liuzhiming69的个人博客分享 http://blog.sciencenet.cn/u/liuzhiming69

博文

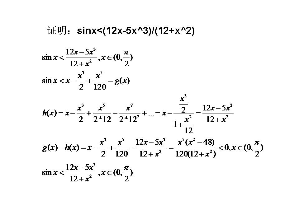
证明:sinx<(12x-5x^3)/(12+x^2)

已有 277 次阅读 2025-9-30 10:34 |系统分类:科研笔记

演示文稿1.jpg



https://blog.sciencenet.cn/blog-3556836-1504160.html

上一篇:证明:cos(2/3)>pi/4
下一篇:斐索流水实验之超级时空相对论解释
收藏 IP: 121.28.181.*| 热度|

1 王涛

该博文允许注册用户评论 请点击登录 评论 (0 个评论)

数据加载中...

Archiver|手机版|科学网 ( 京ICP备07017567号-12 )

GMT+8, 2025-12-19 07:59

Powered by ScienceNet.cn

Copyright © 2007- 中国科学报社

返回顶部