||
交错磁体,作为一种新型的共线反铁磁体,因其零净磁化和动量依赖的自旋分裂而引发了广泛的兴趣。尽管交错磁体的磁性结构较为简单,但它们在反常霍尔效应(以及磁光效应)与奈尔矢量之间的依赖关系上却展现出有趣而复杂的特性,这与传统铁磁体中霍尔电流与磁化之间的垂直配置形成了鲜明对比。在本项研究中,我们使用了一种“外禀参量”方法,用以揭示奈尔矢量空间中的反常霍尔效应的结构,并将其命名为反常霍尔-奈尔纹理(Anomalous-Hall Néel texture, AHNTs)。经过系统的对称性分析,发现 AHNTs 与动量空间中的自旋纹理具有相似性,并在此基础上总结出了 10 种共 4 类的 AHNTs(详见表 1)。


表1 交错磁体中的反常霍尔纹理分类及其对应材料

为进一步验证研究成果,选取了金红石型(见图 1)、方解石型(见图 2)、NiAs型(见图 3)、钙钛矿型(见图 4)等多种典型的交错磁体进行计算,证实了 AHNTs 在这些材料中的存在。

图1 金红石型交错磁体的反常霍尔效应纹理

图2 方解石型交错磁体的反常霍尔效应纹理

图3 NiAs型交错磁体的反常霍尔效应纹理

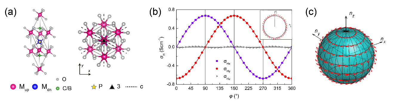
图4 A、C和G钙钛矿型交错磁体的磁结构和反常霍尔效应纹理
该研究不仅深入剖析了交错磁性材料中反常霍尔效应与奈尔序之间的解析关系,更成功揭示了此类材料中复杂反常霍尔效应与磁结构之间的内在联系。该工作可以为交错磁性材料中的反常霍尔效应提供更加全面的理解,也可以为交错磁性材料的分类提供依据。
文章链接:Anomalous-Hall Néel textures in altermagnetic materials [ Sci. China Phys. Mech. Astron. 69, 217511 (2026).]
Archiver|手机版|科学网 ( 京ICP备07017567号-12 )
GMT+8, 2025-12-29 05:12
Powered by ScienceNet.cn
Copyright © 2007- 中国科学报社