农业科学学报 JIA分享 http://blog.sciencenet.cn/u/wangning01 Journal of Integrative Agriculture (JIA)

博文

JIA|山东理工大学李富军教授团队转录因子MdERF2调控苹果表皮蜡质合成的机制研究

已有 2967 次阅读 2025-7-4 17:50 |个人分类:论文|系统分类:论文交流

表皮蜡质是影响果蔬品质形成与保持的重要因子。植物激素乙烯在苹果表皮蜡质形成与功能发挥中起着重要的作用,但乙烯调控苹果采后表皮蜡质组成、结构与功能的分子机制仍然不清楚。深入挖掘乙烯调控苹果采后表皮蜡质形成的靶基因及其调控效应,对于全面解析乙烯调控苹果采后品质的复杂机制具有重要的科学价值。

近期,山东理工大学农业工程与食品科学学院李富军教授团队完成的题为“MdERF2 regulates cuticle wax formation by directly activating MdLACS2, MdCER1 and MdCER6 of apple fruit during postharvest”的研究在Journal of Integrative Agriculture (JIA) 2025年6期正式发表

图片

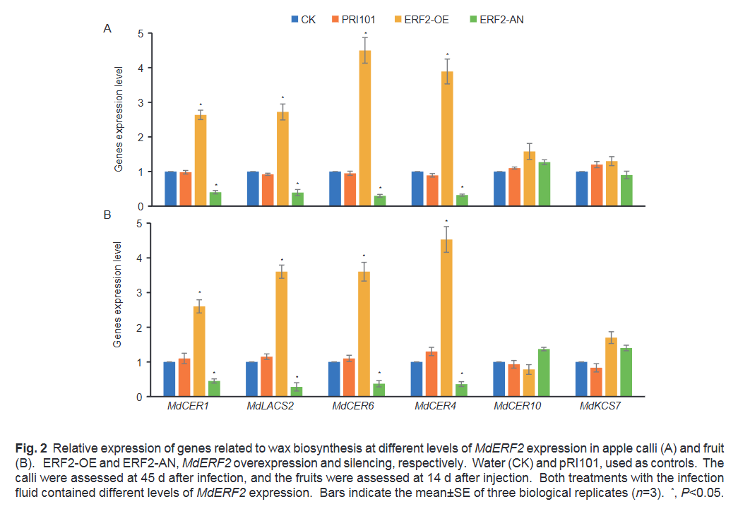
该研究通过超表达(ERF2-OE)和沉默(ERF2-AN)乙烯信号传递中关键转录因子MdERF2,发现MdERF2可以与苹果果实中MdLACS2MdCER1MdCER6基因的启动子直接结合,靶向上调其表达水平,进而增加了果实表皮蜡质中烷烃、酮的含量,减少了脂肪酸和酯的含量,导致蜡质结晶形态与超微结构由碎片化立体状趋向于层叠状沉积。

图片

图片

图片

该结果对于深入理解乙烯通过MdERF2调控苹果表皮蜡质合成代谢,进而影响其在苹果采后品质保持中的功能具有重要的参考意义。

山东理工大学农业工程与食品科学学院李富军教授为该文章的通讯作者,已毕业硕士研究生张馨月张新华教授为该文共同第一作者。该研究得到了国家自然科学基金面上项目(32272384)和山东省自然科学基金面上项目(ZR2020MC149)的资助。

论文链接:https://doi.org/10.1016/j.jia.2024.11.033

Cite the article:Xinyue Zhang, Xinhua Zhang, Wenwen Sun, Meng Lv, Yefei Gu, Sarfaraz Hussain, Xiaoan Li, Maratab Ali, Fujun Li. 2025. MdERF2 regulates cuticle wax formation by directly activating MdLACS2, MdCER1 and MdCER6 of apple fruit during postharvest. Journal of Integrative Agriculture, 24(6): 2229-2239.

Journal of Integrative Agriculture (JIA由中华人民共和国农业农村部主管,中国农业科学院与中国农学会主办,中国农业科学院农业信息研究所承办。综合性英文学术期刊,月刊。创刊于2002年,现任主编为中国科学院院士陈化兰。JIA主要栏目有作物科学、园艺、植物保护、动物科学、动物医学、农业生态环境、食品科学、农业经济与管理等。刊稿类型有综述、研究论文、简报以及评述等。全部论文在Elsevier-ScienceDirect (SD) 平台OA出版。最新SCI影响因子4.4,位于SCI-JCR农业综合学科Q1区。中国科学院分区农林科学1区。2016年以来先后获得中国科协等部委 “提升计划”“登峰计划”“卓越计划”项目支持



https://blog.sciencenet.cn/blog-3618084-1492359.html

上一篇:JIA|河北农大刘孟军教授团队揭示基于转录组分析的木质素积累在枣树果核发育和果皮硬化调控中的分子机制
下一篇:JIA|东北农大大豆遗传改良团队在大豆耐盐碱关键基因挖掘和基因功能解析的研究
收藏 IP: 124.17.34.*| 热度|

0

该博文允许注册用户评论 请点击登录 评论 (0 个评论)

数据加载中...
扫一扫,分享此博文

Archiver|手机版|科学网 ( 京ICP备07017567号-12 )

GMT+8, 2025-12-15 05:38

Powered by ScienceNet.cn

Copyright © 2007- 中国科学报社

返回顶部