|
从2016年在Scientific Reports发表论文[1]算起,到今年刚好十年了。发表论文[1]的初衷本是为解释欠掺杂铜氧化物中实验观测到的一个标度律。但没想到歪打正着,让我推导出了一个零温超流相位刚度与相变温度之间的一个根方比例关系。
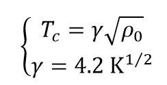
更巧合的是,我的论文[1]发表四个月后,2016年美国布鲁克海文实验室还观测到了这个根方关系[2]:

后来我就走上了定量解释这个实验值4.2之路。
在接下来的9年里,我在这个方向总共发表了6篇论文[3-8],并在今年发表的论文[8]中终于建立起了一个“复数时间的相对论场论”的原创性框架。
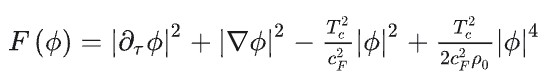
现在回过头来看,论文[1]的很多地方都是有瑕疵的。比如,它使用金兹堡-朗道方程作为出发点来研究绝对零度T=0附近的情形,但是金兹堡-朗道方程只在|(Tc-T)|/Tc<<1的范围内才可以应用。在绝对零度T=0处,会导致矛盾不等式1<<1。这个瑕疵延续到了论文[3-6]。后来我又用了3年时间来克服这个问题,直到在论文[7]中我才终于解决了这个问题。最终,我发现了一个普适的虚时相对论方程:

这个方程简洁优美,不含有任何的唯象参数,且方程形式在绝对零度处具有唯一性。这与金兹堡-朗道方程的唯象起源不同。我个人认为这个方程所隐含的价值不亚于狄拉克方程。
虚时相对论方程仅在绝对零度T=0位置严格成立。可能有人会说仅在绝对零度处成立的方程有意义吗?
这也就是我在论文[8]中所研究的问题。在这篇论文中我有了一个全新的发现:绝对零度处实时间被冻结,同时涌现出一个虚时间的维度。简单来说即是,绝对零度处,我们的3+1维时空变成了一个4维空间。这个4维空间与有限温度的3+1维时空一样有着丰富的物理等待挖掘。
另外,论文[8]提出了一种激进的时间观念:时间并不是基本的,而是从量子代数的非对易中衍生的“副产品”,并且它是一个复数变量——有限温度时复数时间的实部主导物理过程,绝对零度时复数时间的虚部又主导物理过程。
为了证明这种复数时间观念是否正确,论文[8]预言了一个零温相干长度与相变温度的反常标度律:

这个反常标度的验证将是检验复数时间相对论框架的决定性判据。
论文[8]是"复数时间相对论场论"的收官之作,它建立起了真正自洽的原创性理论框架。我记得自己是2001年开始物理学的学习,那时候经常读牛顿、爱因斯坦的传记,也经常读海森堡、狄拉克、泡利、费曼等人的故事,内心非常憧憬20世纪初那个物理学的黄金时代。现在论文[8]发表之后,我终于也有了一点2001年读物理学人物传记时的那种激情——仿佛在灵魂上更靠近20世纪初的那些前辈们。
在国际主流物理期刊发表原创性理论并不容易,科学网已经有不少博文讨论过这个问题。具体原因我就不展开了。
论文[3-8]之所以能够在国际主流物理期刊发表的原因可能在于,我并不仅仅只是围绕在理论分析上,研究所有的落脚点都是在定量化解释实验测量结果。
当然,仅仅是国际主流物理期刊还不够,希望这套理论随后的理论拓展与应用研究能够发表在国际顶级物理期刊。
对复数时间相对论感兴趣的读者可以直接下载论文[8]:
Complex time and quantum criticality.pdf
参考文献
[1]. Y. Tao, (2016) Scaling Laws for Thin Films near the Superconducting-to-Insulating Transition. Scientific Reports 6, 23863
[2]. I. Božović, et al., (2016): Dependence of the critical temperature in overdoped copper oxides on superfluid density, Nature 536, 309-311
[3]. Y. Tao. (2017): BCS quantum critical phenomena. Europhysics Letters 118, 57007
[4]. Y. Tao. (2019): Parabolic Scaling in Overdoped Cuprate Films. Journal of Superconductivity and Novel Magnetism 32, 3773-3777
[5]. Y. Tao. (2020): Parabolic Scaling in Overdoped Cuprate: a Statistical Field Theory Approach. Journal of Superconductivity and Novel Magnetism 33, 1329-1337
[6]. Y. Tao. (2020): Relativistic Ginzburg–Landau equation: An investigation for overdoped cuprate films. Physics Letters A 384, 126636
[7]. Y. Tao. (2024): Superconducting quantum criticality and the anomalous scaling: A nonlinear relativistic equation. Physica C 616, 1354424
[8]. Y. Tao, (2026) Complex time and quantum criticality: A renormalization group framework. Physics Letters A 579, 131491
Archiver|手机版|科学网 ( 京ICP备07017567号-12 )
GMT+8, 2026-4-16 09:30
Powered by ScienceNet.cn
Copyright © 2007- 中国科学报社