||
研究背景
在这个美食遍地的时代,减肥似乎成了许多人终身的课题。然而,节食太痛苦,运动很难坚持,市面上的减肥药又往往伴随着腹泻等副作用。难道就没有更安全、更温和的方法来对抗肥胖吗?
近日,一项发表在 Nutrients 期刊上的研究为我们带来了新的希望。来自天津科技大学的罗学刚教授、仲飞亮讲师、2023级博士生冯晓敏、2024届硕士毕业生李寒露及其研究团队与天津市食用益生菌重点实验室梁武研究员、韩雪梅工程师联合研究发现,一种名为鼠李糖乳杆菌IOB820的益生菌,特别是其经过灭活处理的“后生元”,在对抗高脂饮食引发的肥胖方面,展现出了惊人的潜力。此前已有大量研究表明,肥胖与肠道菌群失衡密切相关。高脂饮食会破坏肠道内的微生物平衡,进而引发慢性炎症和代谢紊乱,让人越来越胖。基于此,研究人员想要探索:鼠李糖乳杆菌IOB820及其后生元,能否通过调节肠道菌群,来逆转高脂饮食带来的伤害?
研究设计
为了验证上述假设,该研究将70只雄性肥胖模型小鼠 (C57BL/6J) 分为7组,包括正常饮食组、高脂饮食组、高低剂量的活菌组、高低剂量的后生元组,以及一个奥利司他 (知名减肥药) 阳性对照组。实验结束后,研究人员对小鼠的体重、血糖、血脂、炎症因子、肝脏脂肪变性、肠道菌群变化以及粪便中的短链脂肪酸 (SCFAs) 进行了全面分析。10周后,高脂饮食的小鼠体重飙升 (增重67.5%),而服用了高剂量后生元的小鼠,体重仅增加了38.9%,这个数据几乎与正常饮食的小鼠 (36.5%) 持平,效果明显优于活菌组和药物组。小鼠的肝脏、肾脏和脂肪重量也得到了显著控制。

图1. 各组小鼠体重、肝脏、肾脏及脂肪重量变化
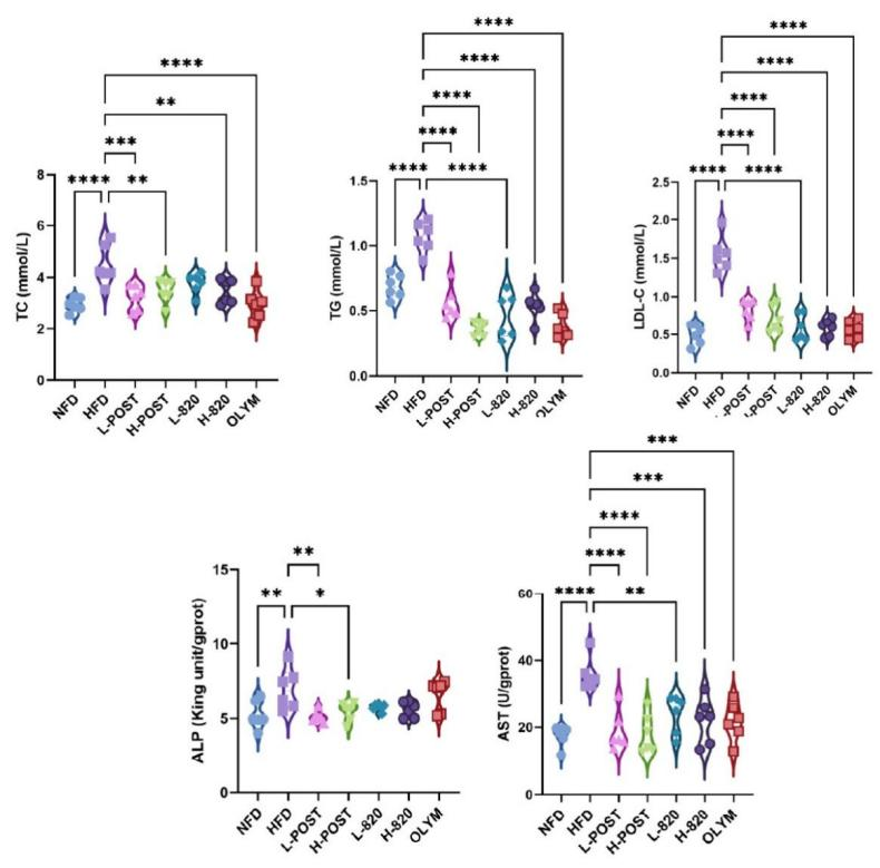
高脂饮食让小鼠肝脏出现了损伤。研究显示,后生元干预后,小鼠血液中的总胆固醇 (TC)、甘油三酯 (TG) 和低密度脂蛋白胆固醇 (LDL-C) 水平显著下降。反映肝损伤的指标 (AST、ALP) 也恢复了正常。这意味着后生元不仅阻止了脂肪堆积,还保护了肝脏功能。

图2. 各组小鼠肝脏指标变化
高脂饮食破坏了肠道菌群的多样性。后生元干预后,有益菌 (特别是与代谢健康密切相关的阿克曼氏菌) 显著增加,有害菌被抑制。这些被“纠正”的肠道菌群,开始大量产生SCFAs,尤其是乙酸、丙酸、戊酸和异戊酸。短链脂肪酸是结肠上皮细胞的主要能量底物,也是调节全身代谢的信号分子。

图3. 菌群与SCFAs相关性分析
研究总结
该研究有力地证明,鼠李糖乳杆菌IOB820的后生元能够有效对抗高脂饮食引起的肥胖。其作用机制涉及肠道微生态调控:首先通过改善肠道环境,促进菌群定植,富集有益微生物,促进短链脂肪酸 (SCFAs) 的生成。随后通过SCFAs调节全身代谢,抑制炎症反应,增强脂肪酸氧化。
对于减肥人士来说,后生元提供了一种更安全、更稳定的新选择。其稳定性优于活菌制剂,在加工储存过程中保持功效活性,却保留了强大的生物学效应。未来,我们可能会看到含有IOB820后生元的功能性食品、营养补充剂进入市场,为肥胖干预提供新的策略。
当然,目前这项研究还处于动物实验阶段,距离人体应用还有一段路要走。但它无疑为我们打开了一扇新的大门:调控减肥的钥匙,或许就藏在这些看不见的“微生物遗产”之中。

图4. 机制图
阅读英文原文:https://www.mdpi.com/2072-6643/17/22/3525
Nutrients 期刊介绍
主编:Lluis Serra-Majem, University of Las Palmas de Gran Canaria, Spain; Maria Luz Fernandez, University of Connecticut, USA
期刊主题涵盖常量营养素、微量营养素、生物活性营养素、运动营养、公共卫生和饮食相关疾病等学科领域。
2024 Impact Factor:5.0
2024 CiteScore:9.1
Time to First Decision:15 Days
Acceptance to Publication:2.4 Days
期刊主页:https://www.mdpi.com/journal/nutrients

Archiver|手机版|科学网 ( 京ICP备07017567号-12 )
GMT+8, 2026-4-21 23:36
Powered by ScienceNet.cn
Copyright © 2007- 中国科学报社