liuzhiming69的个人博客分享 http://blog.sciencenet.cn/u/liuzhiming69

博文

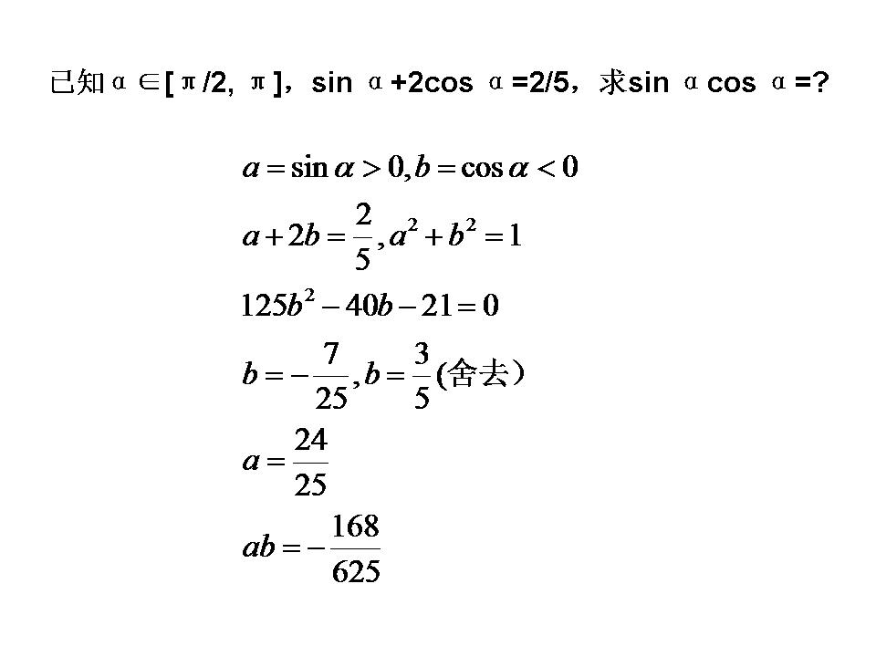
已知α∈[π/2, π],sin α+2cos α=2/5,求sin αcos α=?

已有 676 次阅读 2025-12-15 07:27 |系统分类:科研笔记

演示文稿1.jpg



https://blog.sciencenet.cn/blog-3556836-1514305.html

上一篇:已知正数 x、y 满足 x²+y²=1,如何求 (5x+2)(y+1) 的最大值?之二
下一篇:1/(1+x^2)/[1+(x+a)^2] 在(-∞,+∞)上的积分
收藏 IP: 121.28.181.*| 热度|

0

该博文允许注册用户评论 请点击登录 评论 (0 个评论)

数据加载中...
扫一扫,分享此博文

Archiver|手机版|科学网 ( 京ICP备07017567号-12 )

GMT+8, 2026-4-26 08:31

Powered by ScienceNet.cn

Copyright © 2007- 中国科学报社

返回顶部