||
作者介绍板块
蔡建国(东南大学)
蔡建国,东南大学青年首席教授、土木工程学院博导,国家优青,国家一级注册结构工程师。主要研究可展与折叠结构、新型空间结构等方向,任国家预应力工程技术研究中心副主任,兼任IASS执委等多项国内外重要学术职务。主持多项国家级、省部级课题及工程科技项目,发表百余篇SCI论文,出版多部中英文学术专著,授权数十项国家发明专利,成果已实现转化。
文章导读板块
折纸和剪纸作为古老的中国民间艺术因其强大的可折叠展开和大变形性能而广泛应用于航天器可展部件、通信天线等结构设计中。东南大学土木工程学院的蔡建国教授团队以旋转直立系统 (RES) 为依托,创新性设计了一种双稳态构型。基于杆系模型,证明了构型的双稳态特性,量化分析了构型的稳态设计边界问题。通过试验研究和有限元仿真相结合的方法,研究了构型的成型与恢复方式。为将来折纸构型应用于可重构频率天线领域提供了理论支撑及科学依据。
研究核心内容板块
构型设计

图1.设计的RES构型。
本文设计的旋转直立系统 (RES) 由中心轮毂 (ABCD)、护耳 (LEAD) 和手臂 (EDA) 组成,其几何参数由初始角θ、轮毂边长a、外边界b和位移DXEI、DYEI组成。图中黑色实线为折痕,红色虚线为裁痕。
双稳态分析
由于设计的RES构型中心对称,可取其四分之一进行研究。基于杆系模型,将折痕和构型特征边界均简化为杆件,并增加ED杆。由于折痕不产生变形因此可以简化为刚性杆,并假设AL和LE长度不变,构型在成型过程中的总能量 (ΔL2AI+ΔL2ED) 即可通过杆ED和杆AI的变形 (ΔLAI和ΔLED) 来衡量。

图2.构型的杆系简化模型。
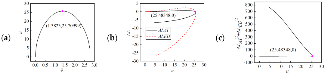
构型在成型过程中,可以得到中心轮毂旋转角度φ、杆ED和杆AI的变形、构型的总能量随中心轮毂上升高度u的变化曲线。除初始状态 (u=0) 构型总能量为零处于稳定状态外,构型还存在一个总能量零点 (u=25.48348),表明构型在u=25.48348处于稳定状态,即构型存在两个独立稳态,为双稳态构型。

图3.中心轮毂旋转角度φ、杆ED和杆AI的变形、构型的总能量随中心轮毂上升高度u的曲线。
稳态边界
采用控制变量法,对构型赋予不同几何参数,并分析构型的稳态特性,得到了单稳态构型 (洋红色) 和双稳态构型 (红色) 的几何参数设计边界,图4中蓝色虚线为不同几何参数下构型的稳态边界线。通过稳态边界线,可以为构型的目标稳态特性提供几何设计依据。

图4.不同几何参数下构型的稳态特性。
试验与仿真
RES构型的成型与恢复,一般是通过中心轮毂旋转上升与旋转下降实现。本节提出了一种新的成型方式和恢复方式,分别为对角拉伸成型和起拱恢复。
对角拉伸成型是将荷载沿构型的对角线施加,且荷载连线通过构型中心,如图5 (a)、(b) 所示。起拱恢复是将荷载施加于平面外,荷载施加点的连线通过构型中心,并将垂直于该连线且与构型外边缘相交的两点固定,如图5 (c) 所示。
通过试验和仿真结果可知,提出的对角拉伸成型和起拱恢复均能实现构型的预期成型与恢复目标,并且试验和有限元仿真吻合性较好。

图5.试验与仿真。
研究总结
本研究系统的分析了RES构型的稳态特征与成型恢复性能,结果表明:设计的构型具备双稳态特征。通过几何参数分析得出的稳态边界可以为构型的稳态特征提供设计依据。提出的新型构型成型和恢复方式实现预期效果。
阅读英文原文:https://www.mdpi.com/2075-5309/16/3/531
相关特刊
了解特刊详情:https://www.mdpi.com/si/235805
Buildings 期刊介绍
主编:David Arditi, Illinois Institute of Technology, USA
期刊领域涵盖建筑结构、建筑材料、建筑的维修和翻新、施工管理、建筑与环境、能源与建筑、建筑的运营维护和建筑设计等。
2024 Impact Factor:3.1
2024 CiteScore:4.4
Time to First Decision:15.1 Days
Acceptance to Publication:2.9 Days
期刊主页:https://www.mdpi.com/journal/buildings

Archiver|手机版|科学网 ( 京ICP备07017567号-12 )
GMT+8, 2026-5-15 13:08
Powered by ScienceNet.cn
Copyright © 2007- 中国科学报社