liuzhiming69的个人博客分享 http://blog.sciencenet.cn/u/liuzhiming69

博文

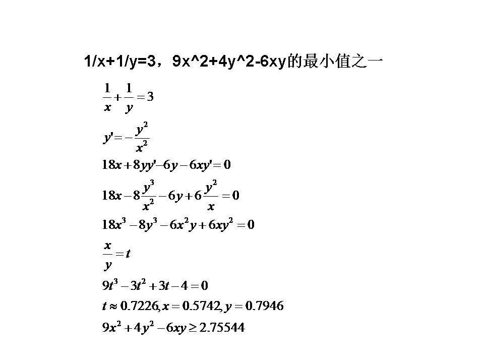
1/x+1/y=3,9x^2+4y^2-6xy的最小值之一

已有 869 次阅读 2025-12-18 10:06 |系统分类:科研笔记

演示文稿1.jpg



https://blog.sciencenet.cn/blog-3556836-1514817.html

上一篇:1/x+1/y=3,9x^2+4y^2-6xy的最小值
下一篇:x,y满足x^2+y^2-xy=1,求x^2+y^2最小值?
收藏 IP: 121.28.181.*| 热度|

1 王涛

该博文允许注册用户评论 请点击登录 评论 (0 个评论)

数据加载中...
扫一扫,分享此博文

Archiver|手机版|科学网 ( 京ICP备07017567号-12 )

GMT+8, 2026-4-25 17:02

Powered by ScienceNet.cn

Copyright © 2007- 中国科学报社

返回顶部