liuzhiming69的个人博客分享 http://blog.sciencenet.cn/u/liuzhiming69

博文

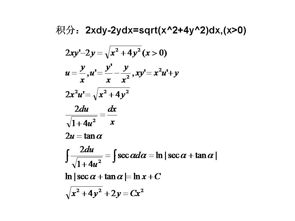
积分:2xdy-2ydx=sqrt(x^2+4y^2)dx,(x>0)

已有 176 次阅读 2025-12-8 07:51 |系统分类:科研笔记

演示文稿1.jpg



https://blog.sciencenet.cn/blog-3556836-1513366.html

上一篇:硅基类神经元芯片的一个单元的构想
下一篇:标准椭圆的周长C公式
收藏 IP: 121.28.181.*| 热度|

1 王涛

该博文允许注册用户评论 请点击登录 评论 (0 个评论)

数据加载中...

Archiver|手机版|科学网 ( 京ICP备07017567号-12 )

GMT+8, 2025-12-16 04:09

Powered by ScienceNet.cn

Copyright © 2007- 中国科学报社

返回顶部