liuzhiming69的个人博客分享 http://blog.sciencenet.cn/u/liuzhiming69

博文

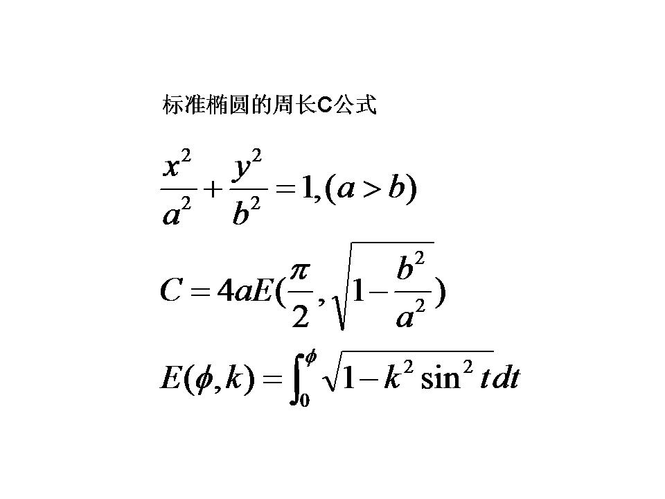
标准椭圆的周长C公式

已有 145 次阅读 2025-12-9 16:08 |系统分类:科研笔记

演示文稿1.jpg



https://blog.sciencenet.cn/blog-3556836-1513604.html

上一篇:积分:2xdy-2ydx=sqrt(x^2+4y^2)dx,(x>0)
下一篇:已知正数x,y,z满足x+y+z=3,求xyz+x/y+y/z+z/x的最小值
收藏 IP: 121.28.181.*| 热度|

0

该博文允许注册用户评论 请点击登录 评论 (0 个评论)

数据加载中...

Archiver|手机版|科学网 ( 京ICP备07017567号-12 )

GMT+8, 2025-12-13 21:55

Powered by ScienceNet.cn

Copyright © 2007- 中国科学报社

返回顶部