||
为了科学地解决实际问题,我们必须经常“回过头来”重新研究基本理论,因为只有依靠深刻的理论分析,才能:(1)在表面的混乱中把握规律性;(2)区分本质与非本质现象;(3)预见事变的发展方向。
—— 一位真正的大专家
用清晰的思想代替盲目的计算。
Replacing blind calculations by clear ideas.
—— 狄利克雷(Johann Peter Gustav Lejeune Dirichlet)
[笔记,科普,数学] 素数(2):素数定理 prime number theorem 之一
素数计数函数: prime counting function
素数定理: prime number theorem
一、素数计数函数(prime counting function)
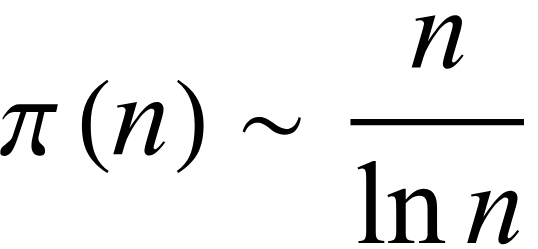
对于正数 n,π(n) 表示“小于或等于 less than or equal to ” n 的素数的个数。

图1 The prime counting function is the function π(x) giving the number of primes less than or equal to a given number x (Shanks 1993, p. 15).
https://mathworld.wolfram.com/images/eps-svg/PrimeCountingFunction_800.svg
素数计数函数是π(x)函数,它给出了小于或等于给定数x的素数(Shanks 1993,第15页)。

图2 primecounter.jpg
https://thatsmaths.com/wp-content/uploads/2014/02/primecounter.jpg
到 2016年,已经计算出 π(1027)。
二、素数定理(prime number theorem, PNT)
2.1 高斯的 Li(n)
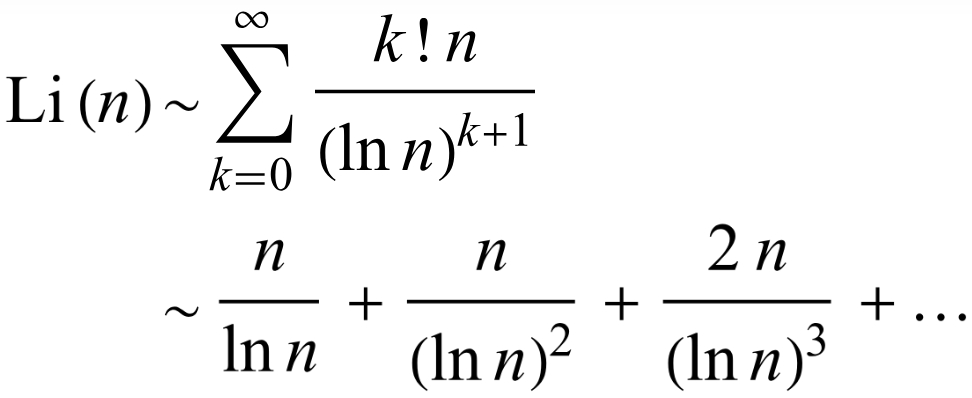
对于整数 n,1792年,15岁的高斯提出

后来,高斯给出更精确的估计 Li(n)

这里

Li(n) 的展开式如下:

2.2 黎曼的 R(x),Riemann Prime Counting Function
1859年,黎曼建议

这里,μ是莫比乌斯函数( Möbius function)

3.3 素数定理
素数定理是

或

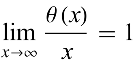
这里,Ψ 是切比雪夫函数 Chebyshev Functions。
三、一些相关的图片等

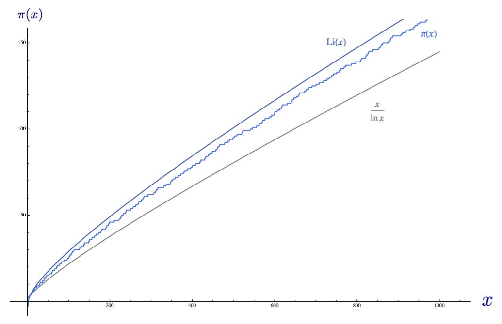
图3 The prime number theorem gives an asymptotic form for the prime counting function π(n), which counts the number of primes less than some integer n.
https://mathworld.wolfram.com/images/eps-svg/PrimePi_1001.svg
素数定理给出了素数计数函数 π(n) 的渐近形式,该函数对小于某个整数n的素数进行计数。

图4 fractalfract-01-00010-g001.png

图5 素数计数函数
https://ts4.tc.mm.bing.net/th/id/OIP-C.6g_4KsNv9x1Djnn3zEl7VAHaEq?rs=1&pid=ImgDetMain&o=7&rm=3

图6 122cd6f5-aea9-4658-81b7-17034e574118_1035x669.jpg
参考资料:
[1] 科普中国,2021-12-31,素数定理
https://www.kepuchina.cn/article/articleinfo?business_type=100&classify=0&ar_id=289518
[2] 科普中国,2021-12-31,素数分布
https://www.kepuchina.cn/article/articleinfo?business_type=100&classify=0&ar_id=315801
素数分布是数论中研究素数性质的重要课题。素数或称质数,是指一个大于1的整数,除1和它本身外,不能被其他的正整数所整除。研究各种各样的素数分布状况,一直是数论中最重要和最有吸引力的中心问题之一。关于素数分布性质,通过数值观察、计算和初步研究发现,素数分布是以黎曼公式为中心,高斯公式为上限的正态分布,这在现在来说是经验公式,待数学家给出严格证明之后才能成为数学定理。
[3] 科普中国,2021-12-31,广义素数定理
https://www.kepuchina.cn/article/articleinfo?business_type=100&classify=0&ar_id=208713
[4] 素数定理,素数分布理论的中心定理,百度百科
https://baike.baidu.com/item/%E7%B4%A0%E6%95%B0%E5%AE%9A%E7%90%86/1972457
[4] 素数分布,数学术语,百度百科
https://baike.baidu.com/item/%E7%B4%A0%E6%95%B0%E5%88%86%E5%B8%83/369166?fr=aladdin
以前的《科学网》相关博文链接:
[1] 2026-03-04 15:36,[笔记,科普,数学] 素数(1):算术基本定理 fundamental theorem of arithmetic
https://blog.sciencenet.cn/blog-107667-1524368.html
[2] 2024-11-17 22:51,[数学文化,客观派,讨论] 欧几里得对“素数有无穷多个”研究的有效性
https://blog.sciencenet.cn/blog-107667-1460458.html
[3] 2024-11-10 22:51,[数学文化,笔记] 素数有无穷多个之九类证明
https://blog.sciencenet.cn/blog-107667-1459433.html
[4] 2024-11-02 22:49,[笔记,科普,资料] 素数 prime number 入门
https://blog.sciencenet.cn/blog-107667-1458252.html
[5] 2013-07-23 11:51,孪生素数:相关介绍和链接
https://blog.sciencenet.cn/blog-107667-710546.html
[6] 2024-10-22 22:21,[打听,笔记] 推导符号公式的局限性:从数学、心理学到哲学
https://blog.sciencenet.cn/blog-107667-1456506.html
[7] 2024-05-19 22:49,[羡慕,讨论,物理] 仅推公式就能得到成果的人
https://blog.sciencenet.cn/blog-107667-1434748.html
感谢您的指教!
感谢您指正以上任何错误!
感谢您提供更多的相关资料!
Archiver|手机版|科学网 ( 京ICP备07017567号-12 )
GMT+8, 2026-3-6 01:56
Powered by ScienceNet.cn
Copyright © 2007- 中国科学报社