liuzhiming69的个人博客分享 http://blog.sciencenet.cn/u/liuzhiming69

博文

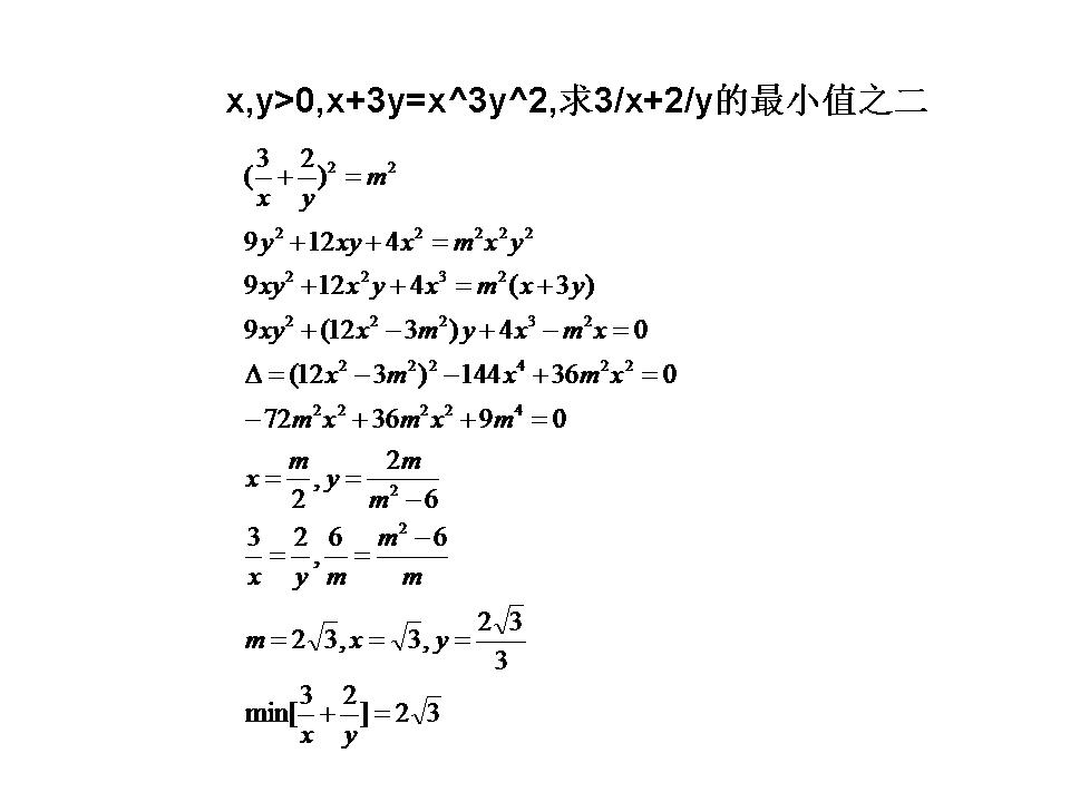
x,y>0,x+3y=x^3y^2,求3/x+2/y的最小值之二

已有 346 次阅读 2026-3-20 10:49 |系统分类:科研笔记

演示文稿1.jpg



https://blog.sciencenet.cn/blog-3556836-1526567.html

上一篇:x,y>0,x+3y=x^3y^2,求3/x+2/y的最小值
下一篇:x,y>0,x+3y=x^3y^2,求3/x+2/y的最小值之三
收藏 IP: 121.28.181.*| 热度|

0

该博文允许注册用户评论 请点击登录 评论 (0 个评论)

数据加载中...

Archiver|手机版|科学网 ( 京ICP备07017567号-12 )

GMT+8, 2026-4-16 11:00

Powered by ScienceNet.cn

Copyright © 2007- 中国科学报社

返回顶部