||
文章背景
这项研究探讨了意大利水牛免疫基因在产后炎症性生殖疾病中的作用。通过PCR-DNA测序,发现健康水牛与患病水牛在免疫基因 (如IKBKG、LGALS、IL1B 等) 的核苷酸序列上存在显著差异。结果表明,患有炎症性生殖疾病的水牛在基因表达上呈现明显变化,且其免疫基因的核苷酸变异与疾病的发生存在关联。研究表明,免疫基因的多态性和基因表达模式可作为炎症性产后疾病的潜在生物标志物,能够帮助预测和追踪这些疾病的易感性。通过这一发现,研究为意大利水牛群体的管理政策提供了实用的理论依据,能够改进相关疾病的预防与治疗策略。来自中埃及曼苏拉大学Ahmed Ateya博士及其团队在 Veterinary Sciences 期刊发表了文章,该研究强调了免疫标志物在水牛生殖疾病中的潜在应用,并为进一步的基因组选择提供了新的思路。

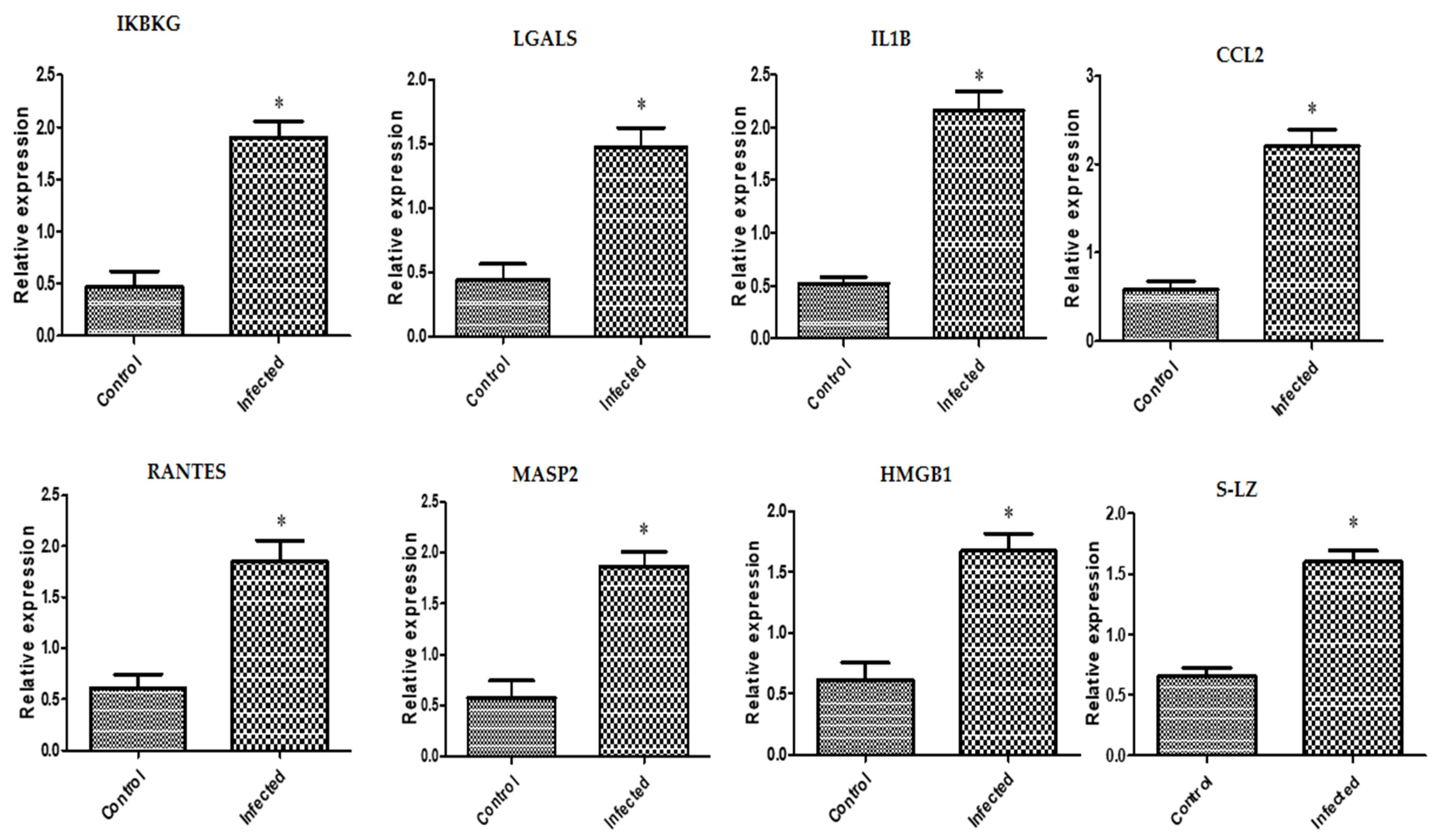
正常水牛和患有炎症性生殖系统疾病的水牛之间,免疫基因转录水平存在差异。
研究过程与结果
本研究选取120头意大利奶水牛,其中60头健康、60头患有乳腺炎或子宫内膜炎等繁殖系统炎症性疾病。所有水牛年龄约4.5岁,处于第二泌乳期,平均日产奶量15±2.7公斤。健康组表现正常,而患病组出现高体温、乳房肿痛、乳汁异常、厌食及持续性恶臭子宫分泌物等症状。每头水牛采集静脉血用于DNA与RNA提取,实验获得伦理批准 (Code VUSC-027-1-23)。
研究利用PCR扩增八个免疫相关基因 (IKBKG、LGALS、IL1B、CCL2、RANTES、MASP2、HMGB1、S-LZ) 的外显子区,并进行Sanger测序以检测单核苷酸多态性 (SNP)。通过与GenBank参考序列比对,共发现18个SNP,其中10个为非同义突变、8个为同义突变。Fisher确切检验表明,健康与患病水牛间SNP分布显著不同 (p < 0.01),提示这些基因突变可能影响水牛对炎症性繁殖疾病的易感性。主要突变包括:IKBKG 中的T26M与G110S;IL1B 中的T18M、V42A、L69S、S104L;HMGB1中的S76L、P92L、F136S。其他基因如LGALS、CCL2、RANTES、MASP2 及S-LZ 则多呈现同义突变。在基因表达水平方面,利用实时荧光定量PCR检测八个免疫基因的mRNA含量,并以β-actin作为内参。结果显示,患病水牛所有基因的表达量均显著上调 (p < 0.05)。其中CCL2 表达最高 (2.21±0.18),LGALS上调幅度最小 (1.47±0.15)。健康水牛中,S-LZ 表达最高 (0.65±0.06),IKBKG 最低 (0.46±0.15)。总体而言,免疫基因的遗传多态性及其表达变化均与水牛炎症性繁殖疾病显著相关,为疾病易感性分析及未来育种提供了潜在分子标记。
研究总结
本研究探讨八个免疫相关基因 (IKBKG、LGALS、IL1B、CCL2、RANTES、MASP2、HMGB1、S-LZ) 的多态性及表达水平与意大利水牛炎症性繁殖障碍之间的关系。通过PCR扩增与Sanger测序,在健康与患病水牛中共鉴定出18个SNP,包括10个非同义和8个同义突变。Fisher确切检验显示各SNP在两组间分布存在显著差异 (p < 0.01),提示这些突变可能与疾病易感性或抗性相关。进一步比对发现,多数突变在牛、羊、山羊等近缘物种中具有保守性,说明这些碱基变异位于免疫基因的重要功能区域。本研究首次系统性报道了这些基因在水牛炎症性繁殖疾病中的遗传变异情况。同时,通过实时荧光定量PCR检测同一批水牛的基因表达,结果显示患病水牛的八个免疫基因均显著上调,反映出明显的炎症反应。此前研究指出,繁殖系统感染常导致细胞因子、趋化因子及其受体上调,促进中性粒细胞募集和炎症扩散。本研究的表达结果与牛、羊、山羊等物种在子宫内膜炎或乳腺炎中的相关基因表达模式一致,进一步支持这些基因在水牛繁殖系统炎症中的关键作用。这些免疫基因的非同义突变可能改变蛋白结构和功能,从而影响动物对感染的反应能力。基因表达的显著增高说明患病水牛正在经历更强烈的免疫反应,可能与病原暴露增加、组织损伤及氧化应激相关。研究提出,免疫基因的遗传差异与表达水平变化共同决定水牛对繁殖道炎症的易感性。综上,本研究首次明确了这些免疫基因的SNP及表达特征与意大利水牛炎症性繁殖障碍的关联,为利用遗传标记筛选抗病水牛提供了基础,有助于未来在育种、疾病诊断和精准健康管理中的应用。
阅读英文原文:https://www.mdpi.com/2306-7381/10/9/573
Veterinary Sciences 期刊介绍
主编:Patrick Butaye, Ghent University, Belgium; City University of Hong Kong, China
发表与兽医科学领域相关的原创研究文章、评论、通讯和简短说明,主题包括动物疾病、紊乱和损伤的预防、诊断和治疗。
2024 Impact Factor:2.3
2024 CiteScore:3.5
Time to First Decision:17.8 Days
Acceptance to Publication:2.6 Days
期刊主页:https://www.mdpi.com/journal/vetsci

Archiver|手机版|科学网 ( 京ICP备07017567号-12 )
GMT+8, 2026-4-16 18:23
Powered by ScienceNet.cn
Copyright © 2007- 中国科学报社