|

背景介绍
锂离子电池(LIBs)虽广泛应用,但面临资源短缺和锂枝晶问题。可充镁电池(RMBs)凭借高能量密度、资源丰富和安全性成为潜在替代品,但仍存在钝化膜、动力学缓慢等挑战。过渡金属硫族化合物具有储镁潜力,但存在体积膨胀和循环稳定性问题。
近日,浙江大学长三角研究院崔立峰教授、香港城市大学陈孝东博士后联合复旦大学许润景博士后设计了一种通过溶剂热合成法制备花瓣状CoS/CuS纳米棒正极材料,其独特结构提升了反应位点和Mg2⁺迁移效率。该材料在200 mA g⁻1下循环300次后容量保持62.8 mAh g⁻1,并展现出优异的倍率性能(100→1000→100 mA g⁻1时容量为180.6→30→178.6 mAh g⁻1),为高性能可充电镁离子电池开发提供了新思路。
图文解读
通过CoS纳米球前驱体的合成、铜元素掺杂及PVP蚀刻,成功制备了具有花瓣状纳米结构的CoS/CuS复合材料,XRD分析证实其含有CoS的晶相结构。形貌与结构:SEM和TEM表征显示,CoS/CuS呈现多孔花瓣状空心结构,由规则纳米片堆叠而成,具有高比表面积和均匀分布的Co、Cu、S元素,有利于电解液渗透和Mg2⁺传输。该材料的特殊纳米结构增强了电极-电解液接触,缩短了离子迁移路径,同时协同效应促进了电催化活性,显著提升了镁存储动力学性能。
图 1. (a) CoS/CuS 制备方法示意图;(b) XRD 图谱;CoS/CuS 和 CoS 纳米棒材料的化学成分和物理特性: (c)、(d) CoS 纳米棒材料的 SEM 图像;(e)、(f) CoS/CuS 纳米棒材料的 SEM 图像;(g)、(h) CoS/CuS 纳米棒材料的 TEM 图像;(i) 相应的 SAED 图样;(j) CoS/CuS 的 HRTEM 图像及相应的条纹标记;(k) HAADF-STEM 图像;(l)-(o) EDS 元素图谱。
CoS/CuS纳米球具有更高比表面积(79.221 m2/g)和孔隙率,铜元素的引入优化了材料孔隙结构,增强了Mg2⁺传输界面,并为充放电过程提供了更多活性位点。XPS分析表明Cu的掺杂促进了Co的氧化,同时CoS与CuS的协同效应提升了材料结合能和电荷转移能力,有利于电池反应动力学。元素价态分析证实了Co2⁺/Co3⁺、Cu2⁺和S2⁻/S-O键的存在,验证了复合材料中各组分(Co、Cu、S、C)的化学状态及其对储镁性能的贡献。
图 2.(a)CoS/CuS 和 CoS 的 N2 吸附/解吸等温线;(b)CoS/CuS 和 CoS 的粒径分布曲线;CoS/CuS 和 CoS 的(c)C 1s、(d)Co 2p、(e)S 2p 和(f)Cu 2p 的详细 XPS 光谱;(g)CoS/CuS 和 CoS 的 XPS 全光谱。
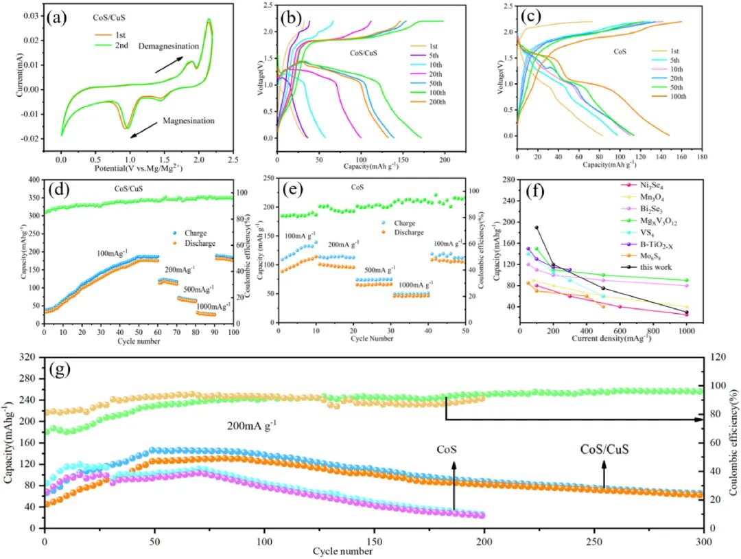
CoS/CuS正极展现出优异的电化学可逆性和稳定性,其CV曲线在200次循环后仍保持1.0/1.8 V的清晰氧化还原峰,且充放电平台重叠性良好,比容量(180 mAh g⁻1)显著高于纯CoS材料(150 mAh g⁻1)。独特的纳米花瓣结构赋予CoS/CuS卓越的倍率性能,在100-1000 mA g⁻1电流密度范围内保持稳定的容量输出,同时其低成本水热合成工艺具有实际应用潜力。CoS/CuS表现出优异的长循环稳定性,300次循环后仍保持50 mAh g⁻1容量(保持率35.7%),结构完整性验证了其纳米材料设计的合理性,综合性能优于多数已报道的镁电池正极材料。
图 3. (a) CoS/CuS 在 0. 1 mV s⁻1时的 CV 曲线;(b)、(c) CoS/CuS 和 CoS 在 100 mA g⁻1时的充放电曲线;(d)、(e) CoS/CuS 和 CoS 的速率性能;(f) 当前有关 MIB 阴极材料电化学特性的论文比较;(g) CoS/CuS 和 CoS 在 200 mA g⁻1 时的长周期性能。
CoS/CuS正极展现出优异的反应动力学特性,其CV曲线在0.2-1.0 mV s⁻1扫描速率范围内保持稳定可逆的氧化还原峰,且扩散控制贡献占比高达83.69%,表明Mg2⁺存储过程以扩散控制为主导机制。电容行为随扫描速率提升显著增强,当扫描速率从0.2 mV s⁻1增至1.0 mV s⁻1时,电容贡献比例从16%提升至91%,赋予材料快速电荷存储能力和循环稳定性。EIS分析证实CoS/CuS具有优异的界面传输性能,其电荷转移阻抗显著低于纯CoS,且循环过程中阻抗变化微小,归因于Cu元素引入形成的异质结结构有效降低了电化学反应能垒。
图 4 (a) CoS/CuS 的 CV 曲线(电压0.01-2.2 V (vs Mg2+/Mg));(b) 在 0.2 mV s-1 下的 CV 曲线(vs Mg2+/Mg)及其对电容的贡献;(c) 在 0.2 至 1.0 mV s-1 范围内电容贡献的百分比;(d) 两个峰值的 I vs. Log (v);(e) 两个峰值的 I vs. v1/2;(f) CoS/CuS 和 CoS 的 EIS(频率 0.1 Hz 至 100 kHz)光谱。
研究表明,通过非原位XRD和XPS分析证实,CoS/CuS正极在镁离子电池中通过可逆的转化反应(CoS + 2CuS + 2Mg ↔ 2MgS + Cu2S + Co)实现镁的存储与释放。
图 5:(a) CoS/CuS 阴极在第一周期不同电压值下的电压-体积曲线和 (b) 相关的原位 XRD 图谱;(c-f) CoS/CuS 阴极在不同电池反应状态下的原位 XRD 图像;CoS/CuS 阴极在不同电池反应状态下的原位 XPS 光谱 (g) Mg 2p;(h) Co 2p;(i) Cu 2p3/2。
总结与展望
镁离子电池因Mg2⁺在正极材料中扩散动力学缓慢,实际容量受限。本研究采用无模板溶剂热法成功制备了花瓣状纳米棒CoS/CuS复合正极材料。电化学测试表明,该材料在200 mAh g⁻1下循环300次后容量保持62.8 mAh g⁻1;100-1000 mAh g⁻1电流密度变化时展现出良好的倍率性能,容量从180.6 mAh g⁻1降至30 mAh g⁻1后,恢复至100 mAh g⁻1时可回升至178.6 mAh g⁻1。独特的纳米结构增大了材料/电解液接触面积,提供了丰富反应位点,降低了Mg2⁺迁移势垒。Cu的引入形成CoS/CuS异质结,进一步降低反应势垒,使材料兼具高电压和大容量特性。表征证实其充放电过程为高度可逆的转化反应。该研究为高性能镁离子电池正极材料设计提供了新思路。CoS/CuS异质结通过界面电子转移形成新的电子态,增强电荷密度和导电性,同时降低界面电阻和离子扩散能垒,并通过Mg2⁺嵌入进一步优化能带结构和态密度,从而显著提升镁存储性能。
图 6. (a) CoS/CuS 模型的结构设计模拟;(b) CoS/CuS 界面形成时的电荷密度差(紫色区域表示电荷积累,绿色区域表示电荷耗尽);(c) CoS (001) 和 (d) CuS (001) 的平均电势变化; (e) CoS/CuS 界面形成时的平面平均电荷密度差;CoS 和 CuS 在界面形成前(g)和形成后(f)的状态密度;(h) CoS/CuS 和镁夹杂 CoS/CuS 的总状态密度。
原文链接
相关研究以“The architecture of Petal-shaped CoS/CuS nanosphere materials for high-performance magnesium-ion battery cathode materials”为题发表在Green Energy & Environment期刊,该论文第一作者为复旦大学材料科学系博士后许润景,通讯作者分别为浙江大学长三角研究院崔立峰教授与香港城市大学陈孝东博士后。
扫码获取全文
https://doi.org/10.1016/j.gee.2025.05.012
撰稿:原文作者
编辑:GEE编辑部
END

Archiver|手机版|科学网 ( 京ICP备07017567号-12 )
GMT+8, 2025-12-26 13:14
Powered by ScienceNet.cn
Copyright © 2007- 中国科学报社