||
[打听,科普,数学] 素数(50):黎曼ζ函数,可以乘以 1/3s 吗?傻实在想不明白
黎曼ζ函数: Riemann zeta function, Riemann ζ function
平凡零点: trivial zero
非平凡零点: nontrivial zero
临界带: critical strip
素数: prime number
算术基本定理: fundamental theorem of arithmetic
素数计数函数: prime counting function, π(x)
素数定理: prime number theorem
对数积分: logarithmic integral
唯一分解定理: unique factorization theorem
黎曼假设: Riemann Hypothesis
希尔伯特的第 8问题: Hilbert's 8th Problem
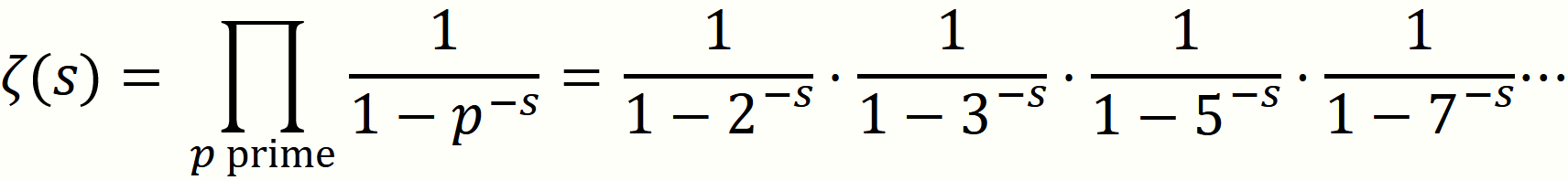
一、从黎曼ζ函数(Riemann zeta function)到欧拉乘积 Euler product
网传,从黎曼ζ函数(Riemann zeta function)

可以推导出欧拉乘积 Euler product

二、打听:上面公式的推导,合理吗?
似乎是对黎曼ζ函数乘以
、
、……
当 s → ∞ 时,会不会
→ 0,以及
→ 0?此时,乘法运算(×)会不会出现问题? 0 × F = ?,好像是个复杂问题?与 F 的性质有关?
上面的 s → ∞ 是个思路,不做进一步的具体解释。
三、Zenas:数学公式,每推导一步,几乎就会引入一个新的假设
3.1 这是逻辑学里“同一律 law of identity”直接引起的
“同一律 law of identity”:既是人类认识世界的重要方式,又是将世界和人类隔离开的具体方式。
以数学和逻辑为例,每一步的符号公式的推导,都会“不自觉”地偏离原来的目标。
对于简单、单纯的事物变化,“同一律 law of identity”成立的程度高,符号公式推导的结果就接近实际。
反之,
对于复杂、联系的事物变化,“同一律 law of identity”成立的程度低,符号公式推导的结果就偏离实际。
所以,大数学家柯尔莫哥洛夫(Андре́й Никола́евич Колмого́ров, Andrey Nikolaevich Kolmogorov, 1903-04-25 ~ 1987-10-20)认为:
研究中出现的困难往往不在于数学理论的推导过程中,而在于“为运用数学所作的假设的选择”和“由数学手段所得结果的解释”中。
https://www.global-sci.org/intro/article_detail/mc/11383.html
https://www.global-sci.org/intro/articles_list/mc/1401.html
3.2 抽象思维方法:用“概念代表现实事物”和用“概念间的关系”代表“现实事物之间的实际联系”所引起的误差和偏离
https://www.kepuchina.cn/article/articleinfo?business_type=100&classify=0&ar_id=334248
抽象思维本身已不是尽善尽美的思维方法,它和现实的本来面目已存在距离,在社会科学领域比比皆是的逻辑混乱的做法,更让以抽象思维为基础的“社会科学”远离了科学范畴。
研究客体的能动性和社会性导致的复杂加大了社会科学的抽象思维的困难,但社会科学的抽象思维的低水平主要还是因为人们忘了严密的抽象思维都有哪些要求。
参考资料:
[1] 科普中国,2021-12-31,黎曼ζ函数
https://www.kepuchina.cn/article/articleinfo?business_type=100&classify=0&ar_id=283245
[2] 科普中国,2021-12-31,欧拉乘积公式
https://www.kepuchina.cn/article/articleinfo?business_type=100&classify=0&ar_id=292648
[3] 科普中国,2021-12-31,抽象思维
https://www.kepuchina.cn/article/articleinfo?business_type=100&classify=0&ar_id=334248
抽象思维本身已不是尽善尽美的思维方法,它和现实的本来面目已存在距离,在社会科学领域比比皆是的逻辑混乱的做法,更让以抽象思维为基础的“社会科学”远离了科学范畴。
研究客体的能动性和社会性导致的复杂加大了社会科学的抽象思维的困难,但社会科学的抽象思维的低水平主要还是因为人们忘了严密的抽象思维都有哪些要求。
[4] 科普中国,2021-12-31,数学归纳法
https://www.kepuchina.cn/article/articleinfo?business_type=100&classify=0&ar_id=285890
数学归纳法(Mathematical Induction, MI)是一种数学证明方法,通常被用于证明某个给定命题在整个(或者局部)自然数范围内成立。除了自然数以外,广义上的数学归纳法也可以用于证明一般良基结构,例如:集合论中的树。这种广义的数学归纳法应用于数学逻辑和计算机科学领域,称作结构归纳法。
在数论中,数学归纳法是以一种不同的方式来证明任意一个给定的情形都是正确的(第一个,第二个,第三个,一直下去概不例外)的数学定理。
虽然数学归纳法名字中有“归纳”,但是数学归纳法并非不严谨的归纳推理法,它属于完全严谨的演绎推理法。事实上,所有数学证明都是演绎法。
[5] 2022-01-20,同一律/law of identity/张建军,中国大百科全书,第三版网络版[DB/OL]
https://www.zgbk.com/ecph/words?SiteID=1&ID=121195&Type=bkzyb&SubID=104156
通常在命题逻辑中被刻画为,或通常表述为p→p,即“如果p则p”。在传统逻辑里,同一律首先是作为事物的规律提出来的,其意是任一事物是什么就是什么,即在“三同一”的限制下(参见矛盾律),如果一事物具有某属性就具有该属性。
由同一律所决定思维规范称为“同一性规范”,它意为人们如果断定某一命题,就应该断定这一命题。同一性规范是防止“转移论题”或“混淆概念”的根据,这种转移或混淆往往是由于语词歧义或语句结构歧义引起的。故意转移论题或混淆概念,称为“偷换论题”或“偷换概念”的诡辩手法。同一性规范是避免此类错误,揭露此类诡辩的基本工具。
在现代逻辑基础理论系统中,作为重言式定理的p→p,是同一律在命题逻辑中的直接体现;作为普遍有效式的x(Fx→Fx)(读作:对论域中任何个体x而言,如果x具有F属性就具有F属性),是同一律在谓词逻辑中的直接体现。
同一律和同一性规范并不否认和排斥事物或思想的变化发展,而只是要求思想保持确定性。
[6] 2022-01-20,矛盾律/law of contradiction/张建军,中国大百科全书,第三版网络版[DB/OL]
https://www.zgbk.com/ecph/words?SiteID=1&ID=121325&Type=bkzyb&SubID=104156
在传统逻辑里,矛盾律首先是作为事物规律提出来的,意为任一对象不能同时既具有某属性又不具有某属性。亚里士多德是第一个明确表述与系统阐发矛盾律的哲学家。他在《形而上学》中提出:“一切原理中最确实的原理可陈述如下:在同一时间、同一方面,同一对象不能既具有又不具有某属性。”这是亚里士多德关于矛盾律的“本体化表述”,其中“三同一”的限制是为了“防止诡辩者的责难”。在此基础上,他也提出了矛盾律的语义表述:“对于同一对象,两个互相矛盾的肯定与否定不可能同时都是真的。”由此也就决定了“任一命题不能既真又不真”这一命题逻辑中的基本语义法则,这是矛盾律的逻辑语义学层面。
[7] 2022-01-20,波普尔,K.R. /Karl Raimund Popper/夏基松,中国大百科全书,第三版网络版[DB/OL]
https://www.zgbk.com/ecph/words?SiteID=1&ID=113015&Type=bkzyb&SubID=99492
波普尔关于科学与非科学分界问题的主张,主要是受爱因斯坦及其相对论的影响。相对论的确立表明牛顿力学是可反驳的。爱因斯坦对自己的理论持批判的态度,随时准备被证伪后就放弃。这就使波普尔认为可证伪性是科学的不可缺少的特征,凡是不可能被经验证伪的命题,如本体论问题、形而上学问题、数学和逻辑上的重言式命题、宗教、神学和占星术都属于非科学。
以前的《科学网》相关博文链接:
[1] 2022-10-14 18:32,[小资料] 阿诺德原理、复杂的模型几乎毫无用处:出自 1998年《On teaching mathematics》
https://blog.sciencenet.cn/blog-107667-1359459.html
In exactly the same way a small change in axioms (of which we cannot be completely sure) is capable, generally speaking, of leading to completely different conclusions than those that are obtained from theorems which have been deduced from the accepted axioms. The longer and fancier is the chain of deductions ("proofs"), the less reliable is the final result.
Complex models are rarely useful (unless for those writing their dissertations).
[2] 2024-05-16 22:49,[请教,讨论] 同一律与柯尔莫哥洛夫 Kolmogorov 的数学观
https://blog.sciencenet.cn/blog-107667-1434414.html
[3] 2024-10-22 22:21,[打听,笔记] 推导符号公式的局限性:从数学、心理学到哲学
https://blog.sciencenet.cn/blog-107667-1456506.html
[4] 2025-09-08 22:06,[资料,科普] 《数学百科全书》词条“证明”,以及数学“证明”的传奇:当证明长度增加时,错误的概率也增加了
https://blog.sciencenet.cn/blog-107667-1501040.html
[5] 2026-04-29 00:30,[资料,科普,数学] 素数(49):从来没有文字发表过的著名猜想,作者自己都不知道已“发表过”——希尔伯特-波利亚猜想
https://blog.sciencenet.cn/blog-107667-1532647.html
[6] 2026-04-28 00:23,[图片,科普,数学] 素数(48):黎曼ζ函数、log 在 Critical Line 附近的对照 Wolfram 大范围
https://blog.sciencenet.cn/blog-107667-1532455.html
感谢您的指教!
感谢您指正以上任何错误!
感谢您提供更多的相关资料!
Archiver|手机版|科学网 ( 京ICP备07017567号-12 )
GMT+8, 2026-5-21 05:58
Powered by ScienceNet.cn
Copyright © 2007- 中国科学报社