||
ICM—以应用为导向的高水平创新研究


文章导读
烟气脱硫(FGD)是通过各种方法从烟气中分离出SO2并将其转化为无害或可用物质的技术。湿法脱硫技术相对成熟、高效且易于操作,是应用最广泛的脱硫方法,包括石灰石-石膏法、氨吸收法等。然而,这些传统吸收剂存在不可逆性、挥发性和二次环境污染等缺点。
近期,中国石油大学(北京)朱文帅教授团队设计了一系列嘧啶基低共熔溶剂(DESs),通过调控氢键供体(HBDs)和氢键受体(HBAs)中官能团的位置、种类和数量,开发了高SO2吸收容量、高SO2/CO2选择性和优异循环性能的FGD吸收剂,并采用双位点反应平衡热力学模型(DS-RETM)对制备的DESs的物理和化学吸附行为进行了研究。C2mimCl-7 + AmPyr表现出最高的SO2吸收容量(19.032 mol kg–1),40 s内快速达到气液平衡,并且对SO2/CO2具有高达528.7的优异理想选择性。DS-RETM模型确定了亨利常数、平衡常数和其他热力学参数。经过30次吸收-解吸循环后,SO2的吸收容量仍高达18.265 mol kg–1。

图文摘要:嘧啶基DESs的SO2吸收过程示意图
上述成果发表在Industrial Chemistry & Materials,题为:Investigating the SO2 absorption behavior of pyrimidine-based deep eutectic solvents via a dual-site thermodynamic model。欢迎扫描下方二维码或者点击下方链接免费阅读、下载!
扫二维码|查看原文

https://doi.org/10.1039/D5IM00317B
本文亮点
★ 设计合成了具有高吸附容量(19.032 mol kg–1)、快速的气液平衡(40秒内)、高SO2/CO2选择性(528.7)以及优异可逆性(30次)的嘧啶基低共熔溶剂;
★ 建立了一个双位点反应平衡热力学模型(DS-RETM),用于SO2吸收热力学分析,并进一步使每种DESs组分的吸收行为可视化;
★ 通过热力学、动力学和光谱学方法,阐明了嘧啶基低共熔溶剂对SO2的吸收机理。
图文解读
1. 嘧啶基DESs的合成
作者选取了2种氢键受体和8种氢键供体,采用一步加热搅拌法制备了14种DESs。通过将氯化1-乙基-3甲基咪唑(C2mimCl)和2-氨基嘧啶(AmPyr)以指定的摩尔比(2:1、3:1、4:1、5:1、6:1、7:1)在353.15 K下混合搅拌180 min,制备了C2mimCl-n + AmPyr DESs(n=2、3、4、5、6和7)。分别以2-氯嘧啶(ChPyr)、2-溴嘧啶(BrPyr)、4-氨基-2-羟基嘧啶(Cyt)、4,6-二氨基嘧啶(DAmPyr)、2,4-二羟基嘧啶(Ura)、3-氨基哒嗪(AmPd)和2-氨基吡嗪(AmPz)作为HBDs,制备了C2mimCl-7 + ChPyr、C2mimCl-7 + BrPyr、C2mimCl-7 + Cyt、C2mimCl-7 + DAmPyr、C2mimCl-7 + Ura、C2mimCl-7 + AmPd和C2mimCl-7 + AmPz。以溴化1-乙基-3甲基咪唑(C2mimBr)作为HBAs制备了C2mimBr-7 + AmPyr。

图1. HBAs和HBDs的结构式,以及DESs的合成过程示意图
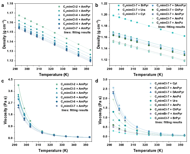
2. 嘧啶基DESs的密度和粘度
随着摩尔比从2:1增加到7:1,C2mimCl-n + AmPyr的密度和粘度逐渐降低。因此,增加C2mimCl的比例有利于降低DESs的密度和粘度。对于C2mimCl-7 + HBDs,按HBDs排列的密度顺序为:AmPz < AmPd ≈ AmPyr < ChPyr < DAmPyr < Cyt < Ura < BrPyr,表明HBDs的分子结构会显著影响DESs的密度。DESs的密度与温度(T)拟合(ρDESs = α + βT),R12和R22为0.999,表明密度与温度之间呈线性关系。不同C2mimCl-7 + HBDs的粘度顺序(在298.15 K下)为:C2mimCl-7 + BrPyr < C2mimCl-7 + ChPyr < C2mimCl-7 + AmPz < C2mimCl-7 + Ura < C2mimCl-7 + AmPd < C2mimCl-7 + AmPyr < C2mimCl-7 + DAmPyr < C2mimCl-7 + Cyt。粘度与温度(T)进行了拟合(VFT方程:η = η0·exp (t/(T-T0))),R32和R42为0.999,表明粘度与温度之间呈指数关系。

图2. (a) C2mimCl-n + AmPyr(n = 2, 3, 4, 5, 6, 7)和(b) C2mimCl-7 + HBDs的密度;(c) C2mimCl-n + AmPyr和(d) HBAs-7 + HBDs的粘度
3. 嘧啶基DESs的SO2吸收
随着C2mimCl与AmPyr摩尔比的增加,C2mimCl-n + AmPyr对SO2的吸收容量逐渐增加,最大达到19.032 mol kg–1。C2mimBr-7 + AmPyr(14.630 mol kg–1)的吸收能力明显低于C2mimCl-7 + AmPyr,这表明阴离子的电负性越大,其吸收SO2的能力也越高。AmPd和AmPz为AmPyr的同分异构体,C2mimCl-7 + AmPz和C2mimCl-7 + AmPd的SO2吸收容量分别为18.017 mol kg–1和18.746 mol kg–1,表明嘧啶更有利于SO2的吸收。C2mimCl-7 + AmPyr的SO2吸收容量随压力的增加而非线性增加,在0-0.1 bar之间,SO2的吸收迅速增加,这可能是吸收剂与SO2分子之间的化学相互作用。在0.1-1.0 bar之间,吸收增长速率下降,这可能是吸收位点逐渐被占据,快速吸收已经完成,从而使该过程主要由物理吸收主导。随着温度的升高,C2mimCl-7 + AmPyr的SO2吸收容量呈下降趋势,吸收容量分别为22.055、19.032、16.972、14.611和11.238 mol kg–1,表明嘧啶基DESs是一种极具潜力的烟气脱硫的吸收剂。

图3. (a) C2mimCl-n + AmPyr和(b) HBAs-7 + HBDs对SO2的吸收容量;(c)压力对C2mimCl-n + AmPyr吸收SO2的影响;(d)温度对C2mimCl-7 + AmPyr吸收SO2的影响
4. 嘧啶基DESs的SO2吸收行为分析
根据DS-RETM方程对C2mimCl-7 + AmPyr的SO2吸收进行了拟合。值得注意的是,拟合曲线与实验数据吻合良好,R52值大于0.999,表明所建立的热力学模型具有极高的可靠性。亨利常数(H)呈增加趋势,而平衡常数(k)呈降低趋势,这与SO2吸收对温度的负依赖性一致。基于H、kC2mimCl和kAmPyr,可以得出mphys-SO2、mC2mimCl-SO2和mAmPyr-SO2。mphys-SO2受温度影响最大,其次是mAmPyr-SO2,而mC2mimCl-SO2受影响最小,这表明C2mimCl与SO2之间的相互作用强于AmPyr,而物理相互作用最弱。

图4. (a) DS-DETM方拟合C2mimCl-7+AmPyr的SO2吸收;C2mimCl-7+AmPyr对SO2的(b)物理吸收和(c)化学吸收
根据lnH和lnk与1/T的关系,可以得出吸收过程中的焓变(∆Hm)、吉布斯自由能(∆Gm)和熵(∆Sm)。∆Hm、∆Gm和∆Sm的值始终小于0,这表明吸收过程是放热、自发且有序性增加。此外,可计算298.15 K下的lnH、lnkC2mimCl和lnkAmPyr,并进一步获得mphys、mC2mimCl、mAmPyr和mft。计算得出的SO2吸收量与实验值保持一致(1.0 bar为19.051 mol kg–1 vs 19.032 mol kg–1),表明DS-RETM方程具有极高的可靠性。

图5. (a) C2mimCl-7+AmPyr的lnH和lnk对1/T的拟合结果;(b) 298.15 K下C2mimCl-7+AmPyr对SO2的吸收计算值
5. 嘧啶基DESs的SO2吸收动力学分析
嘧啶基DESs能快速吸收SO2,这表明吸收过程主要由化学吸收主导。为了进一步观察SO2的吸收速率,对实验结果进行了玻尔兹曼方程拟合,曲线的一阶导数即为制备的嘧啶基DESs的吸收速率。显然,C2mimCl-7 + AmPyr在最短的时间内达到了最大吸收速率。此外,制备的嘧啶基DESs在40秒内达到吸收平衡,这优于众多已报道的DESs。

图6. (a) 嘧啶基DESs的SO2吸收随时间的变化;(b) 嘧啶基DESs的SO2吸收速率
6. SO2/CO2的吸收选择性
嘧啶基DESs的吸收选择性分别为C2mimCl-7 + ChPyr(451.6)、C2mimCl-7 + Ura(494.2)、C2mimCl-7 + AmPyr(528.7)、C2mimCl-7 + BrPyr(536.5)、C2mimCl-7 + DAmPyr(808.5)、C2mimCl-7 + Cyt(1073.1)。最小值已达到451.6,表明嘧啶基DESs具有优异的SO2/CO2选择性吸收性能。

图7. C2mimCl-7 + HBDs的SO2和CO2气体吸收
7. 嘧啶基DESs的SO2吸收机理
吸收SO2后,FT-IR光谱图可以观察到四个归属于SO2的吸收峰。对应于S=O的弯曲振动(529 cm–1)、对称伸缩振动(1124 cm–1)和不对称伸缩振动(1281 cm–1)。与游离的SO2相比,S=O的伸缩振动发生了显著红移,表明C2mimCl中的Cl–与SO2中的S原子形成电荷转移相互作用(Cl–···SO2)。第四个峰位于836 cm–1附近,归因于S–O的弯曲振动,表明存在SO2的化学吸收。由于–N(g)H2的弯曲振动位移并分裂为两个峰,分别位于1693和1680 cm–1附近,推测AmPyr与SO2之间可能形成了酸碱相互作用。1H NMR结果进一步表明,吸收SO2后,C(2)–H和–N(g)H2的化学位移向高场移动。前者归因于Cl–和S原子之间的电荷转移(Cl–···SO2),而后者则可归因于–N(g)H2和SO2之间的酸碱相互作用。

图8. (a) C2mimCl-7 + AmPyr吸收SO2(DES + SO2)、C2mimCl-7 + AmPyr吸收CO2(DES + CO2)、C2mimCl-7 + AmPyr(DES)、C2mimCl和AmPyr的FT-IR光谱;(b) DES + SO2、DES、C2mimCl和AmPyr的1H NMR
8. 嘧啶基DESs的再生
C2mimCl-7 + AmPyr在经过30次吸收-解吸循环后,仍保持18.265 mol kg–1的SO2吸收容量。与已报道的用于吸收SO2的DESs相比,其表现出优异的再生性能。

图9. C2mimCl-7 + AmPyr的再生性能
总结与展望
本文设计了14种嘧啶基DESs并将其用于SO2的吸收。C2mimCl-7 + AmPyr表现出最高的SO2吸收容量(19.032 mol kg–1),在40秒内完成气液平衡,且对SO2/CO2具有优异的理想选择性(528.7)。经过30次吸收-解吸循环后,SO2的吸收容量仍高达18.265 mol kg–1。为分析吸收行为,建立了DS-RETM模型。确定了C2mimCl-7 + AmPyr吸收SO2的亨利常数、平衡常数和其他热力学参数。DS-RETM拟合进一步揭示了每种DESs组分的潜在吸收行为,便于比较HBAs和HBDs对SO2吸收的影响。本研究为高性能烟气脱硫吸收剂的开发提供了新见解,并引入了一种用于DESs中SO2吸收热力学分析的新模型。
撰稿:原文作者
排版:ICM编辑部
文章信息
Y. Zou, X. Xing, C. Wang, D. Tao, H. Ji, P. Wu, Y. Chao and W. Zhu, Investigating the SO2 absorption behavior of pyrimidine-based deep eutectic solvents via a dual-site thermodynamic model, Ind. Chem. Mater., 2026, DOI: 10.1039/D5IM00317B.
作者简介

通讯作者
朱文帅,教授,博导,获国家自然科学杰出青年基金、国家自然科学优秀青年基金,美国橡树岭国家实验室访问学者,获侯德榜化工科技青年奖,江苏省“333”高层次人才。现任化学工程与环境学院副院长,先后在Nature Commun.、Angew. Chem. Int. Ed.、AIChE J.等核心期刊上共发表SCI论文300余篇,被引用13000余次。申请中国发明专利30余项,技术转让5项;主持国家自然科学基金、科技部重点研发计划等10余项;获中国化工学会科学技术奖基础研究成果奖一等奖(第1),江苏省科学技术奖二等奖(第3);担任Green Energy & Environment、Petroleum Science和Rare Metal等国际期刊青年编委和客座编辑、中国化工学会离子液体专委会、过程强化专委会、中国能源学会能源与环境专委会委员。

第一作者
邹义儒,中国石油大学(北京)博士。主要从事烟气脱硫吸收剂设计与开发、燃油硫化物脱除并资源化利用方向,主要涉及低共熔溶剂材料、吸附剂材料、多酸材料及反应萃取材料等领域。在Green Energy & Environment、Green Chemical Engineering、Chinese Journal of Catalysis、Chemical Engineering Journal等国内外高水平期刊上发表SCI收录论文10余篇,其中以第一作者身份发表的SCI论文3篇。
课题组招聘
课题组简介
中国石油大学(北京)化学工程与环境学院朱文帅课题组依托重质油全国重点实验室平台,围绕能源资源高效转化与关键新材料开展系统研究。课题组的主要研究方向包括能源资源化工与新材料化工等前沿领域,并借助人工智能与增材制造等技术推动能源资源高效转化。具体研究方向如下:
1)油气资源清洁化与高值化利用;
2)电驱动CO2高效转化;
3)锂资源回收及关键新材料设计与应用
应聘条件
• 符合国家、学校博士后招聘的相关要求;
• 年龄35周岁及以下,品学兼优、身心健康,具有良好的学术背景、较强的创新活力,具备独立开展研究工作能力;
• 具有化学工程、材料科学、物理化学、有机化学、理论化学和人工智能等相关领域的研究背景;
• 在本领域主流国际期刊以第一作者身份发表3篇高水平研究论文;
• 具有较强的实验室安全管理能力。
招聘岗位及待遇
• 师资博士后
师资博士后工资待遇参照事业编制教师相应岗位的工资体系执行,按照国家和北京市相关规定缴纳基本养老、医疗、失业、工伤保险和住房公积金等,可按学校相关规定申请新教师科研启动经费,出站考核优秀的人员转聘为学校教师。
• 优秀学科博士后
提供有竞争力的薪酬待遇,薪酬包括工资、五险一金个人及学校缴纳部分等。特别优秀的可与团队负责人具体协商,可按学校相关规定申请新教师科研启动经费,可按学校相关规定申请科研启动经费,出站考核优秀的人员可申请竞聘学校教师岗位。
• 普通博士后
由导师与博士后人员协商确定待遇。
• 补充说明
1)各类博士后,均可依托团队申报国家博士后创新人才支持计划等项目资助,国家资助与岗位年薪叠加资助;
2)参与团队科研项目,科研绩效及社会服务收入上不封顶;
3)在站期间可申请学校优秀青年学者或青年拔尖人才岗位,入选者可享受相应岗位津贴;
4)可协助团队教师共同指导硕士研究生。
应聘方式
应聘者需将应聘材料(包括个人简历+代表性论著等)发送至zhuws@cup.edu.cn,邮件主题请注明“应聘博士后+姓名+专业”。
联系人:化学工程与环境学院 朱老师
办公室电话:010-89731252 (8:30-21:30)
ICM相关文章
1. 原子力场也能“瘦身”?离子液体粗粒化模型及其在生物与电化学领域的新进展
Coarse-grained models for ionic liquids and applications to biological and electrochemical systems, https://doi.org/10.1039/D5IM00021A
Ultrasonic assisted natural deep eutectic solvents as a green and efficient approach for extraction of hydroxytyrosol from olive leaves, https://doi.org/10.1039/D3IM00055A
3. 从粉末到颗粒:CeO₂如何破解钙循环CO₂捕集的衰减困境?
Improved CO2 capture performance of CeO2-doped CaO-based pellets: effects of particle size and steam treatment, https://doi.org/10.1039/D5IM00017C
4. 解锁高效低温SCR脱硝:工业级钒钼钛催化剂性能优化指南
A guideline to optimizing the performance of V2O5–MoO3/TiO2 catalysts for low-temperature SCR denitrification in industrial application, https://doi.org/10.1039/D5IM00055F
期刊简介
Industrial Chemistry & Materials (ICM) 目前已被ESCI、EI、CSCD、美国化学文摘(CA)、DOAJ等数据库检索,首个影响因子11.9,位列Q1区,入选2024年中国科技期刊卓越行动计划高起点新刊项目,入选中国科技核心期刊。是中国科学院主管,中国科学院过程工程研究所主办,英国皇家化学会(RSC)全球出版发行的Open Access英文期刊,由张锁江院士担任主编。ICM 以化学、化工、材料为学科基础,以交叉为特色,以应用为导向,重点关注工业过程中化学问题、高端材料创制中过程科学的国际前沿和重大技术突破,目前对读者作者双向免费。欢迎广大科研工作者积极投稿、阅读和分享!
期刊网站:https://www.rsc.org/journals-books-databases/about-journals/industrial-chemistry-materials
投稿网址:https://mc.manuscriptcentral.com/icmat
联系邮箱:icm@rsc.org; icm@ipe.ac.cn
联系电话:010-82612330
微信公众号:ICM工业化学与材料
Twitter & Facebook:@IndChemMater
LinkedIn: https://www.linkedin.com/company/industial-chemistry-materials/
Blog: https://blogs.rsc.org/im/?doing_wp_cron=1713430605.5967619419097900390625

Archiver|手机版|科学网 ( 京ICP备07017567号-12 )
GMT+8, 2026-2-27 15:42
Powered by ScienceNet.cn
Copyright © 2007- 中国科学报社