精选
||
原文出自Journal of Advanced Ceramics (先进陶瓷)期刊

Cite this article:
Chen J, Mei Y, Lin H, et al. Eu2+-actived oxyfluoride glass with highly efficient blue-cyan luminescence for X-ray imaging and white LED applications. Journal of Advanced Ceramics, 2026, https://doi.org/10.26599/JAC.2026.9221286
文章DOI:10.26599/JAC.2026.9221286
1、导读

应对多功能发光玻璃引用需求,本研究提出选择氟氧化物玻璃为基质、调节光学碱度、引入适当重元素和添加碳粉为还原剂四个策略,以设计具有强X射线激发发光(XEL)和高效蓝青色光致发光的Eu2+掺杂玻璃。在闪烁性能方面,最佳样品的XEL强度达到了商用BGO晶体的308%,为目前Eu2+掺杂玻璃的最高值。X射线成像分辨率可达24 lp/mm。在光致发光性能方面,最佳样品的外量子效率达到71.2%,在423 K时发光强度为室温下的57.7%。与400 nm芯片结合时,Eu2+掺杂玻璃能够有效填补青光间隙。白光LED显色指数可以达到91.8。该研究为多功能发光玻璃的设计提供了指导原则和设计方法。
2、研究背景
发光材料是照明、显示、探测等众多领域众多应用领域不可或缺的组成部分。为了满足实际需求,发光材料需要具备发光效率高、成本生产低以及可大规模生产等特点。近年来,稀土离子掺杂的玻璃材料引起了越来越多的关注。玻璃材料具有诸多固有优势,例如出色的结构稳定性、成分可调性以及形状可定制等等。在各种稀土激活剂中,Eu2+离子因其发射颜色可调、衰减时间短且无毒的特性脱颖而出。Eu2+离子的发光源自5d-4f跃迁,这一跃迁符合选择规则,并且极易受到周围晶体场的影响。通过改变晶体场强度,Eu2+的发光颜色可以在可见光范围内从蓝色到红色连续变化。由于这些特性,Eu2+离子掺杂的玻璃材料在先进的光电应用领域具有巨大潜力,例如X射线成像和全光谱白光发光二极管。
3、文章亮点
(1)通过四种策略设计了具有高发光效率的Eu2+离子掺杂玻璃。
(2)X射线激发发光强度达到BGO的308%,为Eu2+离子掺杂玻璃的最高值。
(3)样品具有高透明度,X射线成像分辨率可达24 lp/mm。
(4)基于最佳样品的全光谱白光LED的显色指数高达91.8。
4、研究结果及结论
Eu2+和碳粉的引入没有改变玻璃结构。加入碳粉后,吸收光谱红移,说明碳粉有效地促进了Eu3+到Eu2+的还原。所有样品在472 nm处的透过率均高于80%,这有利于实现高X射线成像分辨率。

图1 代表性样品的(a) XRD和(b) FTIR光谱。(c) SANLB基质和SANLB-0.9Eu-yC以及(d) SANLB-xEu-60C的透射光谱。
通过优化碳粉和Eu2+浓度,得到最佳样品SANLB-0.9Ce-60C。SANLB-0.9Ce-60C的内量子效率为79.7%,外量子效率为71.2%,吸收系数达89.3%。SANLB-0.9Ce-60C表现出高的热稳定性,在423 K时,发光强度为室温下的57.7%。

图2 (a) SANLB-0.9Eu-yC和(b) SANLB-xEu-60C的PLE和PL光谱。(c) SANLB-0.9Eu-60C的量子效率,(d)荧光衰减曲线,(e)温度依赖PL光谱和(f)对应的归一化激发强度。
SANLB-0.9Ce-60C对X射线的吸收能力与YAG:Ce相当。当样品厚度为2 mm,样品对X射线的衰减效率能达到99.3%。通过优化碳粉和Eu2+的浓度,最佳样品SANLB-0.9Ce-60C的XEL强度可以达到商用BGO晶体的308%,为Eu2+掺杂玻璃中的最高值。

图3 SANLB-0.9Eu-60C的(a-b) X射线衰减能力。(c) SANLB-0.9Eu-yC和(d) SANLB-xEu-60C的XEL光谱。(e) XEL发光机理图。
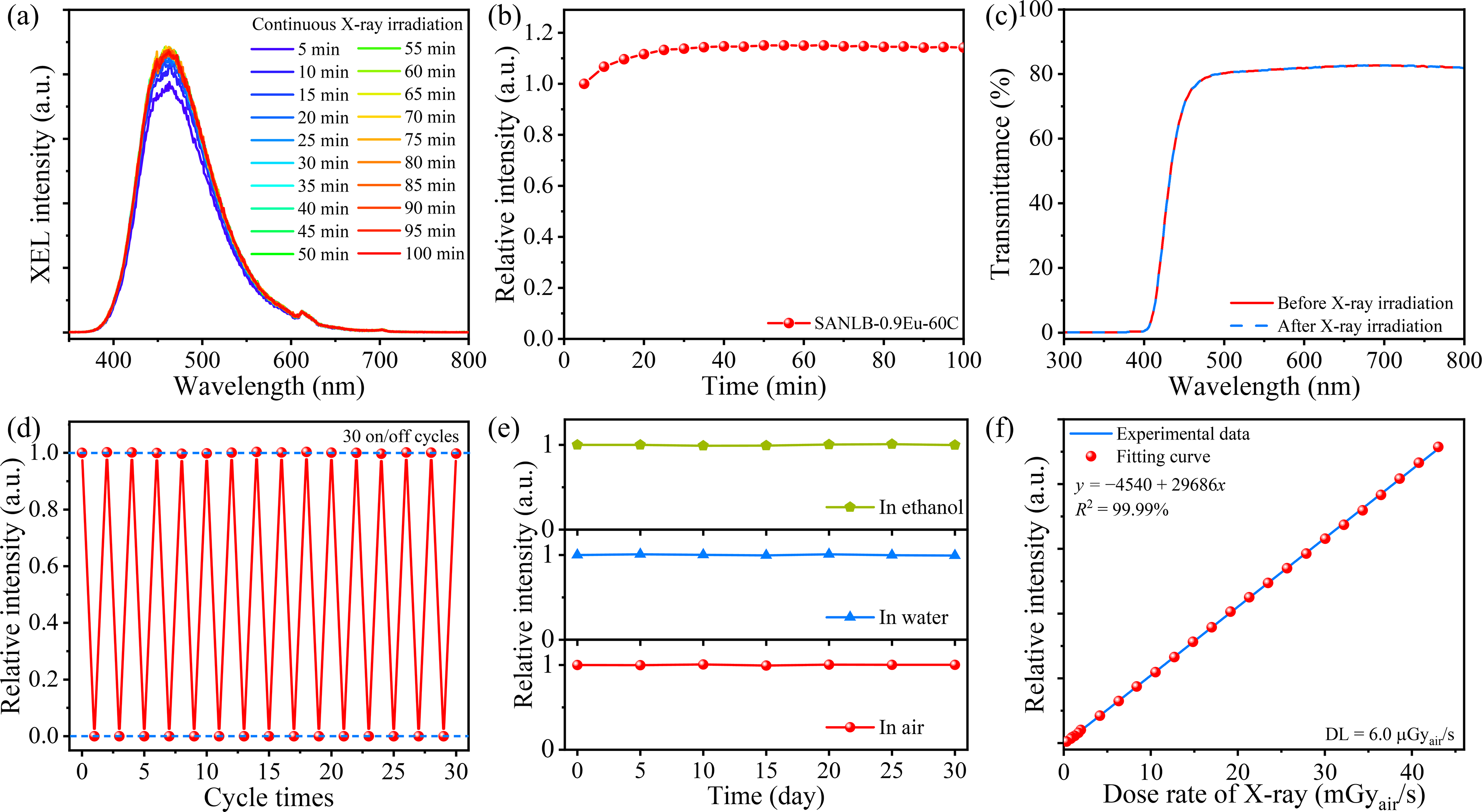
SANLB-0.9Ce-60C表现出优异的耐辐照性能和稳定性。XEL强度随辐照时间增加而增强,随后保持不变,且没有出现明显的辐照损伤。在30次X射线开关循环中XEL强度保持稳定。在空气、水和乙醇溶液中浸泡30天后,XEL强度没有出现明显变化。随着X射线剂量率的增加,XEL强度线性增加,拟合度高达99.99%。

图4 SANLB-0.9Eu-60C的(a-c)耐辐照性能,(d) X射线开关循环稳定性,(e)空气、水和乙醇中的XEL稳定性和(f)剂量率依赖曲线。
X射线成像图片能够清晰反映成像对象内部结构,评估得到的X射线成像分辨率可以达到24 lp/mm。经过30天的水中浸泡后,水下X射线成像清晰度和亮度没有发生明显变化。

图5 (a)自制X射线成像系统示意图。(b)芯片,(c)瓜子和(d)标准X射线成像分辨率测试卡的实物图和X射线成像图。(e)计算的MTF曲线。(f-g)芯片和实物图和长时间(30 天)水下X射线成像图及稳定性。
5、作者及研究团队简介
郭海(通讯作者),浙江师范大学教授,博士生导师。主要研究方向是新型稀土光学功能材料。在Adv. Mater., Adv. Funct. Mater., Laser Photonics Rev., J. Adv. Ceram., Sci. China Mater., Adv. Opt. Mater. J. Eur. Ceram. Soc., Chem. Eng. J., Sens. Actuators B Chem., Ceram. Int., Opt. Lett., Opt. Express等刊物上发表第一作者(或者通讯作者)SCI收录论文200篇,被引用9518次,H因子为54。主持国基项目4项,省基金项目3项(含1项省重点),获浙江省自然科学奖三等奖(排名第1)1项,获重庆市自然科学奖三等奖(排名第2)1项。2015年开始担任陶瓷类国际著名期刊J. Am. Ceram. Soc.副编辑(Associate Editor)。担任《中国稀土学报》、《发光学报》青年编辑,中国硅酸盐学会特种玻璃分会理事,中国稀土学会光电材料与器件专业委员会理事等学术兼职。担任国家自然科学基金评审人。出版译著《无机固体光谱学导论》。
作者及研究团队在Journal of Advanced Ceramics上发表的相关代表作:
1) He G, Chen J, Li L, et al. Cu+-doped oxyfluoride glass with anti-thermal-quenching luminescence for X-ray imaging and WLED. Journal of Advanced Ceramics, 2025, 14(8): 9221116. https://doi.org/10.26599/JAC.2025.9221116
2) Li L, Chen J, He G, et al. Achieving anti-thermal-quenching in Tb3+-doped glass scintillators via dual-channel thermally enhanced energy transfer. Journal of Advanced Ceramics, 2026, 15(1): 9221220. https://doi.org/10.26599/JAC.2025.9221220
《先进陶瓷(英文)》(Journal of Advanced Ceramics)期刊简介
《先进陶瓷(英文)》于2012年创刊,清华大学主办,清华大学出版社出版,清华大学新型陶瓷材料全国重点实验室提供学术支持,创刊主编为中国工程院院士、清华大学李龙土教授,主编为中国科学院院士、清华大学林元华教授、郑州大学周延春教授和广东工业大学林华泰教授。该刊主要发表先进陶瓷领域的高质量原创性研究和综述类学术论文,涉及先进陶瓷的制备、结构表征、性能评价的各个细节,尤其侧重新材料研制和先进陶瓷基础科学研究等重要方面,致力于在世界先进陶瓷领域搭建学术交流平台,引领和促进先进陶瓷学科的发展。已被SCIE、Ei Compendex、Scopus、DOAJ、CSCD等数据库收录。现为月刊,2024年发文量为174篇;2025年6月发布的影响因子为16.6,连续5年位列Web of Science核心合集“材料科学,陶瓷”学科33种同类期刊第1名;2024年11月入选“中国科技期刊卓越行动计划二期”英文领军期刊项目;2025年入选中国科学院文献情报中心期刊分区表材料科学1区Top期刊。2023年起,本刊结束与国际出版商的合作,改由清华大学出版社自主研发、拥有自主知识产权的科技期刊国际化数字出版平台SciOpen独家发布,标志着该刊结束多年来“借船出海”的办刊模式,回归本土独立运营,也是我国优质英文期刊中最早回归国产平台的期刊之一。

Archiver|手机版|科学网 ( 京ICP备07017567号-12 )
GMT+8, 2026-3-27 13:56
Powered by ScienceNet.cn
Copyright © 2007- 中国科学报社