||
近期,中国农业大学农学院陈阜教授团队完成的题为“Irrigation modulates appearance, cooking, nutritional, and aroma quality in traditional and modern foxtail millet cultivars”的研究在Journal of Integrative Agriculture(JIA)优先上线发表。
该研究系统揭示了灌溉、品种特性和气候条件如何交互作用,共同影响谷子的外观、蒸煮、营养品质和挥发性代谢物。研究为优质谷子品种选育和精准水分管理提供了重要的理论依据和实践指导。
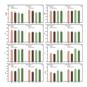
灌溉对传统和现代谷子品种外观品质的影响
灌溉显著改变了谷粒的外观。在降水较多的年份(2023),灌溉能提升谷粒的亮度(L*)和黄色度(b*),现代品种“长生13”的外观响应比传统品种“晋谷6号”更强烈。但在干旱年份(2024),灌溉反而降低了谷粒的黄色度,且传统品种的下降幅度更大。这表明现代品种在外观品质上对水分的利用效率可能更高。

图1 灌溉对传统和现代谷子品种外观品质的影响
灌溉对传统和现代谷子品种蒸煮品质的影响
蒸煮品质(如黏度、硬度)是决定小米口感的关键。研究显示,在多雨年,灌溉提升了两个品种的蒸煮品质,使其更软糯。然而,在干旱年,灌溉优化了传统品种的蒸煮特性,却导致了现代品种蒸煮品质的下降。这可能与现代品种在水分剧烈波动下淀粉合成更易受影响有关。

图2 灌溉对传统和现代谷子品种蒸煮品质的影响
灌溉对传统和现代谷子品种营养品质的影响
灌溉同样引起营养成分的消长。在多雨年,灌溉降低了两个品种的脂肪和可溶性糖含量,提高了直链淀粉含量。在干旱年,灌溉则降低了直链淀粉、黄色素和糖含量,但显著提高了蛋白质含量。蛋白质的增加可能是导致干旱年灌溉条件下米粥口感变差的原因之一。

图3 灌溉对传统和现代谷子品种营养品质的影响
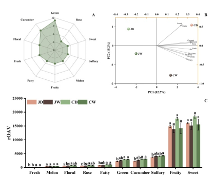
灌溉对传统和现代谷子品种挥发性代谢物的影响
采用气相色谱-质谱联用技术,共鉴定出406种挥发性代谢物,其中酯类、杂环类和萜烯类占比超过50%。基于相对气味活度值(rOAV)分析,不同谷子品种与灌溉条件对风味特征具有显著影响,现代品种的甜香、果香等风味优于传统品种。灌溉处理下,传统和现代谷子品种的甜味与果香气味活度值降低,而其他风味的气味活度值则有所提升。

图4 灌溉对传统和现代谷子品种气味活性值的影响
灌溉主要通过调控“萜类化合物生物合成”通路来改变谷子的香气特征。无论传统还是现代品种,灌溉均激活了以萜类合成为核心的次级代谢网络。灌溉显著降低了传统品种中具有青草气味的“2-壬烯醛”含量,同时增加了现代品种中带有甜香、坚果香的“二氢-2-甲基-3(2H)-呋喃酮”含量。这些关键差异代谢物是导致品种间风味差异的直接物质基础。

图5 灌溉对传统和现代谷子品种差异代谢物的影响
本研究系统阐明了灌溉、品种和气候三者对谷子品质的互作机制:在多雨年,灌溉可提升外观与蒸煮品质,但可能降低部分营养指标;在干旱年,灌溉有助于优化传统品种的蒸煮特性,但可能对现代品种的蒸煮和外观品质产生负面影响。灌溉通过调控萜类物质代谢,削弱了品种间的风味差异。该研究为不同气候条件下谷子的品质调优栽培提供了科学依据。
中国农业大学陈阜教授为通讯作者,博士生马珂为第一作者。该研究获得国家重点研发计划资助。
| Cite this article: Ke Ma, Zheng Jia, Yiru Wang, Meng Zhao, Xinya Wen, Fu Chen. 2026. Irrigation modulates appearance, cooking, nutritional, and aroma quality in traditional and modern foxtail millet cultivars. Journal of Integrative Agriculture, Doi:10.1016/j.jia.2026.01.027 |
Journal of Integrative Agriculture(《农业科学学报(英文)》, JIA)由中华人民共和国农业农村部主管,中国农业科学院与中国农学会主办,中国农业科学院农业信息研究所承办。综合性英文学术期刊,月刊。创刊于2002年,现任主编为中国科学院院士陈化兰。JIA主要栏目有作物科学、园艺、植物保护、动物科学、动物医学、农业生态环境、食品科学、农业经济与管理等。刊稿类型有综述、研究论文、简报以及评述等。全部论文在Elsevier-ScienceDirect (SD) 平台OA出版。最新SCI影响因子4.4,位于SCI-JCR农业综合学科Q1区。中国科学院分区农林科学1区。2016年以来先后获得中国科协等部委 “提升计划”“登峰计划”“卓越计划”项目支持。
Archiver|手机版|科学网 ( 京ICP备07017567号-12 )
GMT+8, 2026-3-14 12:53
Powered by ScienceNet.cn
Copyright © 2007- 中国科学报社