||
水稻(Oryza sativa L.)是全球最重要的粮食作物之一。在智慧农业决策中,过程驱动的作物模型是施氮(N)优化与决策支持的重要工具。然而,作物模型在不同N水平下进行率定时存在显著的不确定性,特别是如何选择最有效的生育阶段观测数据进行模型参数估计,目前仍缺乏系统研究。这不仅限制了模型的区域化应用潜力,也增加了田间观测数据的采集成本。
近期,四川农业大学智慧农业创新与应用课题组联合国内外单位完成的题为“ Calibration strategies for rice model: Phenology selection under various nitrogen applications”的研究在Journal of Integrative Agriculture(JIA)优先在线发表。
研究方法与目的
本研究以四川水稻生产中两类代表性籼型杂交稻为材料,在四川农业大学崇州试验基地开展田间试验。通过设置4个施N水平(N0–N3分别为0,90,180,270 kg·ha⁻¹)获取不同处理下的叶面积指数(LAI)与地上部生物量的季节动态观测数据。研究基于ORYZA v3过程模型,结合SCE-UA全局优化算法,进行参数率定,系统对比两种率定策略:一是分别针对单一施N水平下全生育阶段的数据进行率定,并检验其在其余N水平的泛化预测能力;二是以物候阶段为约束开展跨施N水平的单阶段与双阶段联合率定,比较移栽至拔节阶段(Transplanting to Stem elongation, TS)、拔节至开花阶段(Stem elongation to Anthesis, SA)、开花至成熟阶段(Anthesis to Maturity, AM)及其组合对模型预测表现的影响。同时,通过嵌套方差分析(Nested ANOVA)定量分解“施氮水平差异”与“物候阶段选择”对模拟不确定性的相对贡献,旨在不同施N情景下识别最具信息量的率定物候阶段,形成有效的率定策略建议。

本研究简要技术路线
研究结果
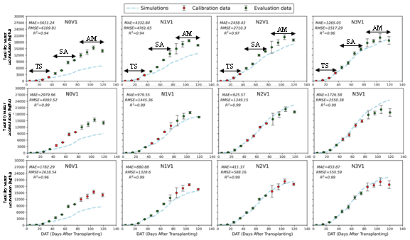
结果表明,不同率定策略会显著改变水稻过程模型在不同施氮情景下对LAI与生物量的可预测性及不确定性来源:当按不同施N水平分别率定时,LAI与生物量的预测精度在不同施N处理间差异显著,反映了作物对N素可利用性的响应差异;相较之下,当在单一物候阶段观测数据约束下、联合多个施N水平同步率定时,由物候阶段选择引起的差异成为模型不确定性的主要来源,其影响超过了施N水平差异本身。具体而言,跨施氮水平率定中,采用SA阶段的观测数据率定模型可获得对LAI的最优预测(RMSE:0.51–1.92 m²·m⁻²;R²≥0.88),而采用AM阶段(Anthesis to Maturity, AM)的观测数据率定对生物量预测最佳(RMSE:551–2619 kg·ha⁻¹;R²≥0.96);相反,采用生长季早期TS阶段的观测数据率定模型,其预测精度最低。

不同N肥梯度下单阶段率定模型对LAI(m2/m2)预测表现的影响(V1为试验品种宜香优2115)

不同N肥梯度下单阶段率定模型对干物质(kg/ha)预测表现的影响(V1为试验品种宜香优2115)
进一步分析发现当联合SA与AM两阶段的数据率定模型可同时实现LAI与生物量的最佳综合预测,其优势在于兼顾开花前后生长动态表征,从而显著降低由物候阶段选择带来的不确定性;但当采用两阶段联合率定(观测数据覆盖约三分之二的全生长季长度)时,施氮水平差异成为模型模拟不确定性的主要来源,强调率定数据集中施N处理梯度的代表性与配置同样关键。

嵌套方差分析揭示模拟不确定性来源占比
研究意义
本研究揭示了率定阶段的合理选择与施氮处理的科学配置可共同决定模型的稳健性与预测表现,从而为准施氮管理背景下提升模型的泛化能力、降低观测与率定成本、增强模型决策支持的可靠性提供了重要参考。
四川农业大学农学院杨宸尧副教授与南京农业大学王偲媛博士为论文共同第一作者;南京农业大学刘兵教授与四川农业大学杨峰教授、周伟副教授为论文共同通讯作者。本研究获得四川省科技厅国际合作项目(2025YFHZ0140)、四川省“天府峨眉计划”青年项目(No.2617)、中国博士后科学基金面上项目(2024M762265)、葡萄牙科学技术基金会(FCT)国家基金项目(UID/04033)、江苏省科技厅项目(BE2023400)以及成都市科技局项目(2023-YF08-00003-SN)的资助。
Cite the article:
Chenyao Yang, Siyuan Wang, Christoph Menz, Andrej Ceglar, Zhitao Hu, Bing Liu, Feng Yang, Wei Zhou, Xianming Tan, Zhaohong Lu, Peng Qin, Shigui Li, Wanjun Ren, Helder Fraga, Joao A. Santos. 2026. Calibration strategies for rice model: phenology selection under various nitrogen applications. Journal of Integrative Agriculture, Doi:10.1016/j.jia.2026.03.013
https://doi.org/10.1016/j.jia.2026.03.013
Journal of Integrative Agriculture(《农业科学学报(英文)》, JIA)由中华人民共和国农业农村部主管,中国农业科学院与中国农学会主办,中国农业科学院农业信息研究所承办。综合性英文学术期刊,月刊。创刊于2002年,现任主编为中国科学院院士陈化兰。JIA主要栏目有作物科学、园艺、植物保护、动物科学、动物医学、农业生态环境、食品科学、农业经济与管理等。刊稿类型有综述、研究论文、简报以及评述等。全部论文在Elsevier-ScienceDirect (SD) 平台OA出版。最新SCI影响因子4.4,位于SCI-JCR农业综合学科Q1区。中国科学院分区农林科学1区。2016年以来先后获得中国科协等部委 “提升计划”“登峰计划”“卓越计划”项目支持。
Archiver|手机版|科学网 ( 京ICP备07017567号-12 )
GMT+8, 2026-4-30 22:51
Powered by ScienceNet.cn
Copyright © 2007- 中国科学报社