||
源流库协同关系是决定作物产量的关键。充分挖掘带状间作玉米产量潜力,为全面实现大豆玉米带状复合种植玉米不减产、增产一季豆提供理论和技术保障。以往的研究多集中在带状间作系统光能高效利用、氮素高效利用等方面。针对氮肥优化施用策略如何调控带状间作玉米源流库关系以挖掘产量潜力的机理和技术措施尚不明确。
近期,四川农业大学玉米大豆带状复合种植研究团队王小春教授课题组完成的题为“Yield improvement in maize through optimized application of nitrogen fertilizer under narrow-wide row intercropping is associated with source-flow-sink trade-offs”的研究在Journal of Integrative Agriculture(JIA)优先在线发表。
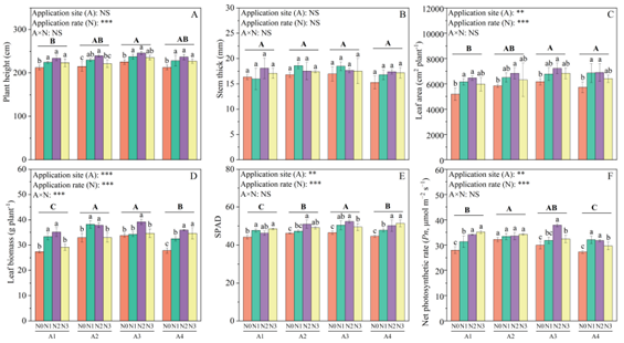
该研究基于玉米大豆带状间作系统玉米处于异质氮环境特性,设置不同施氮位点(传统中沟施肥、带状间作玉米两侧10、20和30 cm)和不同施氮量(0 、225、300和375 kg ha-1),分析测定了带状间作玉米源(叶片干重、叶片净光合速率、叶片面积、SPAD、株高、茎粗)-流(伤流液强度、茎秆维管束数量、可溶性糖、氨基酸)-库(籽粒灌浆Logistic方程拟合和作物产量),运用结构方程模型和随机森林模型解析了优化施氮策略提高带状间作玉米产量的原因。
结果表明,相比于传统中沟施肥,宽行玉米两侧20cm施氮位点,相同施氮量(300 kg ha-1)显著提升了叶片干重、净光合速率、SPAD、根伤流液强度、总维管束数量、可溶性糖和氨基酸含量,最终带状间作玉米两年平均亩增产86 kg(提高17.4%),群体产量增加98 kg。带状间作玉米和群体产量得益于施氮位点和施氮量互作显著增加了维管束数量和可溶性糖、保障了“畅流”,延长籽粒灌浆活跃期、实现“库强”。随机森林模型结果表明,籽粒灌浆特性是影响带状间作玉米增产的主要因素。本研究为大田生产中带状间作玉米氮肥优化施用提供理论依据。



四川农业大学农学院已毕业博士封亮为第一作者(现为山西农业大学农业基因资源研究中心助理研究员),王小春教授为通讯作者。
该研究得到国家重点研发计划(2022YFD2300902-02)等项目支持。
Cite this article:Liang Feng, Ruoxing Liao, Muhammad Umair Hassan, Xin Liu, Xinghao Chen, Xuyang Zhao, Xinhui Lei, Tian Pu, Yushan Wu, Taiwen Yong, Feng Yang, Xiaochun Wang, Wenyu Yang. 2025. Yield improvement in maize through optimized application of nitrogen fertilizer under narrow-wide row intercropping is associated with source-flow-sink trade-offs. Journal of Integrative Agriculture, Doi:10.1016/j.jia.2025.12.035
Journal of Integrative Agriculture(《农业科学学报(英文)》, JIA)由中华人民共和国农业农村部主管,中国农业科学院与中国农学会主办,中国农业科学院农业信息研究所承办。综合性英文学术期刊,月刊。创刊于2002年,现任主编为中国科学院院士陈化兰。JIA主要栏目有作物科学、园艺、植物保护、动物科学、动物医学、农业生态环境、食品科学、农业经济与管理等。刊稿类型有综述、研究论文、简报以及评述等。全部论文在Elsevier-ScienceDirect (SD) 平台OA出版。最新SCI影响因子4.4,位于SCI-JCR农业综合学科Q1区。中国科学院分区农林科学1区。2016年以来先后获得中国科协等部委 “提升计划”“登峰计划”“卓越计划”项目支持。
Archiver|手机版|科学网 ( 京ICP备07017567号-12 )
GMT+8, 2026-3-14 19:14
Powered by ScienceNet.cn
Copyright © 2007- 中国科学报社