||

英文原题:Adipic acid synthesis from bio-derived 2-furoic acid by reduction-carbonylation
作者:Changpo Ma, Tiange Zhao, Xiaoxuan Zhang, Shiyu Shen, Yunpu Wang, Lingzhao Kong*, Weiran Yang*
01 论文信息
论文信息
Ma C, Zhao T, Zhang X, Shen S, etal. Adipic acid synthesis from bio-derived 2-furoic acid by reduction-carbonylation[J]. Green Carbon, 2025.
论文网址
https://doi.org/10.1016/j.greenca.2025.02.008
论文下载
Adipic acid synthesis from bio-derived 2-furoic acid by reduction-carbonylation
中文解读原链接
Green Carbon 文章 | 南昌大学杨维冉教授、苏州科技大学孔令照教授:糠酸还原羰基化“两步法”合成己二酸
02 背景简介

二元羧酸在化学工业中非常重要。其中,己二酸的应用最为广泛,可用于生产纤维(尼龙-6,6)、食品添加剂、润滑剂和增塑剂等,预计到2030年全球市场规模将超过66亿美元。目前工业上合成己二酸方法主要采用石油基路线,存在原子效率低、产生温室气体N₂O等问题。因此,开发更可持续的路线来生产己二酸,特别是利用可再生生物质资源,具有重要的意义。
糠醛是最重要的C5平台化学品之一,可以很容易地从农业废弃物(如玉米秸秆、玉米芯和花生壳)中的半纤维素中获取。由于其低廉的生产成本,糠醛及其衍生物在工业上被广泛用于制造各种高附加值的化学品和材料。因此,以糠醛的衍生物糠酸为原料制备己二酸是一种比较有吸引力的工艺。
来自南昌大学杨维冉教授和苏州科技大学孔令照教授于Green Carbon发表题为“Adipic acid synthesis from bio-derived 2-furoic acid by reduction-carbonylation”研究文章,建立一锅两步法从糠酸制备己二酸的方法。首先糠酸在铑催化剂作用下还原制得四氢糠酸,产率可达95%,然后不需经过分离,加入I₂促进剂和水,在CO和H₂气氛下四氢糠酸进一步羰基化转化为己二酸,产率可达96.5%。通过对反应中间体的鉴定和控制实验,提出了可能的反应机理。
03 文章简介
催化体系探索
该研究团队通过探索发现使用铑催化剂,I₂为促进剂,乙酸和水为溶剂,四氢糠酸可以发生羰基化反应直接制得己二酸,其中RhCl₃的效果最优。通过比较不同的碘促进剂发现I₂和HI都能达到很好的效果。此外,作者还考察了碘含量、温度、压力和乙酸与水的比例等参数对反应的影响 (图1)。在最优的条件下,可达96.5%己二酸产率。

图1. 四氢糠酸合成己二酸的催化体系探索
机理研究
为了进一步了解反应机理,对四氢糠酸在标准反应条件下转化为己二酸的时间曲线进行了研究,结果如图2所示。可以看出,随着反应时间的延长,四氢糠酸的转化率和己二酸的产率都以相似的速率逐渐增加,没有检测到稳定的反应中间体。在标准反应条件下,无明显副反应产物产生。这意味着四氢糠酸可以及时转化为己二酸,这也可能是己二酸产率较高的原因。

图2. 四氢糠酸生成己二酸反应的时间过程研究
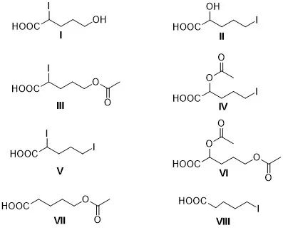
四氢糠酸转化为己二酸需经过开环、脱氧、碘取代和羰基化等几个步骤。因此,在反应过程中可能存在多种中间体。为了捕获可能的反应中间体,在100 ℃较温和的反应条件下,不添加CO,对四氢糠酸进行碘代反应生产的混合物进行LC-MS分析。包括化合物Ⅰ-Ⅷ在内的几种化学物质被检测到并显示在图3中。因此,这些化合物是己二酸形成的关键中间体。

图3. HR-ESI(+)-MS 检测到的化合物
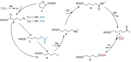
根据实验结果和文献讨论,提出了四氢糠酸合成己二酸的可能机理(图4)。首先,H₂和I₂在Rh催化下生成HI。然后,四氢糠酸被HI取代开环,形成可能的化合物Ⅰ-Ⅵ,如图4中间产物2所示。文献表明取代基X₁不稳定,容易氢化形成化合物Ⅶ&Ⅷ(中间体3和4,图4)。3上的烷基酯可以被HI取代生成烷基碘化物4。然后将化合物4和 Rh活性中心氧化加成形成化合物5,CO迁移插入到化合物5形成化合物6。化合物6还原消除形成化合物7,化合物7在水中水解生成己二酸。

图4. 机理研究
糠酸一锅两步法合成己二酸的研究
以糠酸还原为四氢糠酸和四氢糠酸羰基化为己二酸为工艺基础,提出了糠酸两步法生产己二酸的方法工艺。如图5所示,首先,进行第一步糠酸还原生成四氢糠酸,采用了和第二步反应相同的催化剂和溶剂,在第一步后用冰水冷却反应釜,并从反应釜中取出0.1 mL反应液进行分析。然后向反应器中加入0.5 mmol I₂,用3 MPa H₂和3 MPa CO加压,进行羰基化反应。在标准反应条件下,第二步四氢糠酸到己二酸产率为96.1%。因此,该一锅两步法糠酸到己二酸产率为91.4%。该体系为采用生物质资源生产己二酸提供了一种经济有效的方法,具有广阔的工业应用前景。

图5. 两步法糠酸制备己二酸的反应
总结及展望
综上所述,本研究开发了一锅两步法将生物质衍生物糠酸还原-羰基化合成己二酸的新工艺。该方法从糠酸到己二酸产率为91.4%。本研究为生物基C5平台分子羰基化制备己二酸提供了一条新的途径。
04 作者简介

杨维冉 教授
杨维冉,女,1982年生,安徽泗县人,教授,博士生导师,国家级人才。现任南昌大学化学化工学院副院长。中国科学技术大学化学系学士,美国宾夕法尼亚州立大学化学系博士,美国康奈尔大学博士后,美国陶氏化学公司高级化学家。研究方向主要集中在生物质可再生能源、绿色生物质基化学品的合成、固体废弃物资源再利用等。承担国家级人才项目、国家自然科学基金项目、江西省“千人计划”人才创新创业事业发展基金等科研项目5项,发表高水平SCI论文80余篇,授权专利20余项。担任Green Carbon青年编委,华中催化会议委员会委员,中国能源学会专家委员会新能源专家组委员,江西省生态环境应急专家,中林时代有限公司生物质领域智库专家。

孔令照 教授
孔令照,博士,苏州科技大学教授,博士生导师,课题组长。主要从事生物质废弃物资源化方面的研究工作,主持国家、省部级和企业项目25项,在ACS Catalysis、Green Chemistry、AIChE Journal等期刊上发表论文100余篇,授权发明专利20件,参编书籍3部,入选中国科学院青年促进会会员,中国化工学会微波能化工专委会委员,中国化工学会工程热化学专委会委员,欧洲生物质会议(EUBCE)科学委员会委员,中国环境科学学会高级会员,获聘Green Carbon、 Green Energy & Environment 、Biochar等5个期刊青年编委,获侯祥麟石油加工科学技术奖。
05 Green Carbon
期刊官网:Green Carbon官网
投稿网址:Green Carbon投稿
公众号:Green Carbon公众号

Archiver|手机版|科学网 ( 京ICP备07017567号-12 )
GMT+8, 2026-4-23 07:35
Powered by ScienceNet.cn
Copyright © 2007- 中国科学报社