||
玉米(Zea mays L.)作为我国重要的粮食作物,在保障国家粮食安全和推动农业经济增长方面发挥着举足轻重的作用。然而,受全球气候变化影响,黄淮海主产区频发持续强降雨,导致的农田涝渍胁迫(Waterlogging stress)严重制约了夏玉米的高产稳产。有研究表明,涝后补施氮肥是缓解涝渍危害、促进玉米产量恢复的有效补救策略。但在玉米不同发育阶段(如拔节期和籽粒建成期),涝渍引发减产的具体生理机制,以及氮肥介导的阶段特异性恢复途径与调控作用尚不清楚。
近期,河南农业大学农学院玉米高产栽培与逆境生理团队邵瑞鑫课题组完成的题为“Development stage-specific recovery of remedial nitrogen fertilizer application after waterlogging in maize through photosynthetic capacity and nitrogen allocation”的研究在Journal of Integrative Agriculture(《农业科学学报(英文)》,JIA)优先在线发表。
该研究以玉米杂交种“中科玉505”为材料,在拔节期(V6)和籽粒形成期(R2)设置不同的水分与氮肥处理:正常水分(CK)、涝渍胁迫(WS)以及涝渍后补施氮肥(WF)。从夏玉米的产量形成、光合性能、氮素分配与籽粒库容、关键代谢酶活性及转录组学等方面进行系统研究,以明确涝渍后补施氮肥对夏玉米光合能力恢复、氮素转移分配以及最终产量恢复的特异性调控作用及机理,旨在为夏玉米因时制宜地抗涝减损栽培技术提供重要的理论依据与实践指导。
连续三年的大田定位试验证明,V6期与R2期涝渍胁迫均会显著降低玉米的产量,在V6期对涝渍最为敏感,但其胁迫后氮肥补救的恢复潜力最强(可显著增加25.4%的产量),可恢复至对照产量的84.0%,其核心在于提高了25.0%的穗粒数,其对产量增加的贡献占90%;R2期补施氮肥可提升产量19.9%,恢复至对照产量的72.1%,主要在于籽粒库容提高了13.8%,其对产量增加的贡献占69.3%。

涝渍后补施氮肥对夏玉米产量的影响
线性回归分析进一步揭示了氮肥调控的阶段特异性机制:在V6期,补施氮肥显著增强了叶片干重与籽粒产量的正相关性,表明其主要通过重建叶片的“源”能力驱动产量的恢复;在R2期,产量的恢复不再高度依赖于叶片干重的增加,其核心恢复途径转向了促进干物质向果穗“库”的优化分配。

涝渍后补施氮肥对玉米干物质积累及分配的影响
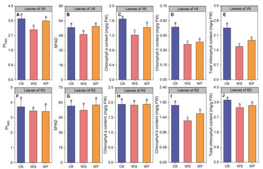
涝渍胁迫对夏玉米叶片光合生理特征的抑制及其氮肥修复效应同样具有显著的生育阶段特异性响应。在V6期,涝渍胁迫显著抑制了叶片叶绿素的生物合成,致使总叶绿素含量显著减少,同时诱发光系统II(PSII)光化学效率及核心荧光动力学参数的显著降低;而涝渍后施氮可有效缓解该光合损伤,显著促进光合色素的积累并重塑PSII性能。相比之下,在R2期,涝渍胁迫与氮肥补救对叶绿素含量及PSII荧光参数的影响总体不显著。

涝渍后补施氮肥对玉米叶片光合性能的影响
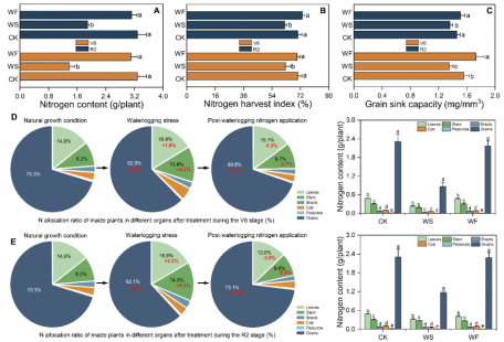
鉴于R2期的产量恢复不再依赖光合特性的改善,研究进一步探明了植株氮素分配的响应特征。涝渍显著抑制了植株总氮积累,导致氮素在营养器官异常滞留,向籽粒转移的比例及籽粒库容大幅降低。然而,涝后补施氮肥有效缓解了该损伤,不仅提升了总氮吸收量,更成功驱动了氮素向生殖库的靶向再分配。特别是在R2期,高达73.1%的氮素被高效转移至籽粒中,凭借这种重分配机制,补氮恢复了籽粒形态并实现了库容的显著扩增。

涝渍后补施氮肥对玉米地上部氮含量及氮分配的影响
“源-库”的重塑主要由关键代谢酶活性的改变所驱动。在V6期叶片中,补施氮肥显著提升了受抑的核酮糖-1,5-二磷酸羧化酶(Rubisco)和磷酸烯醇丙酮酸羧化酶(PEPC)活性(平均增加36.3%和24.8%),有效恢复了光合性能;且光合酶活性的恢复与叶绿素、干物质及最终产量因子呈极显著正相关。在R2期籽粒中,补施氮肥特异性激活了硝酸还原酶(NR)和谷氨酰胺合成酶(GS),使其活性分别提升31.7%和35.6%,大幅提高了氮素利用效率。

涝渍后补施氮肥对酶活性的影响
转录组学分析进一步揭示了氮肥介导夏玉米涝渍后恢复的阶段特异性分子机制:相较于V6期差异基因主要富集于酮体与丁酸代谢途径,R2期补施氮肥特异性地诱导了籽粒中与氮素利用密切相关的“内质网蛋白质加工”通路基因的显著富集与表达。特别是hsp18a、hsp18c及LOC100282956等关键基因的显著上调,与籽粒氮素的高效分配呈极显著正相关。

KEGG通路与基因表达分析
综上所述,夏玉米涝渍后的氮肥修复机制具有高度的生育期特异性。在V6期,补施氮肥主要通过快速恢复叶片光合能力、重建穗粒数来挽回产量(生产上建议优先补充叶面氮肥)。而在R2期,氮素恢复转向促进氮素向籽粒的高效分配,其分子机制得益于内质网蛋白质加工途径中hsp18a和hsp18c等基因的协同上调,从而扩增籽粒库容。总之,涝后氮肥的减损核心在于:V6期“保粒数”,R2期“扩库容”。

涝渍后补施氮肥对玉米产量影响的结构方程分析
河南农业大学农学院邵瑞鑫教授、汤钰镂讲师和中国农科院灌溉所杨慎骄副研究员为该文章的共同通讯作者,河南农业大学农学院硕士研究生孙宜飞和博士研究生王山聪为该文章的共同第一作者。
该研究得到了河南省重大科技专项(241100110300)、河南省高校科技创新团队(24IRTSTHN032)、中国农业科学院农业科技创新计划(ASTIP)等项目的资助。
| Cite this article: Yifei Sun, Shancong Wang, Meiyu Chen, Xinru Hu, Reda M.M. Ahmed, Fanzheng Meng, Yulou Tang, Qinghua Yang, Shenjiao Yang, Ruixin Shao. 2025. Development stage-specific recovery of remedial nitrogen fertilizer application after waterlogging in maize through photosynthetic capacity and nitrogen allocation. Journal of Integrative Agriculture, Doi:10.1016/j.jia.2025.11.015 |
Journal of Integrative Agriculture(《农业科学学报(英文)》, JIA)由中华人民共和国农业农村部主管,中国农业科学院与中国农学会主办,中国农业科学院农业信息研究所承办。综合性英文学术期刊,月刊。创刊于2002年,现任主编为中国科学院院士陈化兰。JIA主要栏目有作物科学、园艺、植物保护、动物科学、动物医学、农业生态环境、食品科学、农业经济与管理等。刊稿类型有综述、研究论文、简报以及评述等。全部论文在Elsevier-ScienceDirect (SD) 平台OA出版。最新SCI影响因子4.4,位于SCI-JCR农业综合学科Q1区。中国科学院分区农林科学1区。2016年以来先后获得中国科协等部委 “提升计划”“登峰计划”“卓越计划”项目支持。
Archiver|手机版|科学网 ( 京ICP备07017567号-12 )
GMT+8, 2026-3-14 19:14
Powered by ScienceNet.cn
Copyright © 2007- 中国科学报社