||
水稻再生高产栽培技术是南方诸多省份提高复种指数、稳定稻谷总产,保障区域粮食安全的一项重要稻作措施,具有省种、省工、省肥、省水、省时、米质优等特点,特别适合在光温资源“一季有余,两季不足”的南方丘陵地区推广。然而,传统的再生稻人工成本高,效益低,不为农民所接受,因而发展机收再生稻成为必然选择。要实现这一技术转型的关键在于:(1)必须选用适合机械化栽培的再生稻品种;(2)在此前提下,如何通过优化水肥管理技术有效降低机收对稻桩碾压损失的影响,进而提高再生率,增加再生季稻(RSR)群体生长均衡度和成熟整齐度,最终实现高产优质的重点。
针对上述问题,福建农林大学林文雄教授团队在国家和省级重点科技攻关项目支持下,开展了多年的系统研究,提出了以低留桩,两次烤田,优化机收线路和适度前氮后移的高产栽培技术(图 1),连续8年亩产突破吨粮,两季最高总产每亩达1.5吨,实现了高产和低排的双赢目的。然而如何实现其高碳收支盈余机制尚不清楚,亟待深入研究。

A为头季稻灌浆期长势;B头季稻成熟期长势;C为头季稻“回”字型收割路线;D为头季稻低留桩收割情景;E为再生季分蘖期;F为再生季稻成熟期长势近期
图1 机收再生稻关键时期的田间作业示意图
近期,福建农林大学林文雄教授领衔的再生稻科技创新团队完成的题为“Underlying mechanisms of high carbon budget surplus in low-stubble rice ratooning in Southeast China”的研究在Journal of Integrative Agriculture(JIA)2026年3期正式发表。
该研究表明,相较于单季稻(LR1)和双季稻(DR),再生稻(RR)具有更强的碳汇功能,碳收支盈余量为22.4 t CO2-eq ha-1,特别是其再生季稻(RSR)相比头季稻(MC)、LR1和DR模式具有更高的日均产量和更低的日均碳排放量,因而降低了碳、氮足迹,提高了资源利用率和经济效益。
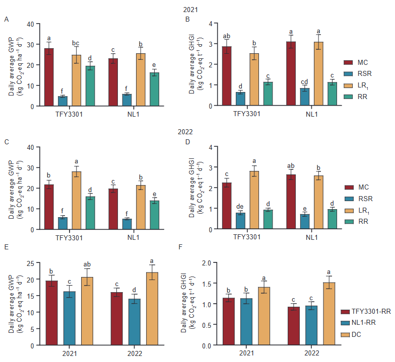
该研究以中熟籼型杂交稻泰丰优3301(TFY3301)和籼粳杂交稻甬优2640(YY2640),中早熟籼型常规稻南凌1号(NL1),早熟佳辐占(JFZ)为供试水稻材料。 设置了三种水稻种植模式:再生稻模式(RR)、单季稻(LR1)和双季稻(DC)。研究采用密闭静态暗箱气体收集、干物质测定、13C同位素示踪、生命周期评估等方法,探究了RR的“高碳固定-低碳排放”的机制。从作物产量、温室气体排放强度(GHGI)、碳氮足迹、资源利用效率、碳收支平衡等多个维度进行了综合研究分析。
结果表明,2021—2022年,再生季稻(RSR)平均日产量较头季稻(MC)和LR1高出28.21%–47.40%,RR平均日产量较DR高出13.50%–27.76%,这归因于13C标记的光合产物(或非结构性碳水化合物,NSC)向穗器官的分配增加了32.32%–39.26%,而向地下根系和土壤的分配减少了21.77%–43.51%。此外,RR日平均全球增温潜势(GWP)为16.44 kg CO2-eq ha-1,比LR1和DR分别降低34.21%、22.90%。同样,RR的日平均GHGI分别比LR1和DR分别低了62.28%和28.96%。最终RR年平均碳收支盈余量为22.4 t CO2-eq ha-1,是LR1和DR的1.99和0.94倍,且资源利用效率分别比LR1和DR高出24.42%和47.50%,日平均经济效益也分别提高了32.71%和80.75%(图2、3)。

图2 2021-2022年头季稻与再生稻及其同期抽穗单季中晚稻和双季稻温室气体排放通量

图3 再生稻及其相关稻作模式的碳收支平衡状况与生态经济效益差异比较
本研究率先揭示了再生稻及其相关稻作模式碳收支平衡的差异及其形成机制,该结果对于促进研究建立再生稻碳计量标准,探索碳交易和生态补偿措施,增加生态经济效益,推进农业碳中和技术研究与应用,保障粮食安全具有重要理论和实践意义。
福建农林大学农业生态研究所苏凯副教授和林文雄教授为该论文的共同通讯作者,福建农林大学农业生态研究所范巧红硕士为该文章第一作者。该研究得到了国家重点研发计划项目的资助。
Cite the article:
Underlying mechanisms of high carbon budget surplus in low-stubble rice ratooning in Southeast China. Journal of Integrative Agriculture, 25(3): 918-937.
https://doi.org/10.1016/j.jia.2025.07.012
Journal of Integrative Agriculture(《农业科学学报(英文)》, JIA)由中华人民共和国农业农村部主管,中国农业科学院与中国农学会主办,中国农业科学院农业信息研究所承办。综合性英文学术期刊,月刊。创刊于2002年,现任主编为中国科学院院士陈化兰。JIA主要栏目有作物科学、园艺、植物保护、动物科学、动物医学、农业生态环境、食品科学、农业经济与管理等。刊稿类型有综述、研究论文、简报以及评述等。全部论文在Elsevier-ScienceDirect (SD) 平台OA出版。最新SCI影响因子4.4,位于SCI-JCR农业综合学科Q1区。中国科学院分区农林科学1区。2016年以来先后获得中国科协等部委 “提升计划”“登峰计划”“卓越计划”项目支持。
Archiver|手机版|科学网 ( 京ICP备07017567号-12 )
GMT+8, 2026-3-14 19:27
Powered by ScienceNet.cn
Copyright © 2007- 中国科学报社