||
在全球气候变暖背景下,干旱已成为威胁粮食安全的核心环境因素。旱作稻作为节水栽培模式的关键品种,在保障区域粮食安全中具有重要地位,但在持续干旱胁迫下易出现土壤养分循环紊乱、氮素转运受阻、光合系统受损等问题,最终导致产量显著下降,成为研究的焦点。硅作为植物“有益元素”,近年来被广泛用于增强作物抗逆性。然而,在干旱背景下,硅如何通过调控根际代谢物与微生物群落协同作用,从而稳定土壤氮循环与植株氮素高效转运,进而实现稳产高产,其作用机制仍不清晰。
近期,福建农林大学林文雄教授团队完成的题为“Silicon fertilization drives metabolite–microbe synergy to stabilize rhizosphere nitrogen supply and improve drought resilience and yield stability in upland rice”的研究在Journal of Integrative Agriculture(JIA)优先在线发表。
该研究以“旱优73”为材料开展大田试验,设置正常供水(CK)、干旱胁迫(D)、干旱+25 kg·hm-2硅肥(DS1)、干旱+50 kg·hm-2硅肥(DS2)、干旱+75 kg·hm-2硅肥(DS3)、干旱+100 kg·hm-2硅肥(DS4)6个处理。

图1 硅肥提升旱稻抗旱性能的作用机制示意图
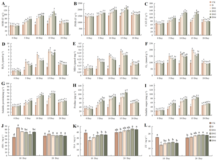
结果显示,干旱胁迫打破体内氧化平衡,导致旱作稻光合下降,碳氮代谢受抑,两年产量降低27.96%和20.37%。DS3处理相比D处理显著提高根际土壤氮糖代谢物和土壤微生物多样性,稳定土壤化学性质,富集有益菌g_Bacillus,植株氮素利用率显著提升26.21%,充足的养分供给使光合(Pn)提高15.28%。叶片抗氧化酶活性(SOD)提高104.39%,DS3处理相比D处理产量提高了22.98%和20.90%。验证实验表明,氮糖代谢物与硅协同施用可显著促进旱作稻生长及土壤养分累积,并激活菌株BT021的增殖。回接试验证实,BT021通过强化土壤氮循环提升土壤氮酶并增强植株生长与抗氧化能力。结构方程模型(SEM)揭示,硅通过代谢物—微生物群落耦合驱动的养分循环直接调控逆境下产量变化。

图2干旱胁迫下不同硅肥浓度对旱作稻抗氧化酶活性、渗透物质、过氧化物及激素的影响

图3 干旱胁迫下不同硅肥浓度对旱作稻根际微生物的影响

图4 添加菌群后旱作稻作物生长发育及土壤酶活性变化
综上所述,硅肥以代谢物-微生物耦合同步提升土壤氮循环、改善逆境下土壤环境,增加植株养分转运进而稳定作物逆境下产量,为逆境农业的绿色升级提供新范式。
福建农林大学农业生态研究所林文雄教授为该论文的通讯作者,福建农林大学农业生态研究所秦彬博士为该文章第一作者。该研究得到了国家重点研发计划项目的资助。
Cite the article:
Bin Qin, Jiahui Song, Zhenghao Yin, Danyang Li, Yijiang Hu, Shaofei Ye, Hailong Xu, Jinying Li, Bianhong Zhang, Jingnan Zou, Yazhou Liu, Zhixing Zhang, Lihua Shen, Changxun Fang, Wenxiong Lin. 2026. Silicon fertilization drives metabolite–microbe synergy to stabilize rhizosphere nitrogen supply and improve drought resilience and yield stability in upland rice. Journal of Integrative Agriculture, Doi:10.1016/j.jia.2026.03.006
Journal of Integrative Agriculture(《农业科学学报(英文)》, JIA)由中华人民共和国农业农村部主管,中国农业科学院与中国农学会主办,中国农业科学院农业信息研究所承办。综合性英文学术期刊,月刊。创刊于2002年,现任主编为中国科学院院士陈化兰。JIA主要栏目有作物科学、园艺、植物保护、动物科学、动物医学、农业生态环境、食品科学、农业经济与管理等。刊稿类型有综述、研究论文、简报以及评述等。全部论文在Elsevier-ScienceDirect (SD) 平台OA出版。最新SCI影响因子4.4,位于SCI-JCR农业综合学科Q1区。中国科学院分区农林科学1区。2016年以来先后获得中国科协等部委 “提升计划”“登峰计划”“卓越计划”项目支持。
Archiver|手机版|科学网 ( 京ICP备07017567号-12 )
GMT+8, 2026-4-22 00:36
Powered by ScienceNet.cn
Copyright © 2007- 中国科学报社