Scientia Agricultura Sinica分享 http://blog.sciencenet.cn/u/SAS

博文

中国农业科学|河北省农林科学院联合中国农科院研究大豆生育期基因E1和E2的启动子及其表达模式

已有 1176 次阅读 2025-5-14 12:45 |个人分类:论文|系统分类:论文交流

中国农业科学|河北省农林科学院联合中国农科院研究大豆生育期基因E1和E2的启动子及其表达模式

大豆对光周期(昼夜长短)较敏感,不同品种在适宜光照条件的生态区域才能正常开花、成熟,“千里麦,百里豆”描述的正是大豆这一特性。因此,开花期和生育期是衡量大豆生态适应性的重要指标。研究大豆生育期及其分子调控机制能够促进品种适应性改良,对大豆生产具有重要意义。近年来,经典遗传学已经鉴定出一系列生育期基因,它们不同程度地调控着大豆开花期和生育期。研究表明,一些生育期基因的自然变异位于上游启动子序列,通过改变基因的表达量或表达模式等,使开花期和生育期发生变化,最终影响大豆产量性状。因此,启动子作为顺式作用元件影响基因表达模式和表达水平,在基因行使功能的过程中发挥了重要作用,研究生育期基因启动子及其表达模式有助于大豆生育期分子调控机制的解析。

近期,河北省农林科学院粮油作物研究所联合中国农业科学院作物科学研究所题为“‘大豆生育期基因E1E2的启动子克隆及其表达模式分析”的研究《中国农业科学》2025年第58卷5期正式发表。

图片

本研究通过启动子顺式元件分析网站PlantCARE分析生育期基因E1E2的启动子序列,检测其中包含的重要调控元件。克隆E1E2的启动子,构建GUS表达载体,并进行拟南芥遗传转化,检测转基因植株不同组织器官的GUS活性。在弱光和强光条件下,比较长日照和短日照下E1E2表达量的差异。在不同生育期组大豆品种中检测E1E2表达量,分析其表达量与大豆品种生育期的相关性。

图片

大豆E1E2启动子顺式调控元件

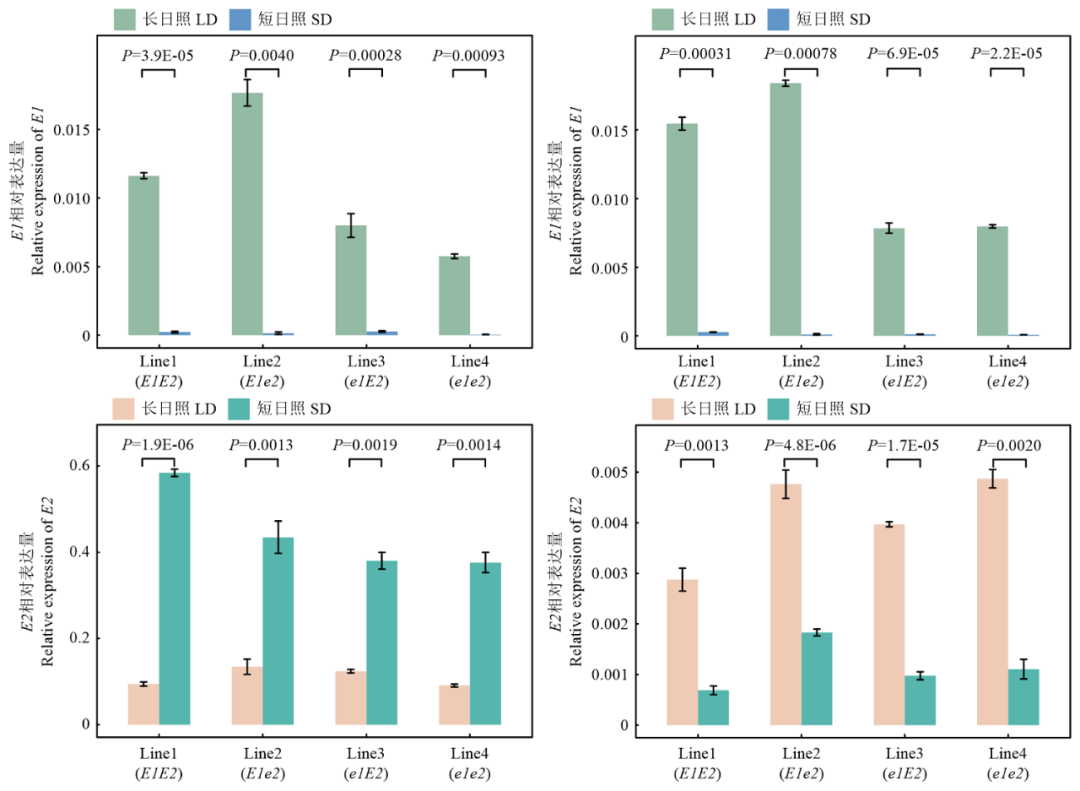
结果显示,E1E2的启动子序列均包含AE-box、Box4和G-box等多个光反应元件,另外,E1启动子区还包含生长素、脱落酸等响应元件,E2启动子区包含低温、干旱等响应元件及分生组织表达相关元件。转基因拟南芥GUS活性检测发现,E1启动子在植株整个生长期各器官均有较强转录活性,E2启动子在幼苗下胚轴、叶片和根的维管组织中具有较强转录活性。在弱光和强光条件下,E1表达量均表现为长日照高于短日照。在弱光条件下,E2表达量表现为短日照高于长日照;在强光条件下,E2表达量表现为长日照高于短日照。随不同大豆品种生育期的延长,E1表达量呈现逐渐升高趋势,E2表达量无规律性变化。

图片

大豆E1E2启动子克隆及转基因拟南芥

图片

长日照和短日照条件下转基因拟南芥中E1E2启动子转录活性

图片

不同光照强度下E1E2光周期调控模式存在差异

图片

不同生育期组大豆品种中E1E2表达量

综上,E1的启动子是一个广泛表达的启动子,该基因的表达量显著受光周期调控,与大豆品种生育期有明显相关性;E2的启动子在各器官维管组织有较强表达,在强光和弱光条件下,该基因受光周期调控模式存在差异,其表达量与大豆生育期无明显相关性。

河北省农林科学院粮油作物研究所刘路平为该文第一作者,河北省农林科学院粮油作物研究所杨春燕研究员中国农业科学院作物科学研究所韩天富研究员为该文共同通信作者。

该研究得到河北省农林科学院科技创新人才队伍建设项目(C22R0303)、国家大豆产业技术体系(CARS-04-PS09)的资助。

论文链接:大豆生育期基因E1和E2的启动子克隆及其表达模式分析图片

引用本文:

刘路平, 胡雪洁, 祁金, 陈强, 刘智, 赵田湉, 史晓蕾, 刘兵强, 孟庆民, 张孟臣, 韩天富, 杨春燕. 大豆生育期基因E1E2的启动子克隆及其表达模式分析[J]. 中国农业科学, 2025, 58(5): 840-850.

LIU LuPing, HU XueJie, QI Jin, CHEN Qiang, LIU Zhi, ZHAO TianTian, SHI XiaoLei, LIU BingQiang, MENG QingMin, ZHANG MengChen, HAN TianFu, YANG ChunYan. Cloning of the Promoters and Analysis of Expression Patterns of Maturity Genes E1 and E2 in Soybean[J]. Scientia Agricultura Sinica, 2025, 58(5): 840-850.



https://blog.sciencenet.cn/blog-3581686-1485683.html

上一篇:《中国农业科学》2025-7期目录
下一篇:《中国农业科学》2025-9期目录
收藏 IP: 175.169.187.*| 热度|

0

该博文允许注册用户评论 请点击登录 评论 (0 个评论)

数据加载中...

Archiver|手机版|科学网 ( 京ICP备07017567号-12 )

GMT+8, 2025-12-28 13:40

Powered by ScienceNet.cn

Copyright © 2007- 中国科学报社

返回顶部