|
任何一种“逻辑架构”的知识体系,均具有其基本的“逻辑起点”。从这个起点出发,按照知识的逻辑链条,逐级推演,就会形成“演绎”的架构体系。量性走向数理演绎、质性走向二分的是与否判断演绎,均构成了逻辑演绎的两种形式。
物理学的牛顿体系,逻辑起点源于“牛顿三个定律”。电学体系,逻辑起点于“库伦定律”。在任何体系中,均需要建立:现象描述(运动学、现象学),动理学(factor analysis)、动力学(因子、初始条件与结果关系)。
西学的成功是自然科学中,物理学为起点的成功,并延伸至其它学科。交叉性,在于物理、生物、心理、社会均建立在物质底层。非物理学及延伸学科,仍然处于“唯像学”,始终未“形成数理公理学科”。“科学”被延伸其它知识体系,而未成为理论架构体系。科学的知识也就是“狭义”、“有限”的知识体。
西方自然科学形成的知识体是人类知识体中很小的一部分。
在东方产生的知识体到底是一种什么样的知识结构?它在人类知识体中应该演化为什么样的知识体?并与现代“物质科学”逻辑起点的知识体间,是否存在对接?则就需要找到东方知识体的“逻辑起点”。
1.逻辑起点1:对象
对象:以人与自然(物理物、生物、人、社会)为对象。研究人与自然关系的规律。
天-宇宙环境、地——地球物理环境、人三者之间相互作用关系。

本质:东方科学从开始,就是以“人”为内核的,人与自然生态之间的“生态科学”体系。它包含了两个因素:(1)宇宙,(2)地球物理。这是西方自然科学的理论源点。却并不把的作用关系考虑进去。而走向物质自然关系作用。这是这个系统中的亚层次关系。
2.逻辑起点2:宇宙热力、引力谐振关系
以地球为观察零点(或参照系),建立宇宙热力(太阳)、星球引力对地球影响的谐振力学。则东方科学体系的基本逻辑是:
(1)太阳热源对地球热力周期性调谐(谐振荡)。
(2)行星为地球引力周期性调谐(谐振荡)。
(3)生态系统随“热力源”、“引力源”两大类“信息源”,跟随周期调谐震荡。从而产生地球热力周期(天、四季)、植物生长周期、人体生理周期、社会动荡周期。
3.逻辑起点3
变化公设:(1)气化万物、(2)气化同圆、万物皆循环
能量公设:气
动力公设:阴阳(高低能态)、阴阳相合(相互作用)。



4.知识体逻辑
以“太阳”、“星球”为“信息源”、地球物理物、生物、人、社会为“心宿”,形成了“同周期”、“异步跟随”的谐振动力学体系,就构成了东方科学知识体的逻辑始点之一。由此,必然产生的谐振描述体系:
(1)分形的、二分逻辑的圆谐振编码描述。它是圆谐振,同时包含生长的“分形”数学。而被矮化为二进制。
优点:描述“物态”的“态”的编码体系。兼容了物质、能量驱动的分形生长。迄今,在生态的态,仍然难以在西方数理体系中,找到“表征”。

(2)变化表征几何学:易经
也即“物态”变化的几何表征。物理、生命、气候、物候的“态”,通过“时间”来表征。由《易经》来实现。它是古典意义的,也是现代科学意义的。
即在天文环境、地球物理、人文的整个“生态”中,如何建立“态”的周期性变化的几何学,是当代的困难。lewin在1930年代,提出“环境场”,研究人-环境关系,而不可得。《易经》早就完成了这个理论构造。
(3)人与自然关系谐振伦理力学:道德经

自然-人之间的相互关系,包含两个关系:自然规律——道,人对自然反作用规律与否——德。这是“力学”意义的。它以《道德经》为总集成,讨论自然、人的谐振关系中,普遍性的规律:运动规律(反之动)、平衡规律(守中)、人性力学(尚-需)等。西方心理学、伦理学、哲学、始终无法达到这个普适律。《道德经》是数理意义的。
(4)人与自然谐振:《黄帝内经》
自然热力周期谐振、生命生态周期谐振、人体生理机能周期谐振、致病周期谐振。是自然热力引起的“信息能量关系”。建立这个规律的,是《黄帝内经》。它是“人体机械热机”与“热力环境”的周期谐振。它的“信息能量”规律,为《黄帝内经》所建立。
从谐振、广义信息能量方程、精神动力、脏器热机模型,才能揭示它的基本律。“岐黄医学”所建立的规律,已经是“模型”之学。是西方生物学、整合生物学、生物信息学、生物化学的统一。

(4)价值观念与情绪谐振:《中庸》
中庸以“价值观念”为切入点,它是人的“认知信号”,建立人的谐振的总基本律:喜怒哀乐未发,谓之“中”。本质是“零情绪”。和-正常情绪波动范围,极-情绪的极端。上述,均为价值观念驱动。《中庸》本质是“价值观念驱动的情绪动力学”。西方情绪研究始终未靠近真正的、信息学意义的、认知驱动的、精神动力的人的力学的本质。而在《黄帝内经》中,情志是心身合一的。而西方始终未能建立心身的逻辑关系。
(5)心物二元的心因归因:《传习录》
继承《中庸》,并延伸“理”的“认知性”。既承认外在的规律,又承认人的“认知”,构成“心即理”的根源。即规律的本身是人发现的。心理归因,在思维基理中,被提炼了出来。
合并上述:人与自然关系的问题,概述为:心物、心身、环境关系。并是“谐振”关系。它是生态学意义的。
神经、生化、认知,均是信号,西方关于人的“功能”系统,揭示的是“亚层”的信号、载体的逻辑。东学早就建立起了“人与自然”相互作用的“谐振力学”关系。
它的逻辑起点,别于西方、它是“广义信息学”的基础原理,西方是狭义信息学,是物质的信息学。物理、生命、生化是在物质通讯上揭示信息。东方,在人与自然关系中,建立人与自然关系的“广义信息机制”。
西方唯像学在生物、心理、社会、人文上遭遇的全体系瓶颈,为东方科学所解决。在两个知识体之间,建立一个逻辑桥梁,就可以实现两个知识体的对接:
关于人的信息能量科学。
1.精神因果律

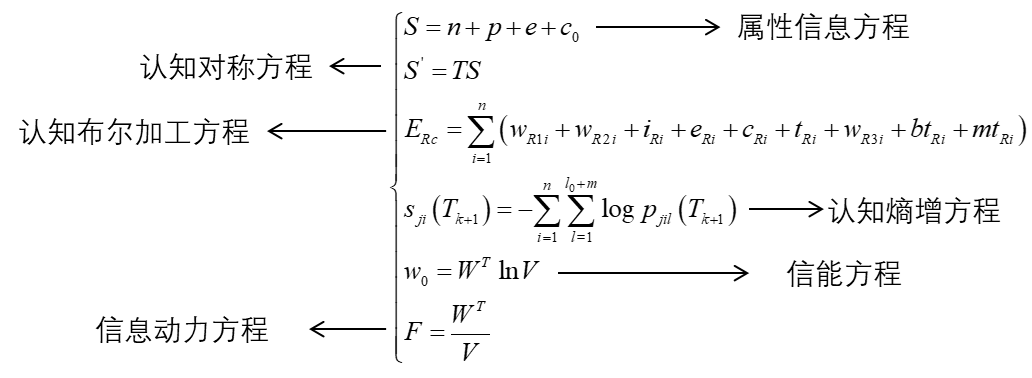
2.认知因果律![]()
![]()
![]()

3.心物神经表征方程组

4人的统一性架构

东方科学的逻辑起点,决定了分支学科的现代生物学、西方心理学、社会学、等,仍然要统一到整体关系的“东方科学”。把西方的生物学、心理学、社会学等并入到东方的岐黄医学、东方的人学之后,才能形成统一性的“数理公理”体系。而东方科学也将因为亚层的“信息基理”的发现,而重新在整体论水平上,回归它的公理。它不是不科学,它一直科学的在哪里,并建立了围绕它的公理的“分科体系”。
也不再是认知、脑科学等西学的唯像学主导领域了。
岐黄医学等人的国学体系,将转型为:数理公理的、数理推演的、现代的“人”为内核的科学。现在已经不在是讨论它是否科学的问题,是在东西合并的逻辑下,迅速延伸,数理逻辑架构的问题。国学的复兴也就是必然的了。
(1)东方人学是形而上的、公理化的、理论构体系。易学、道德经、中庸、大学、传习录、岐黄医学、
(2)西学人学实验体系,是形而下的、分科、非理论架构、非公理体系。走向数理、公理是这一学科诉求。
(2)国学是数理科学。建立了关于“心理量”的形而上关系,为历代king管理采用,而成为“社会工程”。适合人性与人文地理的适应,而成为百姓接收的应用,而文化。文化模式是表象。
文化不是国学内核,数理、逻辑起点,才是它的内核。其它东西方的比较很难成为本质。

Archiver|手机版|科学网 ( 京ICP备07017567号-12 )
GMT+8, 2026-5-30 20:44
Powered by ScienceNet.cn
Copyright © 2007- 中国科学报社