||
[请教] 王老师《模糊理论的金融实践》中的几个问题
我断断续续研究王立新老师的动态方程在股票市场的应用多年,可惜水平有限,卡在几个问题上一直不得甚解,特此请教王立新老师!
感谢王立新老师不吝指教!
一、模型原理
关于大买家和大卖家的信号,我有三个疑问:
①因为我用分段函数模拟后续股价走势的时候发现,只有在股价上涨的时候大卖家反向操作才能拉动股价快速上升,而且这个上升的速度是由李雅普诺夫指数决定,而大买家的买入不会引导股价不断上升,是不是监控 -a6 是否大于0来表示股价后续会不会上升?
②另外followBB策略中是a7>0就买入,这个我觉得有点奇怪,因为a7>0和后续股价上升没有直接关系(只能说明有大买家在买入了,但是随着后续股价上升意味着w来到了x轴右边,那ed7就为0了);另外即使ridemood的a6+a7>0,我也觉得不太理解,因为价格公式中a6*ed6 + a7*ed7才是和价格变化真正相关的,只用a6+a7是不是不太对。

③Part1论文中Rule 8 Group的ed8分段函数是我觉得符合庄家的全流程做法,在获取足够的筹码之后靠少量资金快速拉升,吸引散户进场,才能保证足够的推力让后续股价持续上升,但是3个phase的时间节点感觉很难定义,单纯在ed6,ed7之后加上一个0.4,拟合出来的a8来指导交易也不符合预期,不知道实盘的时候是不是只用ed6和ed7?
二、最优参数拟合及其过拟合问题
引用您之前博客中相关内容回复的评论:
“根据近期的历史数据对每一只股票确定一个最佳的lamda;算法的敏感程度通过lamda调节;将股票按这个方法对历史数据的适用程度排一个序,指导资金投入的大小”
①选择历史最优或者过去一年最优的lambda, w, a_delay,如何保证未来一段时间也是最优或者是合适的呢?从验证结果来看的确是存在过拟合问题,往往历史好的参数在未来一段时间表现就不好,因为历史表现好的股票可能已经价格到了高位。模糊函数中的0.1,0.2,0.4交易强度是不是也算超参数。
②按最近一年表现选出的最优参数在历史或者未来都不一定是最优,如何保证未来一段时间也是最优或者是合适的呢?是不是要不断更新参数,或者参数有一个适用周期窗口,多久更新一次呢?
三、选股
引用您之前博客中相关内容回复的评论:
“根据近期的历史数据对每一只股票确定一个最佳的lamda;算法的敏感程度通过lamda调节;将股票按这个方法对历史数据的适用程度排一个序,指导资金投入的大小。
如果优化选股有什么补充的话,那就是:看准机会要大举投入。我一直认为分散投资是骗人的鬼话,真正赚大钱的机会是不多的,在理性分析的基础上,有机会就要勇敢的抓住,去争取光荣的胜利。
方法成功与否的关键是:是否有股票在一段时间内有一个dominant的大买家或大卖家在进行操作。出现这种情况的随机性很大,许多时候是多个大买家或大卖家在同时操作,使得估计出的a6,a7噪声比较大。其中假设3是:某些股票在某些时段内有一个绝对主导的大买家在操作,方法真正的使用是在一个大的股票池内(比如300多只股票)实时监测假设3情形的出现,然后按算法进行操作。”
①经常会出现历史数据适用程度好,但是在未来却不一定好,这种现象有点类似机器学习中的过拟合,并且一只股票已经涨了很多,未来一段时间也大概率不会再涨,所以是不是还不能直接用选最优参数时段的表现来排序,或者选股上还需要反向操作?比如要看过去一段时间buy&hold表现不好的股票。
②适用程度是不是还需要衡量a6和a7的发散?不知道是不是要评估模型的收敛程度。
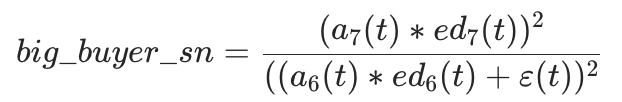
③如何监控假设3的出现,即如何判断在某段时间是否有绝对主导的大买家操作?我按王老师论文中的S/N的计算方法,改为各时刻大买家或者大卖家对价格控制力,然后在买入前看t-N是否出现过big_buyer_sn >= 1.0的情况,或者t时刻big_seller_sn >= 1.0的情况,是能过滤一些操作,但是综合多只股票来看还是不如原来ridemood版本的效果好。并且在您提过的新鸿基官商勾结的那段时间,big_seller_sn其实是很小的。

关于判断一只股票是不是有大买家在操作,您提到的需要结合当前板块的情况,分析是不是会有大买家,不知道您是不是用了技术分析中一些量价指标,比如长下影线,横盘吸筹(OBV和价格关系)等技术性指标的分析,来判断是不是大庄家在买入。
四、实盘
①由于资金有限,能同时持有的股票数也有限,由于我没有研究好选股模块,导致经常会出现错过一些收益高的,而买入了一些负向收益的,而且我感觉是选股做的不好的情况下,增大同时持有的股票池可以增加收益稳定性,但是这个和您说的“分散投资是骗人的鬼话”是不符合的。我现在在加密货币市场上实盘,好处是每个标的最低买入限制很小,所以少量的资金都能同时持有足够多只加密货币,我不知道您实盘的时候同时能持有的股票数是有多少?
②另外您操作的时候资金量肯定很大,不能简单地买入卖出,这样很容易被庄家发现,不知道您到后期资金量那么大的情况下,是如何不分散投资还能保证收益的。
五、感谢并欢迎王立新老师指教更多的问题!
参考资料:
[1] 2025-09-15 22:32,模糊理论的金融实践(四):大户操盘下的价格动态方程与跟庄投资算法
https://blog.sciencenet.cn/blog-2999994-1502116.html
[2] Wang, Li-Xin. "Dynamical models of stock prices based on technical trading rules part I: The models." IEEE Transactions on Fuzzy Systems 23.4 (2014): 787-801.
https://arxiv.org/pdf/1401.1888
[3] Wang, Li-Xin. "Dynamical models of stock prices based on technical trading rules part I: The models." IEEE Transactions on Fuzzy Systems 23.4 (2014): 787-801.
https://arxiv.org/pdf/1401.1891
[4] Wang, Li-Xin. "Dynamical models of stock prices based on technical trading rules part I: The models." IEEE Transactions on Fuzzy Systems 23.4 (2014): 787-801.
https://arxiv.org/pdf/1401.1892
[5] 王立新,fuzzywanglixin,科学网博客
https://blog.sciencenet.cn/home.php?mod=space&uid=2999994
http://blog.sciencenet.cn/u/fuzzywanglixin
以前的《科学网》相关博文链接:
[1] 2024-12-30 22:49,[请教] 曾参的“致知在格物,物格而后知至”,是不是说“科学是一切的源头?”
https://blog.sciencenet.cn/blog-107667-1466685.html
[2] 2024-05-16 22:49,[请教,讨论] 同一律与柯尔莫哥洛夫 Kolmogorov 的数学观
https://blog.sciencenet.cn/blog-107667-1434414.html
[3] 2023-04-19 19:24,[小资料,请教] 《初中地理》中的中国季风
https://blog.sciencenet.cn/blog-107667-1384880.html
[4] 2023-02-19 17:08,[请教] 同时使用“声波”、“光波”(回声定位、眼睛视觉)定位的动物都有哪些?
https://blog.sciencenet.cn/blog-107667-1376967.html
[5] 2022-12-11 16:41,[请教] 能量守恒与“相干波的能量佯谬”
https://blog.sciencenet.cn/blog-107667-1367500.html
[6] 2019-10-06 11:55,[请教] “能量守恒与转化定律”有没有确凿的反例?
https://blog.sciencenet.cn/blog-107667-1200807.html
[7] 2018-02-12 13:46,[请教]“达尔文生物进化论”近年有哪些重要的实验结果?
https://blog.sciencenet.cn/blog-107667-1099568.html
[8] 2015-08-28 16:46,[请教] 计算风速时间序列之间“相关性”的最好定量方法
https://blog.sciencenet.cn/blog-107667-916688.html
[9] 2014-10-21 09:46,[请教]平行导线间磁力大小,与电流方向的关系
https://blog.sciencenet.cn/blog-107667-837340.html
[10] 2014-10-14 15:18,[请教] 相互独立的随机变量的方差计算
https://blog.sciencenet.cn/blog-107667-835600.html
[11] 2013-08-16 12:56,[请教] 风电、光电等可再生能源的负面作用
https://blog.sciencenet.cn/blog-107667-717316.html
[12] 2012-07-30 12:50,[请教] 相关系数、n阶相关、互信息
https://blog.sciencenet.cn/blog-107667-597293.html
感谢您的指教!
感谢您指正以上任何错误!
感谢您提供更多的相关资料!
Archiver|手机版|科学网 ( 京ICP备07017567号-12 )
GMT+8, 2025-12-24 22:10
Powered by ScienceNet.cn
Copyright © 2007- 中国科学报社