liuzhiming69的个人博客分享 http://blog.sciencenet.cn/u/liuzhiming69

博文

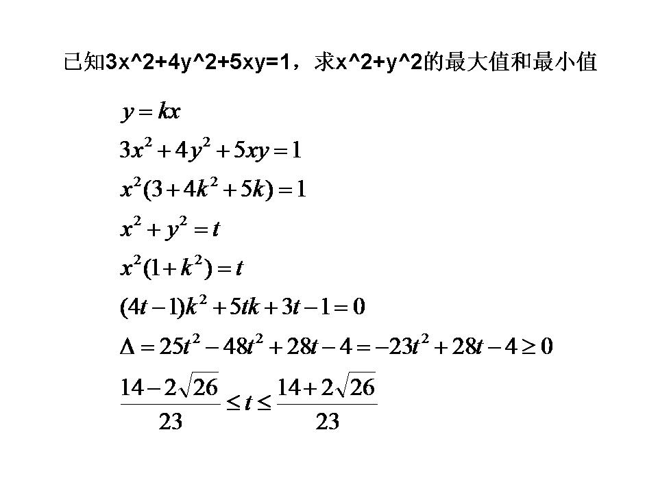
已知3x^2+4y^2+5xy=1,求x^2+y^2的最大值和最小值

已有 338 次阅读 2026-4-13 07:27 |系统分类:科研笔记

演示文稿1.jpg



https://blog.sciencenet.cn/blog-3556836-1530085.html

上一篇:用比耐公式计算氢原子能级
下一篇:已知x和y是正数,x²+y²-xy=4,如何求2x+y的最大值?
收藏 IP: 121.28.181.*| 热度|

0

该博文允许注册用户评论 请点击登录 评论 (0 个评论)

数据加载中...

Archiver|手机版|科学网 ( 京ICP备07017567号-12 )

GMT+8, 2026-5-31 02:21

Powered by ScienceNet.cn

Copyright © 2007- 中国科学报社

返回顶部