liuzhiming69的个人博客分享 http://blog.sciencenet.cn/u/liuzhiming69

博文

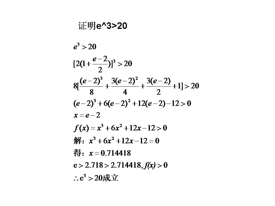
证明e^3>20

已有 1098 次阅读 2025-12-22 08:12 |系统分类:科研笔记

演示文稿1.jpg



https://blog.sciencenet.cn/blog-3556836-1515292.html

上一篇:1/x+1/y=2/3计算程序
下一篇:是否存在x,y是正整数,使得(xy+1)(xy+x+2)完全平方数?
收藏 IP: 121.28.181.*| 热度|

0

该博文允许注册用户评论 请点击登录 评论 (0 个评论)

数据加载中...
扫一扫,分享此博文

Archiver|手机版|科学网 ( 京ICP备07017567号-12 )

GMT+8, 2026-4-25 05:36

Powered by ScienceNet.cn

Copyright © 2007- 中国科学报社

返回顶部