|
我们知道,深度学习模型的重要突破在于其基于多层次的结构特征。人脸识别中一个个整张脸谱,是一层结构特征;一个个眼耳口鼻嘴,是下一层结构特征;一个个横撇捺折钩等边缘线像素,是下下一层结构特征。在相对狭小的领域,我们凭借经验总能找到这样一层一层细化的结构特征、子结构特征、子子结构特征,构建多层次的深度学习模型。AI需要超越人类在狭小领域的已有经验,在普遍适用的广阔空间中自主学习、自主探索、自主创新,关键是机器能够自主找到有效的多层次的结构特征。那么什么样的子特征结构有效呢?在普遍适用的广阔空间中,计算机将面临各种各样的系宗、系统、子系统,请注意并不是任意子系统都具备聚而为点的“子特征类”,那么什么样的情况下某个子系统看作是子特征类的结构呢?概括而言,当且仅当数据集群的子特征属性逻辑收敛才行,也就是粒子化条件。
一、粒子的产生杂乱无章是宇宙的基本状态,为什么宇宙会出现破坏信息熵增的异端-有序态粒子?
在量子场论中,我们将场 {φ}(x) 进行量子化,其激发态即对应粒子。但要成为一个可观测、稳定的“粒子”,其数学表象必须满足一系列严苛条件,这些条件共同定义了“粒子性”。粒子,正是宇宙从量子混沌场(高对称、高潜在熵)走向当前结构化世界(低对称、低熵)时,所释放并冻结下来的有序性的基本载体。
粒子性核心是量子场的量子化局域激发态,是宇宙从高对称混沌态(早期量子汤)经对称性破缺,破缺释放能量,转化为粒子的静质量与动能。数学上严格定义为量子场的激发态,量子场论通过正则量子化或路径积分方法,将经典场转化为满足特定对易/反对易关系的量子算符系统,其激发态对应可观测的粒子。
粒子性的数学本质是量子场的局域激发态,其产生过程是宇宙从高对称混沌态经对称性破缺的结果。对称性破缺的数学条件是拉格朗日量具有对称性但基态不具有,深层逻辑是希格斯机制赋予粒子质量。
①拉格朗日量的对称性:设系统的拉格朗日量 L 在群 G 的变换下不变(L( g·φ)=L(φ) , g∈ G )
② 基态的非对称性:系统的基态 |Ω> 不满足 g|Ω> = |Ω >(即基态在 G 的变换下发生变化)
此时,系统发生自发对称性破缺,其序参量(如希格斯场的真空期望值 lφ> )不为零。
核心同构在于粒子性对应于线性算子的离散谱(特征值),对称破缺对应于非线性项使简并特征空间分裂。
高对称的拉格朗日量(蕴含无限可能)→ 对称性破缺的真空选择(随机“对称性冻结”)→ 在新真空下的有效理论中产生正质量项(激发态被赋予稳定性)→ 稳定的激发态被定义为粒子。
粒子性的数学本质是在破缺对称性的真空背景上,量子场算符产生的、满足谱条件与局域性的希尔伯特空间中的离散激发态。其深层逻辑链条为:

这是一个从混沌中涌现秩序的反熵过程,其数学严格性根植于泛函分析、群表示论与谱理论的深层结构。
二、量子化条件
某子集系统之所以呈现子特征一致牲的“粒子性”,本质在于子特征不变性,这与‘线性时不变系统’有深刻的内在关系。下面我们通过 量子(能量粒子)来简要探讨系统的粒子化条件。
能量是物理分析中常常遇到的概念,由于时空的连续性,因此一般理解连续时空的能量毫无疑义当然应当是连续的。但是,1900年12月14日普朗克在德国物理学会上报告了一个匪夷所思的结果,他通过黑体辐射数学推演得出能量的离散性。老师曾经说过,量子力学的根就是这个h(普朗克常数),有h的地方就是量子力学,没有h的不是量子力学。普朗克尺度h,成为微观宇宙基准度量。不过值得一提的是,尽管h为普朗克带来了量子之父的极大荣耀、尽管h是普朗克光宗耀祖的唯一光环,但普朗克本人终身不敢完全相信所谓的‘能量粒子’,因为这个h完全是数学推演的结果,它违背物理学“常识”。任何一个正常思维的物理学家,都无法接受‘粒子能量’的荒谬。连续时空能量怎么可能出现一个一个离散的‘能量粒子’呢? 直到一个不按正常思维常理出牌的爱因斯坦的出现,‘能量粒子’的观念才重放光彩。爱因斯坦通过光电效应实例,直截了当把光看作‘能量粒子’(即光量子):E=hν
进一步,既然一个子集合系统可以看作一个点元素,那么一个点元素能不能看作某个信号集合的系统呢? 德布罗意也是这么想的,然后他把爱因斯坦光电效应公式倒过来看时,发现了粒子中的波:ν=E/h,λ=h/p
波粒二象性是物质的基本形式,早成为无可辩驳的实验事实。但是为什么,其根源是什么?却一直知其然不知其所以然,巨大困惑始终萦绕物理学家。究竟为什么,连续时空会产生离散的量子呢? 物理学家们怀疑,‘能量粒子’的出现是因为环境限制的某种“制约性”。最直观简单的例子是势阱。在真实的物质世界中,势阱数学模型类似于电子在原子“制约性”不同轨道间的跃迁,也就是波尔量子化条件:

1900-1925年普朗克、波尔统治的旧量子时期,没有源自更基础的理论,是一种经典力学线性空间思维模式的生搬硬套的量子化,存在许多局限性,未能揭示量子力学深刻内涵。 其后,薛定谔、海森堡、玻恩、狄拉克等等将哈密顿算子、泊松括号与傅立叶变换矩阵结合,推演出的全新形式的量子化力学,从而一步步形成‘普遍适用’的张量空间中量子化条件。新的量子化条件不再是狭小范围内的局部环境限制“制约性”,而是场空间(高阶张量)的“整体制约性”的体现:

究其根本,物理学家发现量子条件主要依赖于哈密顿算子(代表系统能量总和)的泊松括号不变性(交换子的不变性):

玻尔量子化是早期经验式量子化,狄拉克以哈密顿量正则形式+泊松括号为基础,建立系统量子化方案,将经典力学量(含H)量子化为算符,用对易子替代泊松括号,让量子化从经验上升为严格数学框架。量子化条件是微观世界的“离散性法则”,玻尔模型是其首次成功应用(解释氢原子光谱);哈密顿量是“能量桥梁”,连接经典与量子的动力学演化;泊松括号是“代数纽带”,通过对应原理将经典泊松括号转化为量子对易子,实现“经典-量子”的过渡。这些概念共同构成了量子力学的“基础框架”,推动了从旧量子论到现代量子力学的发展。
这一过程,与 “对称性破缺产生有序粒子” 在精神上相通:都是从一套更普遍、更对称的数学结构(经典泊松代数/高对称拉格朗日量)出发,通过引入一个根本性的新约束(量子化条件 ih对称性破缺的真空期望值 v),涌现出一个全新的、具有更丰富结构的世界(量子世界/有质量粒子的世界)。它们共同展现了人类如何通过数学的桥梁,连接不同层次的自然法则。
三、波粒二象性(无穷和收敛)经典力学(以哈密顿量和泊松括号描述)→ 对应原理(寻找经典量与量子算符的对应)→ 量子力学(以算符哈密顿量和对易关系为核心)
①玻尔量子化条件:旧量子论半经典规则,核心为电子定态轨道角动量L=nℏ(n=1,2…量子数,ℏ约化普朗克常数),解释氢原子光谱,无系统数学根基,仅适用于一维/圆周体系。
② 哈密顿量:经典力学中系统总机械能的正则表述H=T+V(动能+势能);量子力学对应哈密顿算符Ĥ,是核心力学量,定态薛定谔方程Ĥψ=Eψ直接决定体系能级与状态。
③泊松括号(经典):{A,B}=Σ(∂A/∂q)(∂B/∂p )- (∂A/∂p)(∂B/∂q),描述经典力学量关联,是正则变换不变量;狄拉克量子化条件搭建经典→量子桥梁:经典泊松括号{A,B} 对应 量子算符对易子(1/iℏ)[Â,B̂]。
如果我们在泊松括号中代入P和Q的傅里叶变换,将从普适的量子化条件得到玻尔量子化条件。普适的量子化条件在于哈密顿算子对泊松括号的不变性,指向于系统整体的某种微分不变性。而微分不变性,是线性时不变系统的典型特征。 因为: (x-a)的导数=x的导数,在复合系统中,即:(x-a)的偏微分=x的偏微分
最后,傅立叶变换在量子化谱分析成为波粒二象性量化的基础,矩阵力学因此登上量子舞台中央。

• 无穷加:负责谱结构和线性性,是量子力学基本原理(叠加原理)的数学表达,产生微观粒子性(本征态、量子数)。
四、无穷积的收敛这里,我们迎来一个深刻问题:既然“无穷加”的平面波叠加可以收敛为粒子,那么复空间特征元的“无穷积”是否也有可能收敛从而得到粒子状态呢?
“无穷加”与“无穷积”二者并非割裂,而是对偶空间两边的向量和旋量的关系。比如二次量子化将态的叠加转化为算符的乘积,而泛函积分将算符的乘积转化为场的叠加。在"线性时不变系统"的框架下,线性性对应李群表示理论,时不变性对应能量守恒(哈密顿量本征态),而粒子性正是这两个条件在n阶无穷维希尔伯特空间上的谱几何表现。
• 无穷积:负责多体关联和动力学,是涌现现象和相互作用的载体,产生宏观粒子性(准粒子、拓扑激发、统计行为)。复空间特征元的无穷积主要有张量积、高阶复合函数、群作用等等。
1、多粒子张量积
波粒二象性的本质是复数空间的无穷多个复特征性质波函数叠加形成粒子。既然复空间特征元的无穷加(叠加)可得到粒子化,那么复空间特征元的无穷积(张量积、群作用、函数复合等等)是否也可得到粒子化呢?
多粒子态的张量积描述的是独立系统的组合或纠缠,其宏观粒子性源于多体系统的整体统计性质(如光子的玻色-爱因斯坦凝聚或费米上下自旋扺消的氦原子液态等)。


2、高阶复合函数
①黎曼ζ函数中的欧拉等式,“无穷加”与“无穷积”相等:

②深度学习模型多隐层结构的高阶复合函数,相当于向量n阶积。卷积神经网络不同隐层feature map进行特征属性复合:

其中Op是输出,Xp是样本输入,Fn是滤波功能函数,W(n)是加权参数。


3、群作用
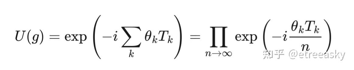
粒子性的群论根源,群作用(对称性与约束),群元g ∈ G在希尔伯特空间的表示U(g)可视为算符乘积的无穷序列:

• 庞加莱群不可约表示 = 粒子分类:Wigner定理指出,基本粒子对应庞加莱群的不可约酉表示,质量m和自旋s是Casimir算符的本征值。
• 自旋-统计定理:{Z}_2群的两种表示(对称/反对称)直接决定了玻色子vs费米子统计,这是拓扑性的体现(交换两粒子对应辫子群生成元)。
• 禁止律:群表示的直积分解(如SU(3)的3⊗ bar{3} = 8 ⊕ 1)产生了色禁闭——夸克无法单独观测,只有色单态(粒子)存在。
更广泛意义上,线性时不变系统的扩展,即“群”。根据伽罗瓦定律,特征根系一层层扩域对应一个个子特征空间,子特征空间直和与正规子群直积等价:

假若子特征空间(子特征类)直和收敛为粒子:

可得到简式:连加=粒子=连乘

即,正规子群的复合群作用,收敛为粒子性

① 玻尔量子化条件(早期版本),对周期系统,作用量积分必须是普朗克常数的整数倍。这是相空间轨迹的离散化约束,将连续的经典状态空间压缩为离散的"允许轨道"。
② 哈密顿量(系统能量函数),对于状态变量(q_i,p_i)描述的系统,哈密顿量H(q,p,t)是系统的总能量泛函, 物理意义决定系统演化的"生成元", 量子化目标将经典可观测量H提升为希尔伯特空间上的自伴算符{H}。
③泊松括号(结构骨架)定义在可观测量函数空间上的二元运算:
• 时间演化:df/dt= {f,H} + ∂ f/∂ t
• 代数结构:构成李代数(反对称、满足雅可比恒等式)

这实现了系统结构的时间平移对称性从经典李代数到量子算符代数的保持,是"时不变性"在量子框架下的代数重构。 量子化对应(Dirac处方)核心映射:经典泊松括号 → 量子对易子。跨领域框架下,这相当于从连续参数系统到离散谱算符系统的表征压缩。核心同构在于,粒子性对应于线性算子的离散谱(特征值),对称破缺对应于非线性项使简并特征空间分裂。
时域(或空域)中的卷积运算与频域(或复频域)中的乘法运算之间的等价关系,意味着卷积本身就是粒子化条件。而线性时不变系统,是卷积定理的充分必要条件。线性时不变系统是个交换群,线性时不变性可以推广延展至普通群。LTI系统是群不变性的特例,其数学结构可通过群表示论严格描述,而频率响应、冲激响应等核心概念均是群作用不变性的深层结果。相比更一般的群不变性(如非阿贝尔群的规范不变性),LTI系统的不变性更简单,是现代控制理论、信息处理等领域的基石。LTI系统的不变性是群作用不变性的特例,其线性性对应加法群的作用不变性,时不变性对应时间平移群的作用不变性。这种联系不仅揭示了LTI系统的本质,也为理解更复杂的群不变性(如规范场论中的不变性)提供了基础。
• 复指数函数 e^{jω t} 是LTI系统的本征函数(T[e^{jω t}] = H(jω) e^{j\ω t}),其中 H(jω) 是频率响应(本征值);
• 傅里叶变换是群表示的傅里叶变换(将信号从时间域转换到频率域,对应群 G = {R} 的 Pontryagin 对偶群 { ^G} ={R}。

从群论的角度,LTI系统的传递函数 H(s)(拉普拉斯变换)是群代数(group algebra)的元素,LTI系统的频率响应(传递函数)是群表示的本征值问题,其 poles 和 zeros 对应系统的共振频率和衰减特性,这些都是群作用不变性的深层表现。
LTI系统作为群作用不变性的特例,成为封闭和完备的“子特征类”粒子性的特例。
Archiver|手机版|科学网 ( 京ICP备07017567号-12 )
GMT+8, 2026-4-23 07:53
Powered by ScienceNet.cn
Copyright © 2007- 中国科学报社