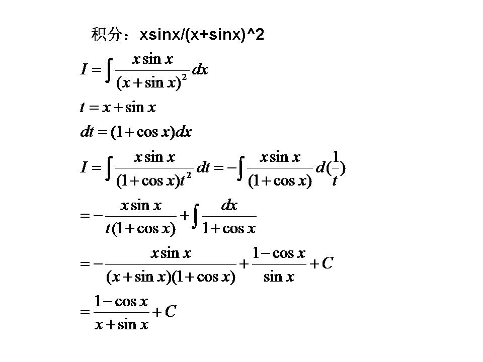
积分:xsinx/(x+sinx)^2

已有 720 次阅读 2026-1-16 17:11 |系统分类:科研笔记

演示文稿1.jpg



https://blog.sciencenet.cn/blog-3556836-1518737.html

上一篇:x³求导是3x²,把x拆成a+b后再求导,为啥就不对了?
下一篇:a+b=12,a、b>0,求a^b最大值
收藏 IP: 121.28.181.*| 热度|

0

该博文允许注册用户评论 请点击登录 评论 (0 个评论)

数据加载中...
扫一扫,分享此博文

Archiver|手机版|科学网 ( 京ICP备07017567号-12 )

GMT+8, 2026-4-25 18:51

Powered by ScienceNet.cn

Copyright © 2007- 中国科学报社

返回顶部