Ouariel的个人博客分享 http://blog.sciencenet.cn/u/Ouariel

博文

无人机引导下多消防机器人协同作业

已有 898 次阅读 2026-3-13 16:10 |系统分类:博客资讯

引用本文

 

华长春, 穆殿瑞, 陈健楠, 魏饶. 无人机引导下多消防机器人协同作业. 自动化学报, 2026, 52(2): 267283 doi: 10.16383/j.aas.c250420

Hua Chang-Chun, Mu Dian-Rui, Chen Jian-Nan, Wei Rao. Collaborative operation of multiple firefighting robots guided by UAVs. Acta Automatica Sinica, 2026, 52(2): 267283 doi: 10.16383/j.aas.c250420

http://www.aas.net.cn/cn/article/doi/10.16383/j.aas.c250420

 

关键词

 

多图层火场建图,柔性预定性能控制,无人机位姿矢量控制,消防机器人多模态编队

 

摘要

 

复杂火灾场景下传统消防手段存在全局感知能力不足、协同能力弱等问题, 因此提出一种基于无人机空中引导的多消防机器人协同作业系统. 通过构建空−地异构协同架构, 融合无人机全局态势感知与地面消防机器人精准作业能力, 实现火灾动态环境下的高效协同灭火. 通过融合先验地图、高空侦察信息和多视角观测信息, 构建适用于灭火指控的多图层火场地图, 在保障关键信息获取的同时兼顾建图效率. 同时结合水柱轨迹模型、多视角观测信息及结构层数据, 实现水柱轨迹和落点的准确检测. 然后设计队列式与多形态主从编队模式, 配合快速队形重构算法生成编队参考信号. 进而, 基于提出的柔性预定性能函数设计无人机位姿矢量控制器, 以及基于改进视距导引法设计多消防机器人编队控制器. 最后, 开展空−地多机协同控制算法的仿真验证, 并将系统集成到开诚RXB-MC80BD消防机器人上进行应用测试.

 

文章导读

 

近年来, 气候变化导致极端天气事件频发, 尤其是极端高温天气显著增加了全球火灾发生的风险与强度[1], 多个地区的火灾频率和规模都呈上升趋势[2]. 复杂多害的火灾现场会对消防员的生命安全造成严重威胁, 例如高强度热辐射、烧伤以及接触一氧化碳和其他有毒物质的风险等, 因此需要在灭火过程中保持安全距离. 这种物理距离限制了传统人工灭火作业的效率, 而应用消防机器人则可突破安全距离限制, 更接近火场核心区域执行灭火任务.

 

目前, 无人消防相关技术已在火灾的预防、监控、预测及扑灭等多种任务中得到不同程度的应用. 由于火灾现场具有高度的动态性、复杂性和危险性, 火灾扑灭仍然是最具挑战性的环节. 现有的无人消防灭火装备大致可分为三类: 固定式自动消防水炮、机动式消防机器人以及拖拽水带式消防机器人. 固定式自动消防水炮通常安装在有利位置, 并结合视觉伺服控制算法实现固定区域的自动化灭火. 机动式消防机器人包括装载灭火剂的地面消防机器人以及搭载灭火弹或喷射装置的无人机(unmanned aerial vehicle, UAV), 如重庆国飞通用航空设备制造有限公司的应急消防无人机GF-BZ-75A. 通过内置装载灭火剂的液体储罐等装置, 它们可以灵活地执行灭火任务. 然而, 在应对大规模火灾时, 这类设备的续航能力与灭火剂容量受到限制, 因此还需要拖拽水带式消防机器人将水带连接至消防车或消防泵, 实现持续的灭火作业.

 

另外, 考虑到火灾的扩散性和紧急性, 单个消防装备往往难以有效地控制火势. 由不同功能的消防机器人构成的多机协作的无人灭火系统不可避免地成为一种发展趋势. 多机协同的无人消防系统[3]已在多项机器人竞赛中得到一些验证, 例如2020年的MBZIRC国际机器人挑战赛.

 

自行式消防炮到可以批量生产并规模化应用的一系列消防机器人[4], 虽然随着多传感器感知、智能规划与多机协作等关键技术的发展, 机器人消防技术已经取得巨大的进步, 但是在复杂的火灾事件中消防机器人远程控制仍然存在问题, 它们的自主性有限且工作范围小, 因此距离大规模应用还很远[5], 有很多关键的技术问题需要解决.

 

本文的结构如下: 1节综述无人消防系统中关键技术的发展现状; 2节总体介绍无人机引导下多消防机器人协同作业系统架构; 3节具体介绍空地协同侦察技术; 4节具体介绍空地异构协同控制技术; 5节介绍空地多机协同控制仿真与测试; 6节进行总结与展望.

1  系统架构示意图

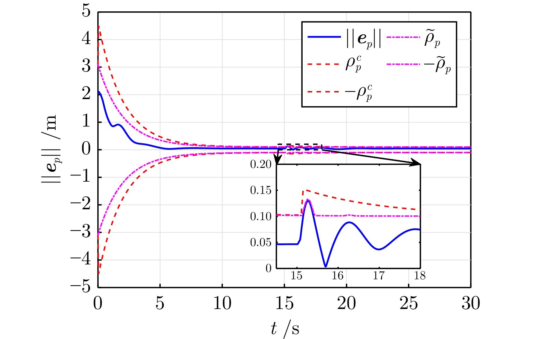
3  不同柔性性能漏斗约束效果对比

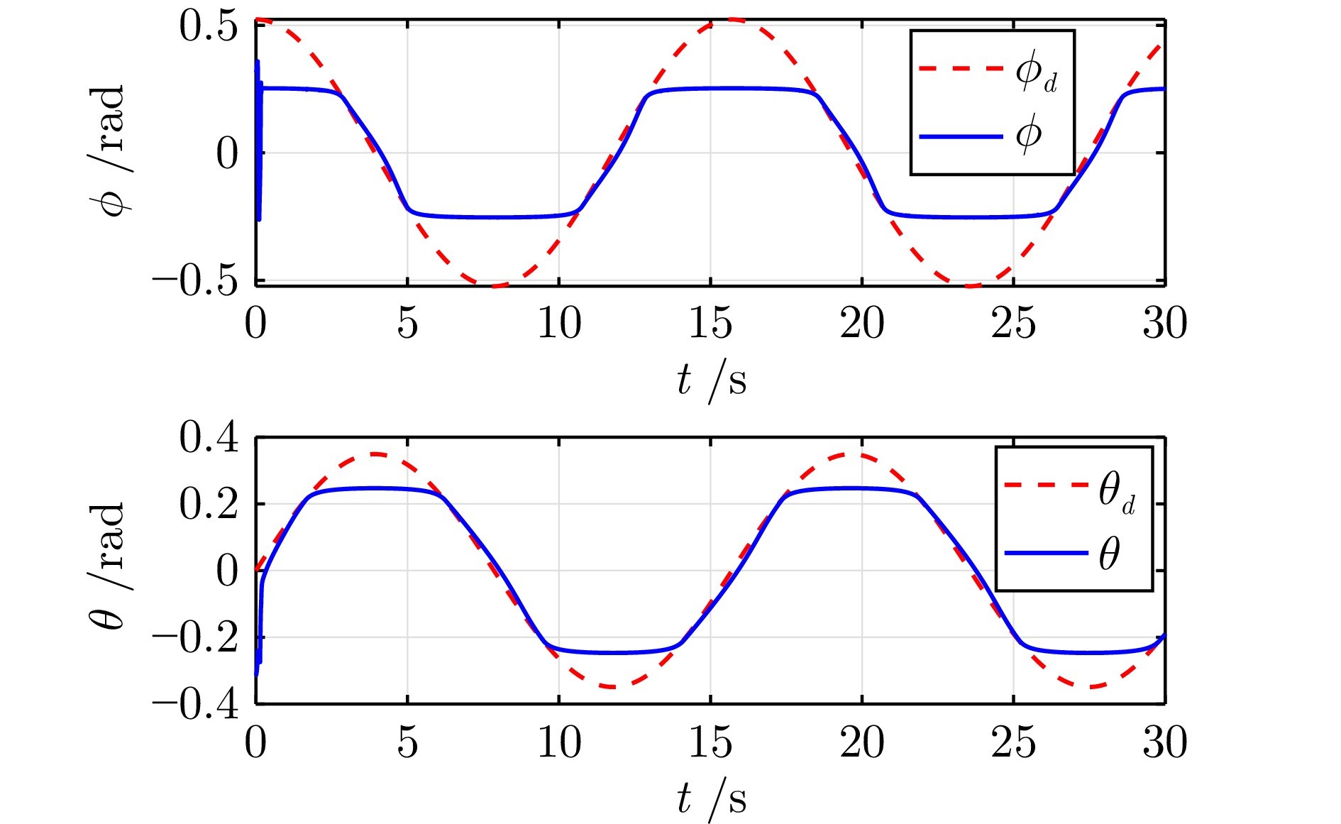
5  姿态约束下的俯仰角和横滚角

 

本文针对复杂火灾场景下传统消防手段的不足, 提出一种基于无人机引导的多消防机器人协同作业系统. 在空地协同火场侦察方面, 提出基于射线延长与实体相交的定位修正方法, 并融合多机观测信息快速构建多图层的火场地图, 提出融合水柱轨迹模型和多视角观测信息的水柱轨迹检测方法. 在空地协同控制方面, 基于误差驱动的柔性预定性能函数, 设计无人机位姿矢量控制器和多机编队控制器. 未来工作将聚焦于算法的鲁棒性提升、多机器人自主协作机制的研究及实际火场的应用验证.

 

作者简介

 

华长春

燕山大学电气工程学院教授, 长江学者特聘教授. 主要研究方向为网络化控制系统的分析与综合, 复杂工业系统建模与控制, 网络化遥操作系统的控制. E-mail: cch@ysu.edu.cn

 

穆殿瑞

燕山大学电气工程学院博士后. 主要研究方向为非完整移动机器人, 多机器人协同控制, 非线性控制理论. 本文通信作者. E-mail: mdr@stumail.ysu.edu.cn

 

陈健楠

燕山大学电气工程学院副教授. 主要研究方向为基于脑电和肌电的脑机接口, 深度学习, 非线性系统控制, 无人机控制. E-mail: cjn@ysu.edu.cn

 

魏饶

燕山大学电气工程学院博士研究生. 主要研究方向为深度学习及其在软抓手中的应用. E-mail: wrao@stumail.ysu.edu.cn



https://blog.sciencenet.cn/blog-3291369-1525671.html

上一篇:智能网联无人系统云控制平台的关键理论与技术
下一篇:基于社会化协同的无人机集群目标合围控制
收藏 IP: 150.242.79.*| 热度|

0

该博文允许注册用户评论 请点击登录 评论 (0 个评论)

数据加载中...

Archiver|手机版|科学网 ( 京ICP备07017567号-12 )

GMT+8, 2026-5-1 11:36

Powered by ScienceNet.cn

Copyright © 2007- 中国科学报社

返回顶部