liuzhiming69的个人博客分享 http://blog.sciencenet.cn/u/liuzhiming69

博文

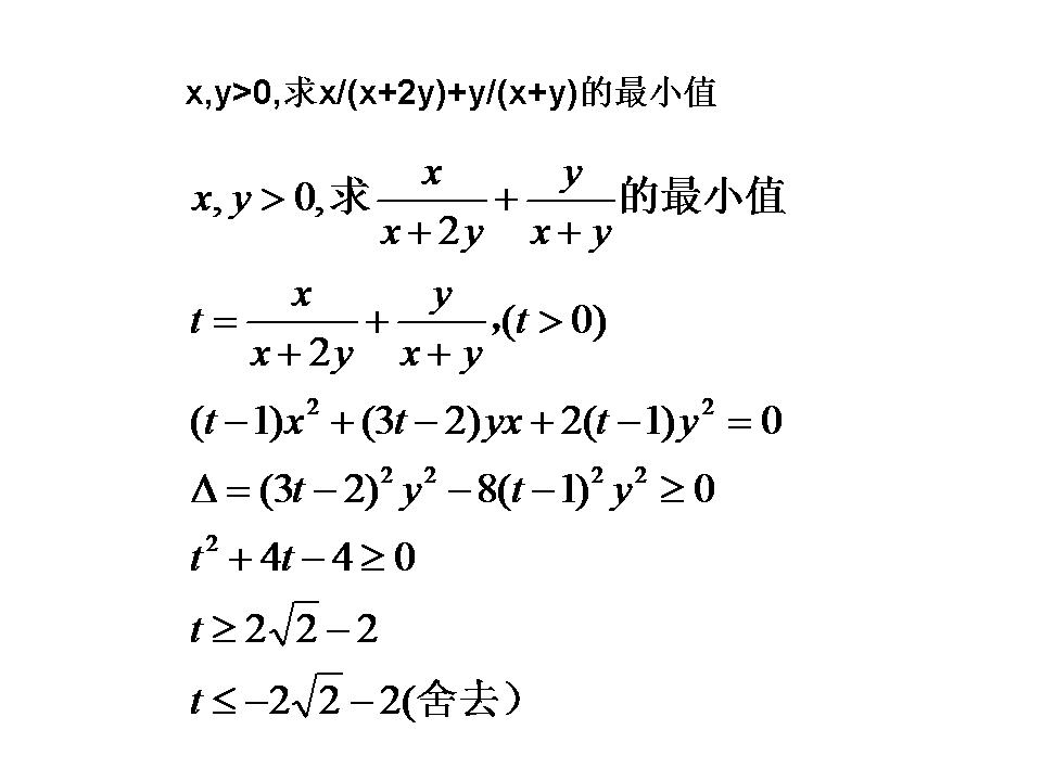
x,y>0,求x/(x+2y)+y/(x+y)的最小值

已有 344 次阅读 2026-3-24 06:21 |系统分类:科研笔记

演示文稿1.jpg



https://blog.sciencenet.cn/blog-3556836-1527068.html

上一篇:根据黑体辐射公式估计热储层的单位体积的储热功率或热量散失时间t
下一篇:高温地热田热散失时间估计
收藏 IP: 121.28.181.*| 热度|

1 王涛

该博文允许注册用户评论 请点击登录 评论 (0 个评论)

数据加载中...

Archiver|手机版|科学网 ( 京ICP备07017567号-12 )

GMT+8, 2026-4-17 00:09

Powered by ScienceNet.cn

Copyright © 2007- 中国科学报社

返回顶部