||

质子交换膜燃料电池(PEMFC)是清洁能源转换的核心装置,其性能瓶颈长期受限于质子导体的传输效率与稳定性。近日,刘百玲教授、李阳光教授、臧宏瑛教授等东北师范大学和长春理工大学合作团队,在Angew. Chem. Int. Ed.发表题为Structural Effects in Polyoxometalate‐Based Supramolecular Assemblies for Enhanced Proton Conduction的研究论文。该团队通过水相自组装策略合成BPN超分子簇质子导体,实现了“高传导率-低活化能-强稳定性”的协同,为下一代PEMFC关键材料设计提供了模块化新路径。

01
背景介绍1. 研究意义
质子导体是PEMFC的“核心骨架”,其电荷辅助氢键网络的精准度直接决定电池的能量转换效率与服役寿命。开发兼具高质子传导率、低传输能垒与宽环境耐受性的质子导体,是推动PEMFC向便携式电子设备、小型分布式电源等场景实用化的关键,对实现“双碳”目标具有重要支撑作用。
2. 研究现状
当前质子导体研究存在两大核心局限:①多数研究仅关注材料整体离子传导率,忽略局部质子传输的微观异质性(如不同吸附位点的迁移速率差异),导致无法从分子层面优化传导路径;②传统材料难以平衡“三性能”——MOF基质子导体湿度敏感性强、离子omer体系质子通道因相分离受湿度制约,均无法同时满足高传导率、低活化能与长期稳定性的需求。
3. 科学问题
如何通过分子级结构设计,构建具有可编程质子传输路径的质子导体,同时实现高传导率、低活化能与优异环境稳定性的协同?如何揭示超分子组装体中局部位点质子传输的动态差异,为材料设计提供明确的机制支撑?
4. 研究创新
首次通过水相自组装策略,将[Bi₆O₅(OH)₃]⁵⁺铋氧簇与[PW₁₂O₄₀]³⁻多金属氧酸盐(POM)结合,形成BPN超分子簇材料(化学式:[Bi₆O₅(OH)₃]₂.₂₄[PW₁₂O₄₀][NO₃]₂.₄[H₃O]₅.₈)。该设计利用“铋氧簇提升质子迁移率+POM稳定传输过渡态”的协同作用,搭配动态氢键网络,突破了传统均质材料的性能局限。
02
实验部分1. 材料合成通过铋硝酸盐水解(pH = 1-3)制备质子化铋氧簇[Bi₆O₅(OH)₃]⁵⁺,再与[PW₁₂O₄₀]³⁻(HPW)通过电荷辅助氢键自组装,生成BPN超分子簇;2. 结构与机制表征采用分子动力学(MD)模拟分析自组装过程与质子传输路径,密度泛函理论(DFT)计算质子转移能垒;通过¹H魔角旋转核磁共振(¹H MAS NMR)解析质子动态行为,X射线吸收光谱(XAS)表征W的价态与配位环境,结合FT-IR、Raman、HRTEM/STEM验证超分子结构;3. 性能测试电化学阻抗法测试不同温度(25-90 °C)、湿度(45%-97% RH)下的质子传导率;循环伏安法(CV)评估抗氧化稳定性;制备BPN-Nafion复合膜,在80 °C、1 M甲醇工况下测试直接甲醇燃料电池(DMFC)的开路电压(OCV)与功率密度。
03
成果简介(一)关键结构特征:超分子组装的层级有序性BPN通过“电荷辅助氢键+静电互补”形成稳定的层级结构,为质子传输提供连续通道。MD模拟显示,铋氧簇以面心立方模式围绕POM排列(类似萤石(CaF₂)晶体堆积),硝酸根离子维持体系电荷中性,确保结构热力学稳定(图1)。
图1 BPN超分子结构的MD模拟图。a)分子动力学轨迹显示稳定纳米单元的自发形成,铋氧簇以面心立方模式围绕多金属氧酸盐簇排列,与萤石(CaF₂)晶体的空间堆积结构相似。b) MD模拟最终快照,展示Bi₆O₈-POM的自组装纳米晶结构(橙蓝色为硝酸根反离子,用于电荷中性)。c) BPN的扩展超分子预组装结构。d)、e) BPN预组装结构的势能演化曲线,证实其热力学稳定性。
XAS与NMR进一步验证结构协同性:BPN中W的L₃边XANES光谱峰强与WO₃接近,结合XPS可知W以W⁵⁺/W⁶⁺混合价态存在(平均价态5.9),确保质子与电子传导的协同(图2);¹H MAS NMR显示,BPN中Bi-O-H信号从纯铋氧簇(BON)的5.9 ppm移至6.4 ppm,证实铋氧簇与POM间形成强W-O∙∙∙H-O-Bi氢键,为质子跳跃提供关键路径。

图2 BPN的结构表征图。a)-d) BPN分子簇组装过程的几何优化图([PW₁₂O₄₀]为红紫色、[Bi₆O₈]簇为金橙色、NO₃⁻反离子为橙蓝色)。e) BPN样品、W箔与WO₃的W L₃边XANES光谱。f) 三者的W L₃边EXAFS傅里叶变换图。g) BPN的EXAFS拟合曲线。h)-j) W箔、WO₃、BPN的WT-EXAFS图。
(二)核心性能突破:传导率、稳定性与应用价值的协同
1. 质子传导性能:媲美商用Nafion,低能垒优势显著
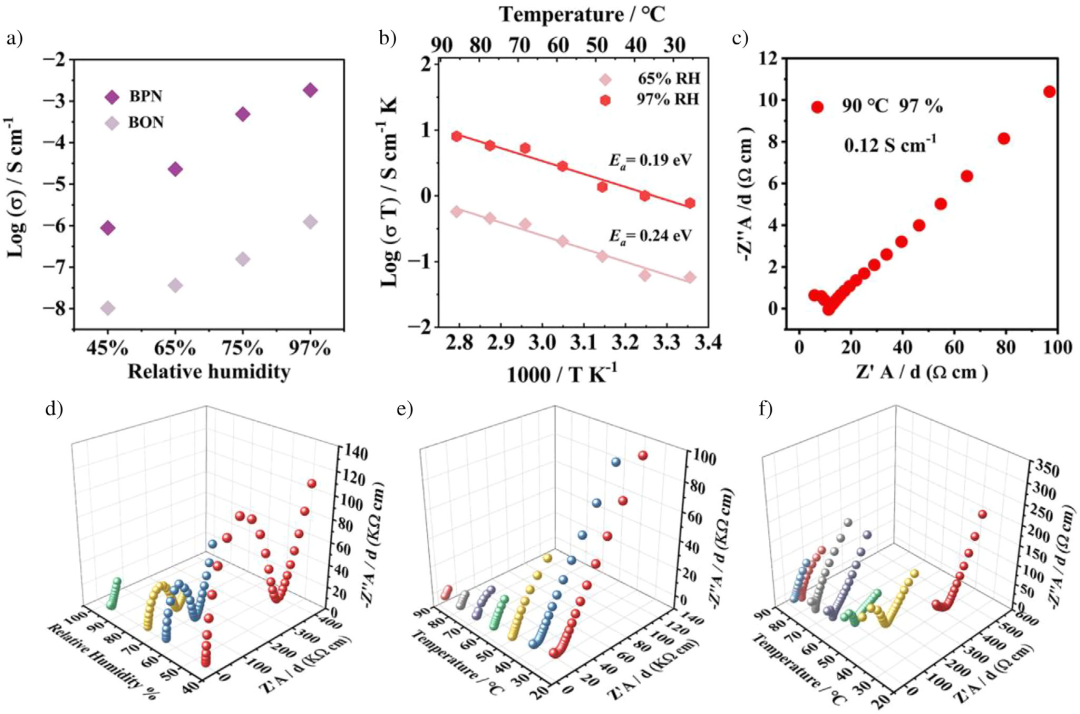
90 °C、97%相对湿度(RH)下,BPN的质子传导率达0.12 S∙cm⁻¹,与商用Nafion膜性能相当,远超多数固态质子导体;25℃、97% RH下传导率为5.6×10⁻³ S∙cm⁻¹,且在90 °C、97% RH下连续运行72 h性能无衰减,证实长期稳定性(图3)。
活化能分析揭示高效传导机制:97% RH下BPN的活化能低至0.19 eV,远低于纯铋氧簇的0.52 eV,这源于Grotthuss型质子跳跃——动态氢键网络促进Eigen阳离子(H₃O⁺(H₂O)₃)与Zundel阳离子(H₂O∙∙∙H⁺∙∙∙OH₂)快速互转化,大幅降低质子传输能垒。

图3 BPN的质子传导性能测试图。a) 298 K(室温)下BPN的传导率(σ)随相对湿度的变化。b) BPN在65% RH与97% RH下的质子传导率阿伦尼乌斯图(实线为最小二乘拟合)。c) 90 °C、97% RH下BPN的典型奈奎斯特图(传导率达0.12 S∙cm⁻¹,与Nafion相当)。d)-f) 不同湿度、温度下BPN的奈奎斯特图。
2. 稳定性:耐受强酸、氧化与高温,满足长期服役
化学稳定性:3 M HCl溶液浸泡后结构无破坏,在H₂O₂环境中可催化分解过氧自由基(避免燃料电池中过氧化物对膜的损伤);
热稳定性:粉末X射线衍射(P-XRD)证实220 °C以下保持晶相稳定;
水稳定性:水中浸泡1680 h无POM泄漏(UV-vis未检测到250 nm处POM特征峰)。
3. DMFC应用:性能提升超59%,实用价值凸显
BPN-Nafion复合膜组装的DMFC,在80℃、1 M甲醇进料条件下,开路电压(OCV)达0.82 V,最大功率密度为86 mW∙cm⁻²,较纯Nafion膜(OCV 0.54 V、功率密度54 mW∙cm⁻²)性能提升59.3%,证实其实际应用潜力(图4)。

图4 BPN的电化学性能与DMFC应用图。a) BPN在0.1 M PBS溶液(pH = 7.4)中对H₂O₂的电催化还原曲线(扫描速率200 mV·s⁻¹)。b) BPN基选择性电极的电位-时间响应曲线(插图为能斯特校准曲线)。c)不同扫描速率下BPN的循环伏安图。d)重铸Nafion膜与Nafion/BPN-3%复合膜的DMFC性能对比(80 ℃、1 M甲醇工况)。
(三)核心机制创新:揭示质子传输的微观调控规律
1. 局部位点异质性:Bi-O位点为质子“快速通道”
¹H MAS NMR测得:Bi-O吸附质子的自旋-晶格弛豫时间(T₁)显著短于W-O吸附质子,证实Bi-O位点质子迁移率更高;变温NMR显示,W-O-H⁺质子的T₁随温度升高呈阿伦尼乌斯型增长(热激活迁移),而Bi-O-H⁺质子T₁基本不变(强氢键固定),揭示“柔性W-O位点传输+刚性Bi-O位点锚定”的协同机制(图5)。

图5 BPN的质子动态行为分析图。a) BON(黑色)与BPN(红色)的室温¹H MAS NMR光谱(15 kHz转速)。b) BPN的变温¹H MAS NMR光谱。c) ¹H自旋-晶格弛豫时间(T₁)随温度(298-330.5 K)的变化(600 MHz光谱仪,饱和恢复脉冲序列)。d)质子转移路径的能量示意图。e) 超分子簇中不同吸附位点的水介导质子迁移路径。f)、g) 298 K、330.5 K下BPN的¹H自旋-晶格弛豫延迟(T₁)测试图。h) O-Bi与O-W的电荷分布示意图。
2. POM-铋氧簇协同降垒:能垒从1.66 eV降至0.14 eV
DFT计算表明:纯铋氧簇中质子转移能垒高达1.66 eV,而POM的引入可通过稳定过渡态将能垒降至0.14 eV;同时POM的电荷离域效应削弱铋氧簇对质子的库仑引力,进一步促进质子解离,为高效传导提供能量优势。
3. 水分子调控传输路径:水合度决定通道连续性
MD模拟显示,随水含量增加,水分子优先在POM表面形成吸附层(径向分布函数(RDF)图在7 Å处出现强吸附峰),逐步取代铋氧簇与POM的直接作用,形成连续质子通道;当水吸附量达6.1 wt.%时,质子传输效率最优(图6)。

图6 不同水合度下BPN的模拟与RDF分析图。a)-c)不同水分子数量(200、1000、2000个)下BPN组装体的快照(红色:Keggin阴离子,蓝色:水组分,黄色:[Bi₆O₈]簇阳离子)。d)不同水合度下Keggin阴离子间P-P距离的分布。e)不同水合度下Keggin阴离子周围水分子的RDFs。f)不同水合度下Keggin阴离子周围水分子与[Bi₆O₈]阳离子的RDFs。
04
总结与展望该研究提出“无机簇单元+动态氢键网络”的模块化设计策略,不仅首次揭示超分子组装体中局部位点质子传输的异质性机制,更开发出性能媲美商用Nafion且稳定性更优的BPN质子导体。其BPN-Nafion复合膜在DMFC中的优异表现,为便携式电子、无人机等场景的清洁能源装置提供关键材料支撑,同时为下一代质子导体的“结构-性能”精准设计提供了明确的科学指导,推动PEMFC向高效率、长寿命、低成本方向发展。
文章信息
Bo Hu, Bailing Liu, Qingqing Pan, Hongda Ren, Feiyang Yu, Qiuchen Du, Yangguang Li, Hong-Ying Zang*. Structural Effects in Polyoxometalate-Based Supramolecular Assemblies for Enhanced Proton Conduction. Angew. Chem. Int. Ed. 2025, e202517958.
https://doi.org/10.1002/anie.202517958
识别二维码或点击文末“阅读原文”免费下载阅读文章

Polyoxometalates于2022年创刊,由清华大学主办,清华大学魏永革教授担任主编的国际首个多金属氧簇等团簇领域跨学科学术期刊,旨在传播多金属氧簇等团簇领域前沿基础研究和创新性应用研究最新进展,致力于为国内外多金属氧簇等团簇领域的学者搭建一流的国际学术交流平台,促进多金属氧簇等团簇领域学术交流和发展。
Polyoxometalates发表内容涵盖多金属氧簇等团簇领域各方面的原创研究和综述论文,包括合成、组装、理论计算,基于多金属氧簇等团簇的超分子、分子器件及其它功能材料,以及多金属氧簇等团簇在催化、能源、环境、生物学和医学中的应用等。本刊为开放获取期刊。已被ESCI、Scopus、Ei Compendex、CAS、DOAJ数据库收录。欢迎大家选择Polyoxometalates发表前沿、创新、新颖的研究成果!

全部论文均为开放获取,识别二维码免费下载阅读文章

❖ 包括但不限于多金属氧簇等团簇的合成、组装、理论计算,基于多金属氧簇等团簇的超分子、分子器件及其它功能材料,以及多金属氧簇等团簇在催化、能源、环境、生物学和医学中的应用等。
❖ Polyoxometalates邀请您提交原创研究、研究快报、综述、观点、研究亮点及评论等。所有论文一经录用,24小时内在线发表。
投稿网址:
https://mc03.manuscriptcentral.com/pomc
投稿请联系:
pom@tup.tsinghua.edu.cn
Archiver|手机版|科学网 ( 京ICP备07017567号-12 )
GMT+8, 2025-12-29 23:45
Powered by ScienceNet.cn
Copyright © 2007- 中国科学报社