liuzhiming69的个人博客分享 http://blog.sciencenet.cn/u/liuzhiming69

博文

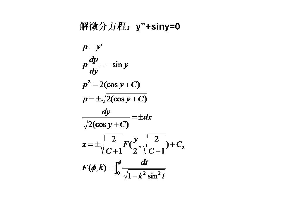
解微分方程:y”+siny=0

已有 789 次阅读 2025-12-29 06:14 |系统分类:科研笔记

演示文稿1.jpg



https://blog.sciencenet.cn/blog-3556836-1516203.html

上一篇:积分:(1-lnx)/(x-lnx)^2
下一篇:求(1+x-1/x)e^(x+1/x)的积分
收藏 IP: 121.28.181.*| 热度|

1 王涛

该博文允许注册用户评论 请点击登录 评论 (0 个评论)

数据加载中...
扫一扫,分享此博文

Archiver|手机版|科学网 ( 京ICP备07017567号-12 )

GMT+8, 2026-4-25 08:36

Powered by ScienceNet.cn

Copyright © 2007- 中国科学报社

返回顶部