||
研究背景
流感病毒每年在全球造成约10亿人感染,300万至500万人重症,以及29万至65万人死亡。尽管有多种疫苗和抗病毒药物,流感病毒仍然导致大量的发病和死亡。由于抗原漂移和转变,针对多种亚型、甚至是同一亚型内已发生漂变的毒株的广谱保护性疫苗和疗法,能够极大地改善流感的长期预防与控制。血凝素 (Hemagglutinin, HA) 表面糖蛋白是自然感染获得的和疫苗诱导的免疫所靶向的主要抗原。抗原漂移主要导致HA的膜远端球状头部发生氨基酸变化,因此,广谱中和抗体 (Broadly Neutralizing Antibodies, bNAbs) 正被开发用于靶向膜近端茎部保守表位。2009年H1N1病毒中HA2残基A44 (位于中央茎部表位下方) 的突变已被证实会导致对茎部结合bNAbs的耐药性。
美国圣裘德儿童研究医院宿主与微生物互作团队在 Viruses 发表研究,该研究将A44V和A44T突变引入A/Tennessee/1-560/2009 (TN09) 和A/Puerto Rico/15/2018 (PR18) 两种病毒株,并研究了这些突变在细胞培养、小鼠和雪貂体内的影响。揭示了HA稳定性在HA茎表位重塑过程中的作用,这种重塑导致病毒对茎部结合bNAbs产生耐药性。
研究内容
HA2-A44突变降低bNAbs结合和中和能力,降低HA和病毒稳定性
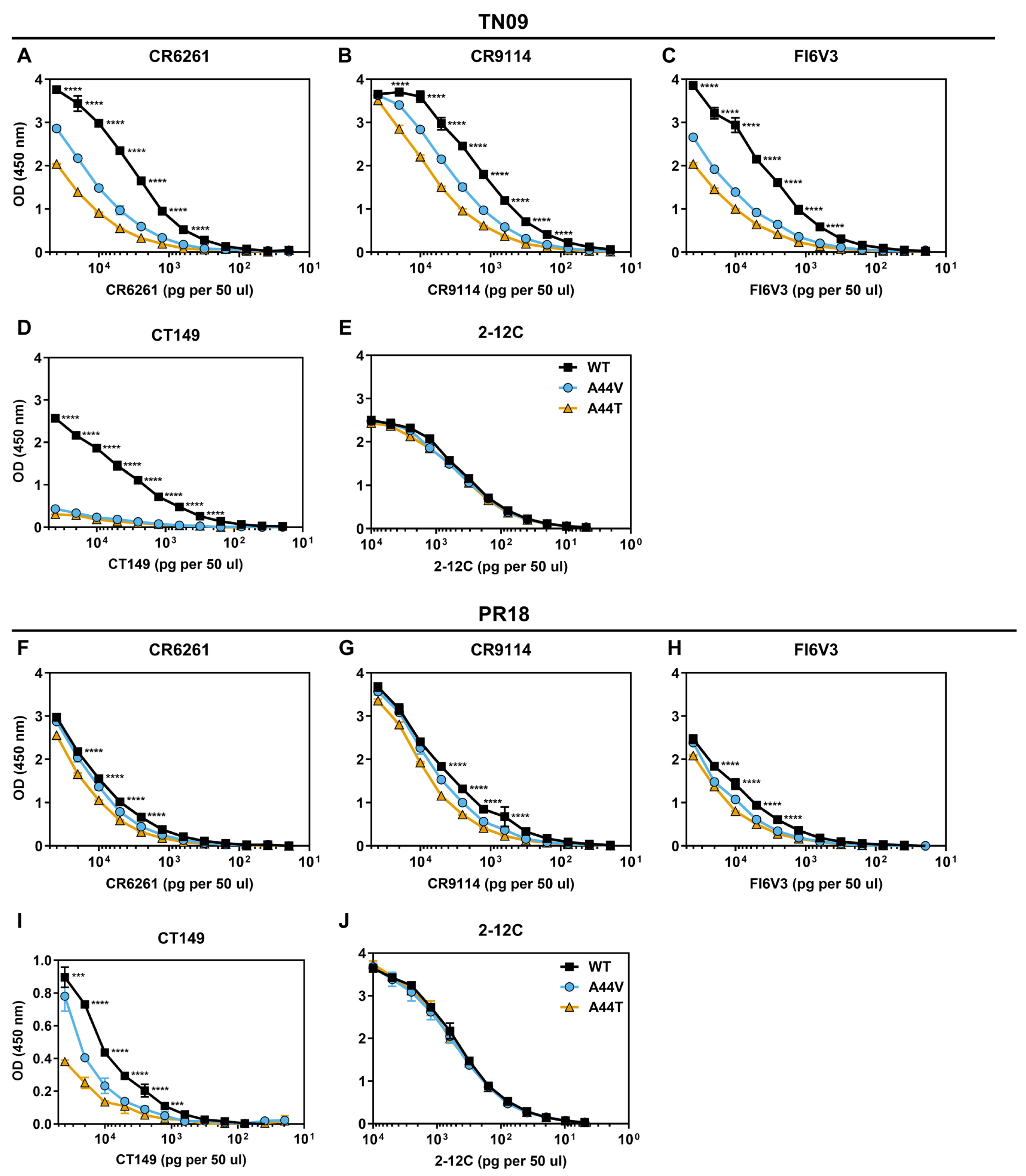
该研究共构建了六株重组病毒,包括两种遗传背景 (TN09和PR18) 和三种HA突变体 (WT、A44V和A44T)。采用ELISA法检测了茎部结合bNAbs (CR6261、CR9114、FI6V3和CT149) 的结合情况。靶向HA头部结构域的抗体2-12C作为阴性对照。对于TN09病毒,CR6261、CR9114和FI6V3与WT的结合能力最强,其次是A44V,最后是A44T (图1A−C)。CT149与TN09 A44V和A44T的结合能力均较低 (图1D)。结果表明,A44V和A44T突变导致TN09病毒与bNAbs的结合能力降低。对于PR18病毒,突变体和野生型病毒与CR6261、CR9114和FI6V3的结合差异具有统计学意义,但不如TN09病毒显著 (图1F−J)。

图1. 茎部结合bNAbs与病毒TN09和PR18的结合。(A, F) CR6261、(B, G) CR9114、(C, H) FI6V3和 (D, I) CT149是靶向HA中心茎部表位的bNAbs;(E, J) 2-12C作为阴性对照;(A−E) 与TN09病毒的结合;(F−J) 与PR18病毒的结合。
利用合胞体形成实验 (Syncytia Formation Assay) 测定A44突变对HA稳定性的影响。对于TN09病毒,WT合胞体形成所需的最高pH值为5.5,而A44V和A44T突变体均高于野生型,pH值分别为5.9和5.8 (图2A)。PR18病毒呈类似趋势,野生型病毒的激活pH值为5.4,而突变病毒的激活pH值更高,为6.1 (图2B)。为了测定病毒稳定性,将等分试样在pH值范围为5.0至6.4的缓冲液中孵育,重新中和后,通过TCID50 (半数组织培养感染剂量) 检测残余感染性。对于TN09病毒,野生型病毒的灭活pH值为5.40,而A44V和A44T突变体的灭活pH值分别5.60和5.57 (图2C)。PR18野生型病毒的灭活pH值为5.34,A44V和A44T突变体的灭活pH值分别5.71和5.61 (图2D)。结果表明,A44V和A44T突变使HA蛋白不稳定,降低了病毒的酸性稳定性。

图2. HA和病毒稳定性。通过 (A) TN09病毒或 (B) PR18病毒感染Vero细胞后形成的合胞体测定HA稳定性,激活pH值定义为观察到合胞体形成时的最高pH值 (中间图);(C, D) 通过病毒灭活试验测定病毒稳定性。
破坏HA稳定性的突变使病毒对小鼠致病性降低
分别用750 PFU的TN09病毒和25,000 PFU的PR18病毒对DBA/2J小鼠进行鼻内接种。感染野生型病毒的小鼠平均体重下降超过20%,死亡率超过50% (图3A、B、D、E)。相比之下,感染携带HA不稳定突变病毒的小鼠平均体重下降低于15%,且无死亡小鼠。另取几组小鼠接种病毒,分别于感染后第2、4和6天安乐死并采集肺组织,用于肺组织匀浆和TCID50测定。TN09-A44V在感染后第2和第4天的肺组织病毒滴度与TN09-WT无显著性差异,但在感染后第6天的病毒滴度显著降低 (图3C)。TN09-A44T在感染后第2天和第6天的病毒滴度均显著低于TN09-WT。对于PR18病毒,在感染后第2、4和6天,PR18-A44V的肺部病毒滴度均低于PR18-WT。PR18-A44T的病毒滴度在感染后第4天和第6天也低于WT (图3F)。结果表明,HA不稳定突变与小鼠肺部病毒复制减少和致病性降低有关。

图3. TN09和PR18病毒感染DBA/2J小鼠。小鼠分别感染TN09和PR18病毒后的 (A、D) 体重变化和 (B、E) 存活率;(C、F) 以野生型为参照,比较各突变体肺部病毒滴度。
HA2-A44V突变使PR18病毒在雪貂中的传播能力降低
每组供体雪貂 (n= 3) 经鼻内接种1×10⁶PFU的病毒。接种后第1天,感染PR18-WT的供体雪貂的鼻腔病毒滴度比感染PR18-A44V的供体雪貂高约700倍 (图4A)。PR18-WT组中,有2只在实验第2天检测到直接接触传播,第3只在实验第4天检测到直接接触传播 (图4B)。PR18-A44V组中3只直接接触雪貂均在第4天检测到鼻腔病毒。PR18-WT组在第2、4和8天发生空气传播,PR18-A44V组在第6、6和8天发生空气传播 (图4C)。结果表明,两种病毒均实现了100%的接触传播和空气传播 (图4D),但PR18-A44V的传播通常有所延迟。
采用病毒灭活试验和全基因组测序分析雪貂鼻腔冲洗液样本 (图4E−H)。接种PR18-WT病毒的雪貂鼻腔冲洗液样本的病毒灭活pH 值介于5.3和5.45之间 (图4E),相比之下,PR18-A44V组的鼻腔冲洗液样本的病毒灭活pH值范围更广 (图4F)。三只PR18-A44V空气传播组的雪貂中有两只 (雪貂2和3) 出现HA2-V44A回复突变 (图4H)。第三只空气传播的雪貂 (雪貂1) 的鼻腔冲洗液pH值约为5.55,分别在感染后6天和8天检测到HA2-I77M和HA1-E227G突变 (图4H)。PR18-A44V的三次空气传播中有两次与基因回复突变相关,第三次与病毒稳定性相关,这可能是由于HA2-I77M和/或HA1-E227G突变所导致的。

图4. 病毒在雪貂中的复制和传播。供体雪貂接种病毒后第1天,分别引入直接接触雪貂和气溶胶接触雪貂。检测 (A) 供体雪貂、(B) 直接接触雪貂和 (C) 气溶胶接触雪貂鼻腔内的病毒滴度;(D) 感染后第21天采集的血清的血凝抑制 (HAI) 滴度;(E, F) 感染雪貂的病毒灭活pH值;(G) 感染PR18-WT的雪貂或 (H) 感染PR18-A44V的雪貂鼻腔冲洗液中的单核苷酸变异热图。
HA1-E227G和HA2-I77M突变对HA和病毒稳定性的影响
为验证HA2-I77M比HA1-E227G更有可能增强HA稳定性这一假设,构建了两种新的基于PR18的病毒,每种病毒均含有HA2-A44V,并分别与HA1-E227G或HA2-I77M结合,检测HA和病毒的稳定性。HA1-E227G/HA2-A44V双突变体具有相对较高的HA激活pH值 (6.0) 和病毒失活pH值 (5.87) (图5),与HA2-A44V类似。相比之下,HA2-A44V/HA2-I77M双突变体的HA激活pH值和病毒灭活pH值较低 (分别为5.7和5.48),表明其具有稳定作用。

图5. 含雪貂空气传播后产生突变的基于PR18病毒的HA和病毒稳定性。(A) PR18病毒感染Vero细胞,观察合胞体形成的显微照片;(B) PR18病毒的酸灭活曲线。
HA2-I77M突变可恢复病毒复制能力和致病性
为探究HA1-E227G和HA2-I77M突变在体外对病毒生长的影响,将基于PR18的病毒以0.01 PFU/cell的感染复数 (MOI) 接种到MDCK、Vero和A549细胞中。所有病毒在MDCK细胞中的复制情况相似 (图6A)。双突变病毒HA1-E227G/HA2-A44V和HA2-A44V/I77M在Vero细胞中的复制能力显著高于野生型,但与单突变病毒HA2-A44V相似 (图6B)。
将基于PR18的病毒以25,000 PFU的剂量经鼻内接种到DBA/2J小鼠体内。感染HA2-A44V或HA1-E227G/HA2-A44V的小鼠体重下降极少,而感染WT或HA2-A44V/I77M的小鼠平均体重下降约20%或更多,死亡率分别为80%和60% (图6D−E)。在另一组中,感染HA1-E227G/HA2-A44V的小鼠在感染后第4天和6天的肺部病毒滴度低于WT组,而感染HA2-A44V/I77M的小鼠的病毒滴度与WT组相似 (图6F)。这些结果表明,在雪貂中出现的HA2-I77M突变可能通过稳定HA蛋白和病毒,恢复了HA2-A44V在小鼠体内的生长和毒力。

图6. 雪貂适应性突变体对PR18病毒在体外和小鼠体内特性的影响。(A−C) PR18病毒在MDCK、Vero和A549细胞中的生长情况;(D−F) PR18病毒在小鼠中的致病性,感染后的 (D) 体重变化和 (E) 存活率;(F) 在MDCK细胞中检测感染后第4天和6天肺组织中的病毒滴度。
研究结论
综上,HA2残基A44的突变 (A44V和A44T) 导致对茎结合bNAbs产生耐药性,从而破坏HA蛋白的稳定性,导致流感病毒更容易被弱酸灭活,在小鼠体内病毒减毒,在雪貂中的空气传播能力降低。将HA2-A44V与远端稳定突变 (HA2-177M) 结合,可使病毒在小鼠体内恢复毒力,并在雪貂中恢复空气传播能力。这项研究揭示了病毒对HA茎结合bNAbs产生持续耐药性的潜在途径。
阅读英文原文:https://www.mdpi.com/1999-4915/18/1/32
作者介绍
美国圣裘德儿童研究医院宿主与微生物互作团队的Charles J. Russell博士为本文通讯作者,同一团队的Guohua Yang博士为本文第一作者。本研究得到美国国家过敏症和传染病研究所 (NIAID) 的部分资助,也得到圣裘德儿童研究医院和美国黎巴嫩叙利亚联合慈善机构 (ALSAC) 的支持。
Viruses 期刊介绍
主编:Eric O. Freed, Center for Cancer Research, USA
涵盖病毒学研究的各个方面,如病毒结构与功能分析、病毒复制周期与宿主相互作用、致病机理、病毒进化与变异规律、疫苗与抗病毒药物研发、病毒在基因治疗和生物技术中的应用等。目前已被SCIE (Web of Science)、Scopus、PubMed、MEDLINE、PMC等数据库收录。
2024 Impact Factor:3.5
2024 CiteScore:7.7
Time to First Decision:18.6 Days
Acceptance to Publication:2.8 Days
期刊主页:https://www.mdpi.com/journal/viruses

Archiver|手机版|科学网 ( 京ICP备07017567号-12 )
GMT+8, 2026-4-22 16:06
Powered by ScienceNet.cn
Copyright © 2007- 中国科学报社