||

金属纳米团簇已成为一类具有可定制结构的新兴可编程纳米材料,然而在不改变其结构框架的前提下实现金属纳米团簇的单原子调控仍然极具挑战性。
2025年11月17日,安徽大学朱满洲、康熙团队联合吉林大学武振楠团队在Nature Communications期刊发表题为“Regulation of the photophysical dynamics of metal nanoclusters by manipulating single-point defects”的研究论文。
该研究基于Au₂₁和Au₂₂团簇对,通过用额外的单Au原子配合物补充前者的表面缺陷,实现了单点缺陷调控。这两个纳米团簇展现出相同的几何结构,但其显著的量子限域效应导致了不同的电子性质,这体现在它们截然不同的光学吸收和发射特性中。温度依赖的稳态光致发光光谱和飞秒瞬态吸收光谱表明,在Au₂₂中调控单点缺陷抑制了非辐射衰变路径,减少了较高能级的电子损失,并加速了系间窜越,最终增强了其发射强度。总体而言,该研究中的Au₂₁和Au₂₂团簇系统提供了一个具有可控表面单点缺陷的团簇平台,使得能够在原子水平调控光物理动力学。
自理查德·费曼关于在原子水平调控物质可能性的开创性演讲——《底部还有很大空间》以来,纳米科学一直蓬勃发展。长期以来,掌握原子级调控并精确控制纳米材料的结构一直是纳米科学家的梦想。随着合成知识的不断积累和先进分析方法的发展,研究人员目前能够定制金属纳米颗粒的组成和形态。然而,在纳米颗粒表面的特定位点实现原子级调整——例如在指定位置添加或移除一两个金属原子——仍然具有挑战性。这些原子修饰至关重要,因为它们控制着纳米材料的物理化学性质。
PART.01
研究背景
金属纳米团簇因其原子级精确的结构而成为一类新兴的有前景的纳米材料。其纳米尺度尺寸赋予了这些纳米团簇类分子特性,具有离散的电子能级和强量子限域效应。事实上,金属纳米团簇的量子限域效应使其成为具有结构依赖性质量的可编程纳米材料,任何组成/结构的扰动都可能引起团簇物理化学性能的变化。反过来,纳米团簇的原子级精确性质使得研究人员能够掌握结构-性能关联,这对于可视化这些纳米材料的量子限域效应至关重要。在此背景下,有必要开发具有可比性质的结构类似团簇系统以实现此种可视化,这需要纳米团簇的原子级调控。然而,截至目前,在不改变其结构框架的前提下实现金属纳米团簇的单原子调控仍然极具挑战性。对结构依赖性物理化学性质的原子级理解需要新开发的团簇系统作为模型平台和精确工具。
PART.02
研究内容
在此,该研究通过使用两个结构类似的金团簇分子,即 [Au₂₁(AdmS)₁₂(PPh₂py)₃]⁺和 [Au₂₂(AdmS)₁₂(PPh₂py)₄]²⁺(分别缩写为Au₂₁和Au₂₂),实现原子级调控,并借此在原子水平调控了金属纳米团簇的光物理动力学。具体而言,Au₂₁纳米团簇的单点缺陷可以通过添加一个单Au原子配合物来补充,从而产生其结构类似物Au₂₂纳米团簇。保持的结构框架和两个纳米团簇之间的单原子差异使其成为一个平台,用于可视化量子限域效应在决定其光物理性质中的作用。虽然两个团簇类似物保持了一致的几何框架,但它们表现出明显不同的电子结构和独特的颜色特性——Au₂₁显示红棕色吸收,而Au₂₂显示黄绿色吸收。此外,与具有单点缺陷的Au₂₁相比,Au₂₂显示出更亮的光致发光,其光致发光量子产率分别为Au₂₂的47.63%和Au₂₁的13.10%。这种由单原子调控引发的光物理性质差异,已通过结合温度依赖的稳态光致发光光谱和飞秒瞬态吸收光谱得到了明确的解释。该研究发现揭示,Au₂₂中较弱的电子-声子耦合和更快的系间窜越有助于其增强的发射强度。
PART.03研究结果
图 1 | Au₂₁和Au₂₂纳米团簇的结构比较。a Au₂₁纳米团簇的Au₁₇内核包含一个扭曲的Au₁₁单元和一个扭曲的Au₁₀单元,它们共享一个Au₄面。b Au₂₂纳米团簇的Au₁₈内核由两个扭曲的Au₁₁单元通过共享相同的Au₄面构成。c 三个PPh₂py配体作为Au₁₇核心的末端。d 四个PPh₂py配体作为Au₁₈核心的末端。e 具有外围单原子缺陷的Au₂₁纳米团簇的结构解剖。f 具有完全保护表面的Au₂₂纳米团簇的结构解剖。SR:AdmS;PR':PPh₂py。颜色图例:浅蓝色球和橙色球,Au;红色球,S;绿色球,P;浅灰色球,N;灰色球,C;白色球,H。

图 2 | 光学分析。a Au₂₁纳米团簇的光学吸收、激发和发射。b Au₂₂纳米团簇的光学吸收、激发和发射。c Au₂₁纳米团簇的光致发光寿命。d Au₂₂纳米团簇的光致发光寿命。e 溶解在CH₂Cl₂中的Au₂₁纳米团簇的温度依赖光致发光光谱。f 溶解在CH₂Cl₂中的Au₂₂纳米团簇的温度依赖光致发光光谱。g 溶解在CH₂Cl₂中的Au₂₁纳米团簇的稳态光致发光光谱半高宽随温度的变化函数。h 溶解在CH₂Cl₂中的Au₂₂纳米团簇的稳态光致发光光谱半高宽随温度的变化函数。

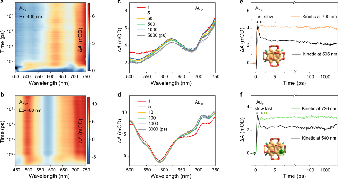
图 3 | 溶解在CH₂Cl₂中的Au₂₁和Au₂₂纳米团簇的激发态动力学。a Au₂₁和b Au₂₂纳米团簇在400 nm泵浦下的飞秒瞬态吸收数据图。c Au₂₁和d Au₂₂纳米团簇在不同时间延迟下的瞬态吸收光谱。在特定探测波长下选择的e Au₂₁和f Au₂₂纳米团簇的瞬态吸收动力学轨迹。

图 4 | 光致发光机制比较。a Au₂₁和b Au₂₂纳米团簇的光致发光机制。c 单点缺陷调控对Au₂₁和Au₂₂纳米团簇的电子-声子耦合和系间窜越的概述。颜色图例:绿色球和橙色球,Au;红色球,S;蓝绿色球和浅灰色球,P。
PART.04
研究结论
总之,Au₂₁纳米团簇的表面单点缺陷可以通过额外的单Au配合物进行补充,从而产生其结构类似物Au₂₂纳米团簇,同时保持了框架结构。尽管Au₂₁和Au₂₂纳米团簇展现出几乎相同的几何结构,但由于强量子限域效应,其电子结构存在显著差异。这两个纳米团簇表现出不同的光物理性质,特别是在其光学吸收和发射特性方面。这些差异通过分析它们的温度依赖稳态光致发光光谱和飞秒瞬态吸收光谱得到了合理解释。对Au₂₂的单点缺陷操纵抑制了非辐射衰变路径,减少了高能级的电子损失,加速了系间窜越,并最终增强了其光致发光强度。总体而言,具有可控单点缺陷的Au₂₁和Au₂₂团簇系统,为可视化单原子调控效应在决定金属纳米团簇光物理动力学中的作用提供了一个平台。
文章信息
Peiyao Pan, Weinan Dong, Wentao Huang, Xue Bai, Zhennan Wu*, Xi Kang*, Manzhou Zhu*. Regulation of the photophysical dynamics of metal nanoclusters by manipulating single-point defects. Nat. Commun. 2025, 16, 10065.
https://doi.org/10.1038/s41467-025-65024-3
识别二维码或点击文末“阅读原文”阅读文章

Polyoxometalates于2022年创刊,由清华大学主办,清华大学魏永革教授担任主编的国际首个多金属氧簇等团簇领域跨学科学术期刊,旨在传播多金属氧簇等团簇领域前沿基础研究和创新性应用研究最新进展,致力于为国内外多金属氧簇等团簇领域的学者搭建一流的国际学术交流平台,促进多金属氧簇等团簇领域学术交流和发展。
Polyoxometalates发表内容涵盖多金属氧簇等团簇领域各方面的原创研究和综述论文,包括合成、组装、理论计算,基于多金属氧簇等团簇的超分子、分子器件及其它功能材料,以及多金属氧簇等团簇在催化、能源、环境、生物学和医学中的应用等。本刊为开放获取期刊。已被ESCI、Scopus、Ei Compendex、CAS、DOAJ数据库收录。欢迎大家选择Polyoxometalates发表前沿、创新、新颖的研究成果!

全部论文均为开放获取,识别二维码免费下载阅读文章

❖ 包括但不限于多金属氧簇等团簇的合成、组装、理论计算,基于多金属氧簇等团簇的超分子、分子器件及其它功能材料,以及多金属氧簇等团簇在催化、能源、环境、生物学和医学中的应用等。
❖ Polyoxometalates邀请您提交原创研究、研究快报、综述、观点、研究亮点及评论等。所有论文一经录用,24小时内在线发表。
投稿网址:
https://mc03.manuscriptcentral.com/pomc
投稿请联系:
pom@tup.tsinghua.edu.cn
Archiver|手机版|科学网 ( 京ICP备07017567号-12 )
GMT+8, 2025-12-29 19:37
Powered by ScienceNet.cn
Copyright © 2007- 中国科学报社