||
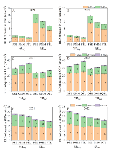
藜麦/花生间作是一种具有发展潜力的盐碱地新型种植模式,耐盐碱作物藜麦和花生间作可充分发挥藜麦的生物改良优势和花生的根瘤固氮优势,实现盐碱地土地资源的高效利用。但藜麦的遗传多样性丰富,不同品种在株高、生育周期、抗逆性等性状上存在广泛的变异性,目前针对盐碱地条件下,哪种类型藜麦品种与花生间作可以充分实现种间互补优势,实现产量和效益的最大化,尚缺乏系统的研究。
近期,山东省农业科学院胶东农业创新中心梁晓艳副研究员团队完成的题为“Effects of quinoa varieties with different plant height and growth cycle on root distribution, soil nutrient absorption, and productivity of peanut under quinoa–peanut relay intercropping system in saline-alkali soil”的研究在Journal of Integrative Agriculture(JIA)优先在线发表。
该研究选用矮杆早熟、中杆中熟及高杆晚熟藜麦品种分别与花生间作,研究不同藜麦品种与花生间作根系和土壤水分的空间分布特征,分析花生根际土壤盐分、养分等理化特征的变化及不同因素与花生产量形成关系,研究发现盐碱地条件下间作矮杆早熟藜麦品种更有利于花生生长和产量提高,综合产量最高。
结果表明,间作矮杆早熟藜麦品种可通过减少根系的空间分布,缩短竞争周期,降低藜麦对花生水分和养分的竞争强度和竞争周期,因此,间作矮杆早熟藜麦品种更有利于发挥种间互补优势,提高花生对养分资源的利用,增加产量。该研究可为盐碱地藜麦/花生间作高效种植结构优化提供理论依据。



山东省农业科学院花生栽培生理与生态团队张佳蕾和万书波研究员、山东省农业科学院胶东创新中心滨海农业与生态团队付娆博士为共同通讯作者,山东省农业科学院胶东创新中心滨海农业与生态团队梁晓艳副研究员为论文第一作者。
该研究得到国家自然科学基金青年项目(32201917)和山东省自然科学基金青年项目(ZR2022QC124, ZR2024QC076)和潍坊市科技发展计划(农业关键技术)(2024ZJ1181)的资助。
Cite this article:
Xiaoyan Liang, Jiajia Li, Kuihua Yi, Yinyu Gu, Meng Li, Chuanjie Chen, Junlin Li, Rao Fu, Jialei Zhang, Shubo Wan. 2026. Effects of quinoa varieties with different plant height and growth cycle on root distribution, soil nutrient absorption, and productivity of peanut under quinoa–peanut relay intercropping system in saline-alkali soil. Journal of Integrative Agriculture, Doi:10.1016/j.jia.2026.01.017
https://doi.org/10.1016/j.jia.2026.01.017
Journal of Integrative Agriculture(《农业科学学报(英文)》, JIA)由中华人民共和国农业农村部主管,中国农业科学院与中国农学会主办,中国农业科学院农业信息研究所承办。综合性英文学术期刊,月刊。创刊于2002年,现任主编为中国科学院院士陈化兰。JIA主要栏目有作物科学、园艺、植物保护、动物科学、动物医学、农业生态环境、食品科学、农业经济与管理等。刊稿类型有综述、研究论文、简报以及评述等。全部论文在Elsevier-ScienceDirect (SD) 平台OA出版。最新SCI影响因子4.4,位于SCI-JCR农业综合学科Q1区。中国科学院分区农林科学1区。2016年以来先后获得中国科协等部委 “提升计划”“登峰计划”“卓越计划”项目支持。
Archiver|手机版|科学网 ( 京ICP备07017567号-12 )
GMT+8, 2026-3-14 12:53
Powered by ScienceNet.cn
Copyright © 2007- 中国科学报社