liuzhiming69的个人博客分享 http://blog.sciencenet.cn/u/liuzhiming69

博文

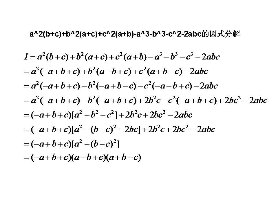
a^2(b+c)+b^2(a+c)+c^2(a+b)-a^3-b^3-c^2-2abc的因式分解

已有 499 次阅读 2026-1-29 06:54 |系统分类:科研笔记

演示文稿1.jpg



https://blog.sciencenet.cn/blog-3556836-1520287.html

上一篇:x+y+z=2,x²+y²+z²=2,求 xyz 最大值之二
下一篇:3x^2+8xy-3y^2+4x+22y-7因式分解
收藏 IP: 121.28.181.*| 热度|

0

该博文允许注册用户评论 请点击登录 评论 (0 个评论)

数据加载中...

Archiver|手机版|科学网 ( 京ICP备07017567号-12 )

GMT+8, 2026-4-23 08:08

Powered by ScienceNet.cn

Copyright © 2007- 中国科学报社

返回顶部