||
导读
镁合金作为最轻的结构金属,具有密度低、比强度高、良好的电磁屏蔽性和生物相容性等优点,在航空航天、汽车、电子产品、生物医用等领域应用前景广阔。然而,镁元素化学活性极高,天然表面膜疏松多孔,导致镁合金在氯离子等腐蚀介质中极易发生严重腐蚀,极大限制了其大规模应用。在海洋环境等实际服役场景中,有效控制镁合金的腐蚀速率至关重要。表面防护技术一直是提升镁合金耐蚀性的核心策略,微弧氧化、化学转化膜、水热法生长LDHs、聚合物涂层等方法已被广泛研究。
近年来,层状双氢氧化物 (LDHs) 因其独特的二维层状结构、阴离子交换能力和潜在的自修复特性,成为镁合金腐蚀防护领域的热门材料。LDHs可通过物理屏障作用和Cl⁻捕获机制有效减少界面氯离子浓度,实现短期防护。然而,单一LDHs涂层在长期浸泡中易发生溶解、产生微裂纹,形成腐蚀通道,长期耐久性不足。为解决这一问题,研究者探索将有机缓蚀剂与LDHs结合的复合策略。在此基础上,作者提出将三乙烯四胺 (TETA) 与Li-Al LDHs复合的设计思路:利用TETA分子中富电子氨基基团在LDHs表面的强吸附作用,尤其在涂层缺陷处快速形成致密屏障,实现缺陷补偿与长期防护。通过调控TETA浓度 (23.5–70.5 mM),在AZ31镁合金表面制备TETA改性Li-Al LDHs涂层,并系统研究其在模拟海水 (3.5 wt% NaCl溶液) 中的腐蚀防护性能与机理。
实验方法
作者以AZ31镁合金为基体,采用水热法原位生长Li-Al LDHs涂层。随后将样品浸入含不同浓度TETA (23.5、47、70.5 mM) 的3.5 wt% NaCl溶液中进行改性处理。在3.5 wt% NaCl溶液中进行开路电位稳定后开展EIS (10 mV扰动,1 MHz~0.01 Hz) 和动电位极化曲线 (扫描速率1 mV/s,范围-0.1~+0.8 V vs OCP)。采用FT-IR表征表面官能团,XPS分析元素组成与化学状态,FE-SEM观察表面/截面形貌,3D超景深显微镜分析表面粗糙度与形貌变化。
表征与测试结果
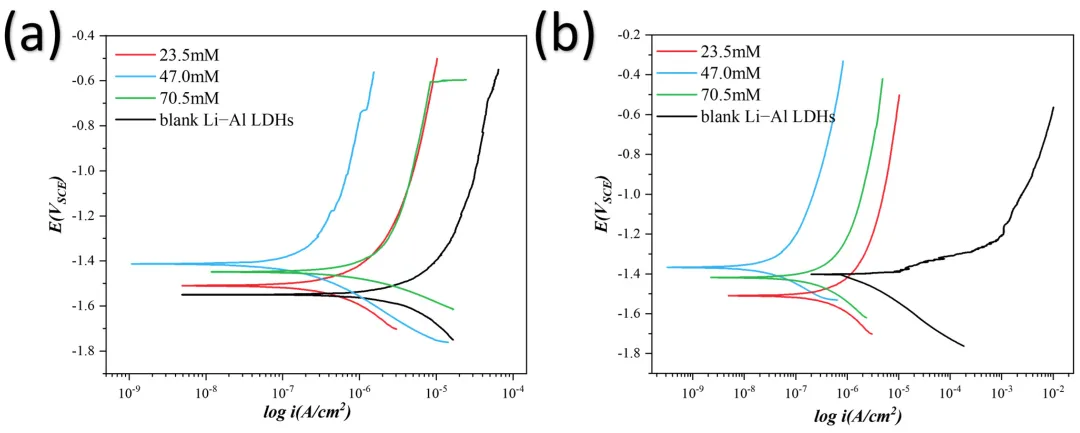
电化学结果显示 (图1),纯Li-Al LDHs涂层在浸泡4 h后低频阻抗模值 (|Z|₀.₀₁ Hz) 显著下降,短期防护失效。而在TETA改性涂层中,最优浓度47 mM TETA样品在浸泡24 h时|Z|₀.₀₁ Hz达到最大值7.56 × 10⁵ Ω·cm²,较纯LDHs涂层 (2.55 × 10² Ω·cm²) 提升三个数量级。浸泡300 h后仍维持在10⁵ Ω·cm²以上,显示出优异的长期稳定性。23.5 mM和70.5 mM样品分别在约60 h和132 h出现阻抗突降,而纯LDHs样品在4 h内即明显劣化。动电位极化曲线表明,47 mM TETA改性后腐蚀电流密度显著降低 (24 h浸泡后icorr降至1.254 × 10⁻⁸ A·cm⁻²),腐蚀电位正移,主要抑制阳极溶解反应。

图1. 不同浓度TETA在3.5 wt% NaCl溶液中的极化曲线:(a) 0 h;(b) 24 h。
FT-IR谱图显示 (图2),TETA改性后保留LDHs的Al-OH (~643 cm⁻¹) 和Mg(OH)₂特征峰,同时出现TETA的-CH₂-对称/不对称伸缩振动 (2845、2940 cm⁻¹) 和N-H面内弯曲振动 (1573 cm⁻¹,相对于游离TETA红移),证实TETA分子通过氨基与LDHs表面配位成功吸附。

图2. 浸泡24 h的TETA改性Li-Al层状双氢氧化物的傅里叶变换红外光谱图。
XPS分析进一步验证 (图3):检测到Mg、Al、N、C、O元素;Mg 2p出现Mg-N键峰,Al 2p中Al-OH峰强度降低,N 1s以-NH/NH₂为主,C 1s和O 1s显示TETA相关化学键,表明TETA在LDHs表面形成致密吸附膜,覆盖缺陷并抑制Li-OH等暴露。

图3. TETA改性的Li-Al层状双氢氧化物的XPS光谱:(a) 全谱;(b) Mg 2p;(c) Al 2p;(d) N 1s;(e) C 1s;(f) O 1s。
SEM形貌观察到 (图4),纯LDHs涂层浸泡24 h后出现腐蚀产物堆积、坑蚀和裂纹;而TETA改性涂层表面层状结构部分保留,覆盖一层均匀致密薄膜,无明显腐蚀坑,显示出优异的阻挡效果。3D超景深显微镜显示,添加TETA后表面粗糙度显著降低 (峰谷高度差从~310 µm降至~40 µm),形成更平整致密的微观结构。

图4. 场图的3D超深度显示TETA对Li-Al LDHs的影响与否:(a) 添加TETA;(b) 未添加TETA。
研究总结

图5. TETA改性Li-Al LDHs的机理图:(a) Li-Al LDHs在AZ31镁合金上的涂层不致密;(b) 浸泡时间延长时,AZ31镁合金发生腐蚀;(c) TETA改性Li-Al LDHs可实现长期保护。
本研究通过水热生长Li-Al LDHs结合TETA溶液改性,在AZ31镁合金表面成功构筑了无机-有机杂化防护涂层。在模拟海水中,Li-Al LDHs发挥层状结构屏障与阴离子交换捕获Cl⁻的作用,而TETA分子富电子氨基基团通过配位键和氢键优先吸附于LDHs边缘活性位点及涂层缺陷处,快速形成致密吸附膜,实现缺陷补偿与自修复式阻挡。电化学测试、浸泡实验及多谱学表征结果表明:最优47 mM TETA改性涂层显著提升了低频阻抗 (三个数量级)、降低了腐蚀电流密度,并实现300 h以上长期稳定防护,远优于单一LDHs涂层的短期局限性。
该工作为镁合金在海洋环境中的腐蚀防护提供了一种简单高效、无需复杂插层工艺的有机-无机协同策略,具有重要的理论意义和工程应用价值。
阅读英文原文:https://www.mdpi.com/2075-4701/15/7/724
Metals 期刊介绍
主编:Yong Zhang, University of Science and Technology Beijing, China
期刊发表涵盖金属材料和冶金工程领域研究以及科技发展研究领域在内的学术文章。
2024 Impact Factor:2.5
2024 CiteScore:5.3
Time to First Decision:18.7 Days
Acceptance to Publication:2.7 Days
期刊主页:https://www.mdpi.com/journal/metals

Archiver|手机版|科学网 ( 京ICP备07017567号-12 )
GMT+8, 2026-5-1 06:03
Powered by ScienceNet.cn
Copyright © 2007- 中国科学报社